• 文献检索
  • 文档翻译
  • 深度研究
  • 学术资讯
  • Suppr Zotero 插件Zotero 插件
  • 邀请有礼
  • 套餐&价格
  • 历史记录
应用&插件
Suppr Zotero 插件Zotero 插件浏览器插件Mac 客户端Windows 客户端微信小程序
定价
高级版会员购买积分包购买API积分包
服务
文献检索文档翻译深度研究API 文档MCP 服务
关于我们
关于 Suppr公司介绍联系我们用户协议隐私条款
关注我们

Suppr 超能文献

核心技术专利:CN118964589B侵权必究
粤ICP备2023148730 号-1Suppr @ 2026

文献检索

告别复杂PubMed语法,用中文像聊天一样搜索,搜遍4000万医学文献。AI智能推荐,让科研检索更轻松。

立即免费搜索

文件翻译

保留排版,准确专业,支持PDF/Word/PPT等文件格式,支持 12+语言互译。

免费翻译文档

深度研究

AI帮你快速写综述,25分钟生成高质量综述,智能提取关键信息,辅助科研写作。

立即免费体验

肥胖患者中各种肥胖测量指标与动脉僵硬度的关系。

The relationship between various measures of obesity and arterial stiffness in morbidly obese patients.

机构信息

Morbid Obesity Centre, Vestfold Hospital Trust, Tønsberg, Norway.

出版信息

BMC Cardiovasc Disord. 2011 Feb 1;11:7. doi: 10.1186/1471-2261-11-7.

DOI:10.1186/1471-2261-11-7
PMID:21284837
原文链接:https://pmc.ncbi.nlm.nih.gov/articles/PMC3042421/
Abstract

BACKGROUND

Obesity is associated with increased risk of cardiovascular disease. Arterial stiffness assessed by carotid femoral pulse wave velocity (PWV) is an independent predictor of cardiovascular morbidity and mortality. We aimed to investigate how various measures of body composition affect arterial stiffness.

METHODS

This is an analysis of cross-sectional baseline data from a controlled clinical trial addressing changes in arterial stiffness after either surgery or lifestyle intervention in a population of morbidly obese patients. High-fidelity applanation tonometry (Millar, Sphygmocor) was used to measure pulse wave velocity (PWV). Carotid femoral PWV is a direct measure of arterial stiffness and is considered to be the gold standard method. The Inbody 720 Body Composition Analyzer was used for bioelectrical impedance analysis (BIA). Spearman's correlation, independent samples t-test, chi-square tests, Fisher's exact test and multiple linear regression analyses were used as statistical methods.

RESULTS

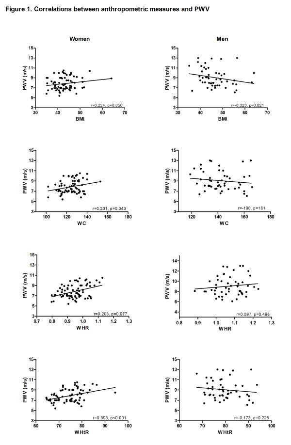
A total of 133 patients (79 women), with a mean (SD) age of 43 (11) years were included in the study. Men had a significantly higher prevalence of obesity related comorbidities and significantly higher PWV, 9.1 (2.0) m/s vs. 8.1 (1.8) m/s, p = 0.003, than women. In the female group, PWV was positively correlated with WC, WHtR, BMI and visceral fat area. In the male group, PWV was negatively correlated with BMI. Multiple linear regression analysis showed that increasing BMI, WC, WHtR, visceral fat area and fat mass were independently associated with higher PWV in women, but not in men, after adjustment for age, hypertension and type 2 diabetes.

CONCLUSION

Most measures of general and abdominal obesity were predictors of arterial stiffness in female morbidly obese patients.

TRIAL REGISTRATION

ClinicalTrials.gov Identifier NCT00626964.

摘要

背景

肥胖与心血管疾病风险增加相关。通过颈动脉-股动脉脉搏波速度(PWV)评估的动脉僵硬度是心血管发病率和死亡率的独立预测因子。我们旨在研究身体成分的各种指标如何影响动脉僵硬度。

方法

这是一项针对病态肥胖患者接受手术或生活方式干预后动脉僵硬度变化的对照临床试验的横断面基线数据的分析。高保真平板张力测量法(Millar,Sphygmocor)用于测量脉搏波速度(PWV)。颈动脉-股动脉 PWV 是动脉僵硬度的直接测量指标,被认为是金标准方法。Inbody 720 身体成分分析仪用于生物电阻抗分析(BIA)。采用 Spearman 相关、独立样本 t 检验、卡方检验、Fisher 确切检验和多元线性回归分析作为统计学方法。

结果

共有 133 名患者(79 名女性)纳入研究,平均(标准差)年龄为 43(11)岁。男性肥胖相关合并症的患病率明显更高,且 PWV 显著更高,为 9.1(2.0)m/s 比 8.1(1.8)m/s,p=0.003。在女性组中,PWV 与 WC、WHtR、BMI 和内脏脂肪面积呈正相关。在男性组中,PWV 与 BMI 呈负相关。多元线性回归分析显示,在调整年龄、高血压和 2 型糖尿病后,女性 BMI、WC、WHtR、内脏脂肪面积和脂肪质量的增加与 PWV 升高独立相关,但在男性中则无此相关性。

结论

大多数一般和腹部肥胖指标是女性病态肥胖患者动脉僵硬度的预测因子。

试验注册

ClinicalTrials.gov 标识符 NCT00626964。

https://cdn.ncbi.nlm.nih.gov/pmc/blobs/00de/3042421/d6f897efd73c/1471-2261-11-7-1.jpg
https://cdn.ncbi.nlm.nih.gov/pmc/blobs/00de/3042421/d6f897efd73c/1471-2261-11-7-1.jpg
https://cdn.ncbi.nlm.nih.gov/pmc/blobs/00de/3042421/d6f897efd73c/1471-2261-11-7-1.jpg

相似文献

1
The relationship between various measures of obesity and arterial stiffness in morbidly obese patients.肥胖患者中各种肥胖测量指标与动脉僵硬度的关系。
BMC Cardiovasc Disord. 2011 Feb 1;11:7. doi: 10.1186/1471-2261-11-7.
2
Sex differences in fat distribution influence the association between BMI and arterial stiffness.脂肪分布的性别差异影响体重指数与动脉僵硬度之间的关联。
J Hypertens. 2017 Jun;35(6):1219-1225. doi: 10.1097/HJH.0000000000001297.
3
Abdominal obesity vs general obesity for identifying arterial stiffness, subclinical atherosclerosis and wave reflection in healthy, diabetics and hypertensive.腹部肥胖与全身肥胖在识别健康人群、糖尿病患者和高血压患者的动脉僵硬度、亚临床动脉粥样硬化和波反射中的比较。
BMC Cardiovasc Disord. 2012 Feb 1;12:3. doi: 10.1186/1471-2261-12-3.
4
Abdominal obesity is associated with arterial stiffness in middle-aged adults.腹部肥胖与中年成年人的动脉僵硬度有关。
Nutr Metab Cardiovasc Dis. 2015 May;25(5):495-502. doi: 10.1016/j.numecd.2015.01.002. Epub 2015 Jan 28.
5
Regional variations in the relationship between arterial stiffness and adipocyte volume or number in obese subjects.肥胖受试者中动脉僵硬度与脂肪细胞体积或数量之间关系的区域差异。
Int J Obes (Lond). 2015 Feb;39(2):222-7. doi: 10.1038/ijo.2014.118. Epub 2014 Jul 8.
6
Sagittal abdominal diameter is a more independent measure compared with waist circumference to predict arterial stiffness in subjects with type 2 diabetes--a prospective observational cohort study.与腰围相比,矢状腹部直径是预测 2 型糖尿病患者动脉僵硬度的更独立指标——一项前瞻性观察队列研究。
Cardiovasc Diabetol. 2013 Mar 28;12:55. doi: 10.1186/1475-2840-12-55.
7
Arterial stiffness, lifestyle intervention and a low-calorie diet in morbidly obese patients-a nonrandomized clinical trial.动脉僵硬度、生活方式干预和低热量饮食在病态肥胖患者中的作用——一项非随机临床试验。
Obesity (Silver Spring). 2013 Apr;21(4):690-7. doi: 10.1002/oby.20099.
8
Visceral fat and arterial stiffness in youth with healthy weight, obesity, and type 2 diabetes.健康体重、肥胖和 2 型糖尿病青少年的内脏脂肪和动脉僵硬。
Pediatr Obes. 2022 Apr;17(4):e12865. doi: 10.1111/ijpo.12865. Epub 2021 Oct 19.
9
Visceral fat, arterial stiffness, and endothelial function in peritoneal dialysis patients.腹膜透析患者的内脏脂肪、动脉僵硬度和内皮功能
J Ren Nutr. 2008 Nov;18(6):495-502. doi: 10.1053/j.jrn.2008.05.006.
10
Relationship between BMI and aortic stiffness: influence of anthropometric indices in hypertensive men and women.体重指数与主动脉僵硬度的关系:在高血压男女中,人体测量指标的影响。
J Hypertens. 2020 Feb;38(2):249-256. doi: 10.1097/HJH.0000000000002228.

引用本文的文献

1
Arterial stiffness, high fasting glucose, and fatty liver as risk factors for visceral obesity in middle-aged Chinese individuals: a cross-sectional study.动脉僵硬度、空腹血糖升高和脂肪肝作为中国中年人群内脏肥胖的危险因素:一项横断面研究。
Endocr J. 2025 May 7;72(5):525-533. doi: 10.1507/endocrj.EJ24-0554. Epub 2025 Feb 14.
2
Arterial Stiffness in Overweight and Obesity: Association with Sex, Age, and Blood Pressure.超重和肥胖与动脉僵硬度:与性别、年龄和血压的关系。
High Blood Press Cardiovasc Prev. 2023 Sep;30(5):435-443. doi: 10.1007/s40292-023-00593-2. Epub 2023 Jul 28.
3
Heart Failure with Preserved Left Ventricular Ejection Fraction: A Complex Conundrum Simply Not Limited to Diastolic Dysfunction.

本文引用的文献

1
The effect of obesity and weight loss on aortic pulse wave velocity as assessed by magnetic resonance imaging.磁共振成像评估肥胖及减肥对主动脉脉搏波速度的影响。
Obesity (Silver Spring). 2010 Dec;18(12):2311-6. doi: 10.1038/oby.2010.64. Epub 2010 Apr 1.
2
Prediction of cardiovascular events and all-cause mortality with arterial stiffness: a systematic review and meta-analysis.动脉僵硬度预测心血管事件和全因死亡率:系统评价和荟萃分析。
J Am Coll Cardiol. 2010 Mar 30;55(13):1318-27. doi: 10.1016/j.jacc.2009.10.061.
3
Impact of metabolic indices on central artery stiffness: independent association of insulin resistance and glucose with aortic pulse wave velocity.
射血分数保留的心力衰竭:一种复杂的难题,不仅仅局限于舒张功能障碍。
Cardiovasc Ther. 2023 Jul 18;2023:1552826. doi: 10.1155/2023/1552826. eCollection 2023.
4
Evaluation of subclinical atherosclerosis in obese patients with three noninvasive methods: Arterial stiffness, carotid intima-media thickness, and biomarkers of endothelial dysfunction.评价肥胖患者亚临床动脉粥样硬化的三种无创方法:动脉僵硬度、颈动脉内膜中层厚度和内皮功能障碍的生物标志物。
Arch Endocrinol Metab. 2023 May 12;67(4):e000622. doi: 10.20945/2359-3997000000622.
5
Effects of Semisupervised Exercise Training on Health Outcomes in People With Lung or Head and Neck Cancer: Protocol for a Randomized Controlled Trial.半监督运动训练对肺癌或头颈癌患者健康结局的影响:一项随机对照试验方案
JMIR Res Protoc. 2023 May 24;12:e43547. doi: 10.2196/43547.
6
Clinical Applications Measuring Arterial Stiffness: An Expert Consensus for the Application of Cardio-Ankle Vascular Index.临床应用测量动脉僵硬度:心血管踝血管指数应用的专家共识。
Am J Hypertens. 2022 May 10;35(5):441-453. doi: 10.1093/ajh/hpab178.
7
Effect of Maternal Obstructive Sleep Apnea-Hypopnea on 24-Hour Blood Pressure, Nocturnal Blood Pressure Dipping and Arterial Stiffness in Hypertensive Disorders of Pregnancy.孕妇阻塞性睡眠呼吸暂停低通气对妊娠期高血压疾病患者24小时血压、夜间血压波动及动脉僵硬度的影响
Front Physiol. 2021 Oct 18;12:747106. doi: 10.3389/fphys.2021.747106. eCollection 2021.
8
Association between body fat parameters and arterial stiffness.体脂肪参数与动脉僵硬度的关系。
Sci Rep. 2021 Oct 15;11(1):20536. doi: 10.1038/s41598-021-00175-z.
9
Female Gender Is Associated with Higher Susceptibility of Weight Induced Arterial Stiffening and Rise in Blood Pressure.女性与体重诱导的动脉僵硬度增加和血压升高的易感性较高有关。
J Clin Med. 2021 Aug 6;10(16):3479. doi: 10.3390/jcm10163479.
10
The relationship between the atherogenic index of plasma and arterial stiffness in essential hypertensive patients from China: a cross-sectional study.中国原发性高血压患者血浆致动脉粥样硬化指数与动脉僵硬度的关系:一项横断面研究。
BMC Cardiovasc Disord. 2021 May 19;21(1):245. doi: 10.1186/s12872-021-02049-8.
代谢指标对中心动脉僵硬度的影响:胰岛素抵抗和血糖与主动脉脉搏波速度的独立相关性。
Diabetologia. 2010 Jun;53(6):1190-8. doi: 10.1007/s00125-010-1689-9. Epub 2010 Mar 6.
4
The predictive value of different measures of obesity for incident cardiovascular events and mortality.不同肥胖测量指标对心血管事件和死亡发生的预测价值。
J Clin Endocrinol Metab. 2010 Apr;95(4):1777-85. doi: 10.1210/jc.2009-1584. Epub 2010 Feb 3.
5
Traditional anthropometric parameters still predict metabolic disorders in women with severe obesity.传统人体测量学参数仍然可以预测严重肥胖女性的代谢紊乱。
Obesity (Silver Spring). 2010 May;18(5):1026-32. doi: 10.1038/oby.2009.349. Epub 2009 Oct 22.
6
Body mass index and waist circumference predict both 10-year nonfatal and fatal cardiovascular disease risk: study conducted in 20,000 Dutch men and women aged 20-65 years.体重指数和腰围可预测10年非致命性和致命性心血管疾病风险:对2万名年龄在20至65岁之间的荷兰男性和女性进行的研究。
Eur J Cardiovasc Prev Rehabil. 2009 Dec;16(6):729-34. doi: 10.1097/HJR.0b013e328331dfc0.
7
Body mass index, waist circumference and waist:hip ratio as predictors of cardiovascular risk--a review of the literature.体重指数、腰围和腰臀比作为心血管风险的预测指标——文献综述。
Eur J Clin Nutr. 2010 Jan;64(1):16-22. doi: 10.1038/ejcn.2009.68. Epub 2009 Aug 5.
8
Gender differences in insulin resistance, body composition, and energy balance.胰岛素抵抗、身体成分和能量平衡方面的性别差异。
Gend Med. 2009;6 Suppl 1(Suppl 1):60-75. doi: 10.1016/j.genm.2009.02.002.
9
[Predictive value of combined measurements of body mass index and waist circumference for the risk of cardiovascular disease].[体重指数与腰围联合测量对心血管疾病风险的预测价值]
Zhonghua Xin Xue Guan Bing Za Zhi. 2008 Jul;36(7):655-8.
10
No apparent progress in bioelectrical impedance accuracy: validation against metabolic risk and DXA.生物电阻抗准确性方面无明显进展:与代谢风险和双能X线吸收法的对比验证
Obesity (Silver Spring). 2009 Jan;17(1):183-7. doi: 10.1038/oby.2008.474. Epub 2008 Nov 6.