• 文献检索
  • 文档翻译
  • 深度研究
  • 学术资讯
  • Suppr Zotero 插件Zotero 插件
  • 邀请有礼
  • 套餐&价格
  • 历史记录
应用&插件
Suppr Zotero 插件Zotero 插件浏览器插件Mac 客户端Windows 客户端微信小程序
定价
高级版会员购买积分包购买API积分包
服务
文献检索文档翻译深度研究API 文档MCP 服务
关于我们
关于 Suppr公司介绍联系我们用户协议隐私条款
关注我们

Suppr 超能文献

核心技术专利:CN118964589B侵权必究
粤ICP备2023148730 号-1Suppr @ 2026

文献检索

告别复杂PubMed语法,用中文像聊天一样搜索,搜遍4000万医学文献。AI智能推荐,让科研检索更轻松。

立即免费搜索

文件翻译

保留排版,准确专业,支持PDF/Word/PPT等文件格式,支持 12+语言互译。

免费翻译文档

深度研究

AI帮你快速写综述,25分钟生成高质量综述,智能提取关键信息,辅助科研写作。

立即免费体验

EcoP1I DNA甲基转移酶的甲基化动力学

Kinetics of Methylation by EcoP1I DNA Methyltransferase.

作者信息

Bheemanaik Shivakumara, Sistla Srivani, Krishnamurthy Vinita, Arathi Sampath, Desirazu Narasimha Rao

机构信息

Department of Biochemistry, Indian Institute of Science, Bangalore 560 012, India.

出版信息

Enzyme Res. 2010 Jul 15;2010:302731. doi: 10.4061/2010/302731.

DOI:10.4061/2010/302731
PMID:21048863
原文链接:https://pmc.ncbi.nlm.nih.gov/articles/PMC2962900/
Abstract

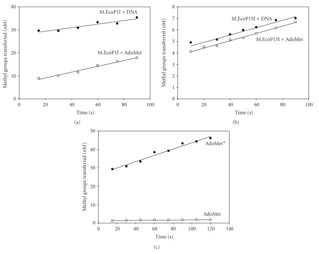
EcoP1I DNA MTase (M.EcoP1I), an N(6)-adenine MTase from bacteriophage P1, is a part of the EcoP1I restriction-modification (R-M) system which belongs to the Type III R-M system. It recognizes the sequence 5'-AGACC-3' and methylates the internal adenine. M.EcoP1I requires Mg(2+) for the transfer of methyl groups to DNA. M.EcoP1I is shown to exist as dimer in solution, and even at high salt concentrations (0.5 M) the dimeric M.EcoP1I does not dissociate into monomers suggesting a strong interaction between the monomer subunits. Preincubation and isotope partitioning studies with M.EcoP1I indicate a kinetic mechanism where the duplex DNA binds first followed by AdoMet. Interestingly, M.EcoP1I methylates DNA substrates in the presence of Mn(2+) and Ca(2+) other than Mg(2+) with varying affinities. Amino acid analysis and methylation assays in the presence of metal ions suggest that M.EcoP1I has indeed two metal ion-binding sites [(358)ID(x)(n) … ExK(401) and (600)DxDxD(604) motif]. EcoP1I DNA MTase catalyzes the transfer of methyl groups using a distributive mode of methylation on DNA containing more than one recognition site. A chemical modification of EcoP1I DNA MTase using N-ethylmaleimide resulted in an irreversible inactivation of enzyme activity suggesting the possible role of cysteine residues in catalysis.

摘要

EcoP1I DNA甲基转移酶(M.EcoP1I)是一种来自噬菌体P1的N6 -腺嘌呤甲基转移酶,是EcoP1I限制修饰(R - M)系统的一部分,该系统属于III型R - M系统。它识别5'-AGACC-3'序列并使内部腺嘌呤甲基化。M.EcoP1I将甲基转移到DNA需要Mg(2+)。研究表明,M.EcoP1I在溶液中以二聚体形式存在,即使在高盐浓度(0.5 M)下,二聚体M.EcoP1I也不会解离成单体,这表明单体亚基之间存在强烈的相互作用。对M.EcoP1I进行预孵育和同位素分配研究表明其动力学机制为先结合双链DNA,然后结合S-腺苷甲硫氨酸(AdoMet)。有趣的是,M.EcoP1I在存在Mg(2+)以外的Mn(2+)和Ca(2+)时,也能以不同亲和力使DNA底物甲基化。金属离子存在下的氨基酸分析和甲基化测定表明,M.EcoP1I确实有两个金属离子结合位点[(358)ID(x)(n)…ExK(401)和(600)DxDxD(604)基序]。EcoP1I DNA甲基转移酶在含有多个识别位点的DNA上采用分布甲基化模式催化甲基转移。用N -乙基马来酰亚胺对EcoP1I DNA甲基转移酶进行化学修饰导致酶活性不可逆失活,这表明半胱氨酸残基在催化中可能发挥作用。

https://cdn.ncbi.nlm.nih.gov/pmc/blobs/90de/2962900/44308c95a929/ER2010-302731.004.jpg
https://cdn.ncbi.nlm.nih.gov/pmc/blobs/90de/2962900/a4e7b635b38a/ER2010-302731.001.jpg
https://cdn.ncbi.nlm.nih.gov/pmc/blobs/90de/2962900/7069567cb6bd/ER2010-302731.003.jpg
https://cdn.ncbi.nlm.nih.gov/pmc/blobs/90de/2962900/44308c95a929/ER2010-302731.004.jpg
https://cdn.ncbi.nlm.nih.gov/pmc/blobs/90de/2962900/a4e7b635b38a/ER2010-302731.001.jpg
https://cdn.ncbi.nlm.nih.gov/pmc/blobs/90de/2962900/7069567cb6bd/ER2010-302731.003.jpg
https://cdn.ncbi.nlm.nih.gov/pmc/blobs/90de/2962900/44308c95a929/ER2010-302731.004.jpg

相似文献

1
Kinetics of Methylation by EcoP1I DNA Methyltransferase.EcoP1I DNA甲基转移酶的甲基化动力学
Enzyme Res. 2010 Jul 15;2010:302731. doi: 10.4061/2010/302731.
2
Single-stranded DNA binding and methylation by EcoP1I DNA methyltransferase.
Biochem Biophys Res Commun. 2004 Jan 30;314(1):159-65. doi: 10.1016/j.bbrc.2003.12.070.
3
Kinetic and catalytic properties of dimeric KpnI DNA methyltransferase.二聚体KpnI DNA甲基转移酶的动力学和催化特性
J Biol Chem. 2003 Mar 7;278(10):7863-74. doi: 10.1074/jbc.M211458200. Epub 2002 Dec 28.
4
Functional analysis of an acid adaptive DNA adenine methyltransferase from Helicobacter pylori 26695.幽门螺杆菌 26695 中酸适应型 DNA 腺嘌呤甲基转移酶的功能分析。
PLoS One. 2011 Feb 9;6(2):e16810. doi: 10.1371/journal.pone.0016810.
5
Functional analysis of conserved motifs in type III restriction-modification enzymes.III型限制修饰酶中保守基序的功能分析
Biol Chem. 1998 Apr-May;379(4-5):511-7. doi: 10.1515/bchm.1998.379.4-5.511.
6
Subunit assembly and mode of DNA cleavage of the type III restriction endonucleases EcoP1I and EcoP15I.III型限制性内切核酸酶EcoP1I和EcoP15I的亚基组装及DNA切割模式
J Mol Biol. 2001 Feb 23;306(3):417-31. doi: 10.1006/jmbi.2000.4411.
7
Kinetic and catalytic properties of M.HpyAXVII, a phase-variable DNA methyltransferase from .M.HpyAXVII,一种来自. 的具有相变异构的 DNA 甲基转移酶的动力学和催化性质。
J Biol Chem. 2019 Jan 18;294(3):1019-1034. doi: 10.1074/jbc.RA118.003769. Epub 2018 Nov 26.
8
Bacteriophage T4Dam (DNA-(adenine-N6)-methyltransferase): evidence for two distinct stages of methylation under single turnover conditions.噬菌体T4 Dam(DNA-(腺嘌呤-N6)-甲基转移酶):单轮反应条件下甲基化两个不同阶段的证据。
J Biol Chem. 2003 Oct 24;278(43):41749-55. doi: 10.1074/jbc.M306397200. Epub 2003 Jul 30.
9
[Single turnover kinetics of phage T4 DNA-(N6-adenine)methyltransferase].[噬菌体T4 DNA-(N6-腺嘌呤)甲基转移酶的单周转动力学]
Mol Biol (Mosk). 2001 Jan-Feb;35(1):65-78.
10
Substrate binding in vitro and kinetics of RsrI [N6-adenine] DNA methyltransferase.RsrI [N6-腺嘌呤] DNA甲基转移酶的体外底物结合及动力学
Nucleic Acids Res. 2000 Oct 15;28(20):3962-71. doi: 10.1093/nar/28.20.3962.

引用本文的文献

1
Isospecific adenine DNA methyltransferases show distinct preferences towards DNA substrates.同型特异性腺嘌呤 DNA 甲基转移酶对 DNA 底物表现出明显的偏好。
Sci Rep. 2018 May 29;8(1):8243. doi: 10.1038/s41598-018-26434-0.
2
Type III restriction endonucleases are heterotrimeric: comprising one helicase-nuclease subunit and a dimeric methyltransferase that binds only one specific DNA.III 型限制内切酶是异源三聚体:由一个解旋酶-核酸酶亚基和一个二聚体甲基转移酶组成,后者仅与一种特定的 DNA 结合。
Nucleic Acids Res. 2014 Apr;42(8):5139-50. doi: 10.1093/nar/gku122. Epub 2014 Feb 7.

本文引用的文献

1
Escherichia coli DNA adenine methyltransferase: intrasite processivity and substrate-induced dimerization and activation.大肠杆菌DNA腺嘌呤甲基转移酶:位点内持续性及底物诱导的二聚化与激活
Biochemistry. 2009 Aug 11;48(31):7399-410. doi: 10.1021/bi9008006.
2
Cloning and analysis of a bifunctional methyltransferase/restriction endonuclease TspGWI, the prototype of a Thermus sp. enzyme family.嗜热栖热菌属酶家族原型双功能甲基转移酶/限制性内切酶TspGWI的克隆与分析
BMC Mol Biol. 2009 May 29;10:52. doi: 10.1186/1471-2199-10-52.
3
Dimeric/oligomeric DNA methyltransferases: an unfinished story.
二聚体/寡聚体DNA甲基转移酶:一个未完成的故事。
Biol Chem. 2009 Sep;390(9):835-44. doi: 10.1515/BC.2009.082.
4
M1.MboII and M2.MboII type IIS methyltransferases: different specificities, the same target.M1.MboII和M2.MboII型IIS甲基转移酶:特异性不同,作用靶点相同。
Microbiology (Reading). 2009 Apr;155(Pt 4):1111-1121. doi: 10.1099/mic.0.025023-0.
5
6His-Eco29kI methyltransferase methylation site and kinetic mechanism characterization.6His-Eco29kI甲基转移酶甲基化位点及动力学机制表征。
Biochim Biophys Acta. 2007 Aug;1774(8):1014-9. doi: 10.1016/j.bbapap.2007.05.014. Epub 2007 Jun 2.
6
Molecular characterization of the DNA methyltransferase M1.NcuI from Neisseria cuniculi ATCC 14688.来自兔源奈瑟菌ATCC 14688的DNA甲基转移酶M1.NcuI的分子特征分析
Res Microbiol. 2007 Mar;158(2):164-74. doi: 10.1016/j.resmic.2006.10.006. Epub 2006 Dec 20.
7
Structure, function and mechanism of exocyclic DNA methyltransferases.环外DNA甲基转移酶的结构、功能及作用机制。
Biochem J. 2006 Oct 15;399(2):177-90. doi: 10.1042/BJ20060854.
8
Hyperthermophilic DNA methyltransferase M.PabI from the archaeon Pyrococcus abyssi.来自嗜热古菌深渊热球菌的嗜热DNA甲基转移酶M.PabI。
Appl Environ Microbiol. 2006 Aug;72(8):5367-75. doi: 10.1128/AEM.00433-06.
9
Functional characterization of Escherichia coli DNA adenine methyltransferase, a novel target for antibiotics.大肠杆菌DNA腺嘌呤甲基转移酶的功能特性,一种新型抗生素靶点
J Biol Chem. 2004 Dec 10;279(50):52075-81. doi: 10.1074/jbc.M408182200. Epub 2004 Sep 28.
10
The Dnmt1 DNA-(cytosine-C5)-methyltransferase methylates DNA processively with high preference for hemimethylated target sites.Dnmt1 DNA(胞嘧啶-C5)甲基转移酶以高偏好性对半甲基化靶位点进行持续性DNA甲基化。
J Biol Chem. 2004 Nov 12;279(46):48350-9. doi: 10.1074/jbc.M403427200. Epub 2004 Aug 31.