Suppr超能文献

(E)-2-羟基-3-甲氧基苯甲醛硫代半卡巴腙

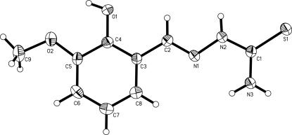
(E)-2-Hydr-oxy-3-methoxy-benzaldehyde thio-semicarbazone.

作者信息

Zhao Ren-Gao, Zhang Wei, Li Ji-Kun, Zhang Li-Ya

出版信息

Acta Crystallogr Sect E Struct Rep Online. 2008 May 17;64(Pt 6):o1113. doi: 10.1107/S1600536808014475.

Abstract

In the title compound, C(9)H(11)N(3)O(2)S, intra-molecular O-H⋯O and N-H⋯N hydrogen bonds contribute to the planarity of the mol-ecular skeleton. Inter-molecular N-H⋯O hydrogen bonds link the mol-ecules into zigzag chains along the b axis; these mol-ecules are futher paired by π-π inter-actions [centroid-centroid distance 4.495 (5) Å]. The crystal structure also exhibits weak inter-molecular N-H⋯S and O-H⋯S hydrogen bonds.

摘要

在标题化合物C₉H₁₁N₃O₂S中,分子内的O—H⋯O和N—H⋯N氢键有助于分子骨架的平面性。分子间的N—H⋯O氢键将分子沿b轴连接成锯齿链;这些分子通过π-π相互作用进一步配对[质心-质心距离4.495 (5) Å]。晶体结构还表现出较弱的分子间N—H⋯S和O—H⋯S氢键。

https://cdn.ncbi.nlm.nih.gov/pmc/blobs/ae47/2961450/a04794e3637b/e-64-o1113-fig1.jpg

文献AI研究员

20分钟写一篇综述,助力文献阅读效率提升50倍。

立即体验

用中文搜PubMed

大模型驱动的PubMed中文搜索引擎

马上搜索

文档翻译

学术文献翻译模型,支持多种主流文档格式。

立即体验