Suppr超能文献

多年生根茎禾草和多年生丛生禾草光合能力对土壤水分梯度的响应。

Responses of photosynthetic capacity to soil moisture gradient in perennial rhizome grass and perennial bunchgrass.

机构信息

State Key Laboratory of Vegetation and Environmental Change, Institute of Botany, Chinese Academy of Sciences; 20 Nanxincun, Xiangshan, Haidian, Beijing 100093, PR China.

出版信息

BMC Plant Biol. 2011 Jan 25;11:21. doi: 10.1186/1471-2229-11-21.

Abstract

BACKGROUND

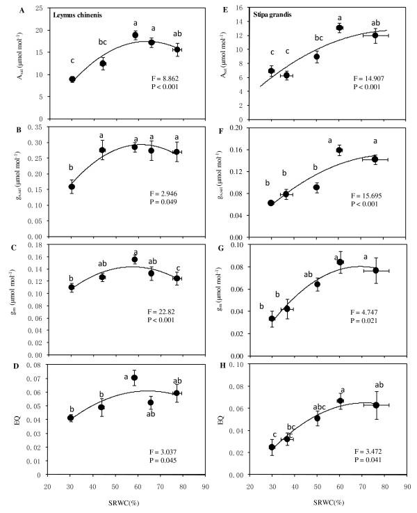
Changing water condition represents a dramatic impact on global terrestrial ecosystem productivity, mainly by limiting plant functions, including growth and photosynthesis, particularly in arid and semiarid areas. However, responses of the potential photosynthetic capacity to soil water status in a wide range of soil moisture levels, and determination of their thresholds are poorly understood. This study examined the response patterns of plant photosynthetic capacity and their thresholds to a soil moisture gradient in a perennial rhizome grass, Leymus chinensis, and a perennial bunchgrass, Stipa grandis, both dominant in the Eurasian Steppe.

RESULTS

Severe water deficit produced negative effects on light-saturated net CO2 assimilation rate (A(sat)), stomatal conductance (g(s)), mesophyll conductance (g(m)), maximum carboxylation velocity (V(c,max)), and maximal efficiency of PSII photochemistry (F(v)/F(m)). Photosynthetic activity was enhanced under moderate soil moisture with reductions under both severe water deficit and excessive water conditions, which may represent the response patterns of plant growth and photosynthetic capacity to the soil water gradient. Our results also showed that S. grandis had lower productivity and photosynthetic potentials under moderate water status, although it demonstrated generally similar relationship patterns between photosynthetic potentials and water status relative to L. chinensis.

CONCLUSIONS

The experiments tested and confirmed the hypothesis that responsive threshold points appear when plants are exposed to a broad water status range, with different responses between the two key species. It is suggested that vegetation structure and function may be shifted when a turning point of soil moisture occurs, which translates to terms of future climatic change prediction in semiarid grasslands.

摘要

背景

水条件的变化对全球陆地生态系统生产力产生了巨大影响,主要通过限制植物功能,包括生长和光合作用,特别是在干旱和半干旱地区。然而,在广泛的土壤水分水平范围内,潜在光合作用能力对土壤水分状况的响应及其阈值尚不清楚。本研究检验了多年生根茎草羊草和多年生丛生草大针茅的光合作用能力对土壤水分梯度的响应模式及其阈值,这两种植物均为欧亚草原的优势种。

结果

严重的水分亏缺对光饱和净 CO2 同化速率(A(sat))、气孔导度(g(s))、叶肉导度(g(m))、最大羧化速度(V(c,max))和 PSII 光化学最大效率(F(v)/F(m))产生负面影响。适度土壤水分下的光合作用活性增强,严重水分亏缺和过度水分条件下的光合作用活性降低,这可能代表了植物生长和光合作用能力对土壤水分梯度的响应模式。我们的研究结果还表明,大针茅在适度水分条件下的生产力和光合作用潜力较低,尽管它与羊草相比,在光合作用潜力与水分状况之间表现出一般相似的关系模式。

结论

实验检验并证实了这样一种假设,即在植物暴露于广泛的水分状况范围内时,会出现响应阈值点,两种关键物种的响应不同。这表明,当土壤水分发生转折点时,植被结构和功能可能会发生变化,这对预测半干旱草原未来的气候变化具有重要意义。

https://cdn.ncbi.nlm.nih.gov/pmc/blobs/81b4/3037845/a8e2a3f4b93d/1471-2229-11-21-1.jpg

文献AI研究员

20分钟写一篇综述,助力文献阅读效率提升50倍。

立即体验

用中文搜PubMed

大模型驱动的PubMed中文搜索引擎

马上搜索

文档翻译

学术文献翻译模型,支持多种主流文档格式。

立即体验