Suppr超能文献

原发性 HIV-1 亚型 C 感染中单种和多种病毒变异体的传播。

Transmission of single and multiple viral variants in primary HIV-1 subtype C infection.

机构信息

Department of Immunology and Infectious Diseases, Harvard School of Public Health AIDS Initiative, Harvard School of Public Health, Boston, Massachusetts, USA.

出版信息

PLoS One. 2011 Feb 9;6(2):e16714. doi: 10.1371/journal.pone.0016714.

Abstract

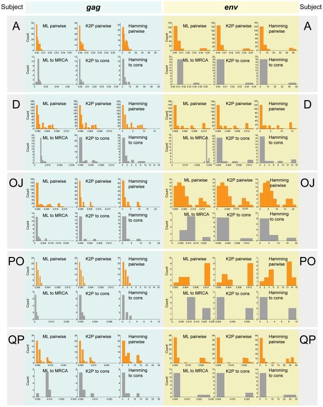
To address whether sequences of viral gag and env quasispecies collected during the early post-acute period can be utilized to determine multiplicity of transmitted HIV's, recently developed approaches for analysis of viral evolution in acute HIV-1 infection [1,2] were applied. Specifically, phylogenetic reconstruction, inter- and intra-patient distribution of maximum and mean genetic distances, analysis of Poisson fitness, shape of highlighter plots, recombination analysis, and estimation of time to the most recent common ancestor (tMRCA) were utilized for resolving multiplicity of HIV-1 transmission in a set of viral quasispecies collected within 50 days post-seroconversion (p/s) in 25 HIV-infected individuals with estimated time of seroconversion. The decision on multiplicity of HIV infection was made based on the model's fit with, or failure to explain, the observed extent of viral sequence heterogeneity. The initial analysis was based on phylogeny, inter-patient distribution of maximum and mean distances, and Poisson fitness, and was able to resolve multiplicity of HIV transmission in 20 of 25 (80%) cases. Additional analysis involved distribution of individual viral distances, highlighter plots, recombination analysis, and estimation of tMRCA, and resolved 4 of the 5 remaining cases. Overall, transmission of a single viral variant was identified in 16 of 25 (64%) cases, and transmission of multiple variants was evident in 8 of 25 (32%) cases. In one case multiplicity of HIV-1 transmission could not be determined. In primary HIV-1 subtype C infection, samples collected within 50 days p/s and analyzed by a single-genome amplification/sequencing technique can provide reliable identification of transmission multiplicity in 24 of 25 (96%) cases. Observed transmission frequency of a single viral variant and multiple viral variants were within the ranges of 64% to 68%, and 32% to 36%, respectively.

摘要

为了确定在急性感染后期收集的病毒 gag 和 env 准种序列是否可用于确定 HIV 传播的多样性,我们应用了最近开发的分析急性 HIV-1 感染中病毒进化的方法[1,2]。具体而言,我们应用了系统发育重建、患者间和患者内最大和平均遗传距离分布、泊松适应度分析、高变区图形状分析、重组分析和最近共同祖先时间 (tMRCA) 估计,以确定 25 例 HIV 感染者在血清转换后 50 天内收集的病毒准种集中 HIV-1 传播的多样性。基于模型与观察到的病毒序列异质性程度的拟合程度或无法解释该程度,来确定 HIV 感染的多样性。初始分析基于系统发育、患者间最大和平均距离分布以及泊松适应度,能够在 25 例中的 20 例(80%)确定 HIV 传播的多样性。进一步的分析涉及个体病毒距离分布、高变区图分析、重组分析和 tMRCA 估计,解决了其余 5 例中的 4 例。总体而言,在 25 例中的 16 例(64%)中确定了单一病毒变异体的传播,在 25 例中的 8 例(32%)中确定了多种变异体的传播。在一个病例中,无法确定 HIV-1 传播的多样性。在原发性 HIV-1 亚型 C 感染中,在血清转换后 50 天内采集并通过单基因扩增/测序技术分析的样本可在 25 例中的 24 例(96%)中可靠地确定传播多样性。观察到的单一病毒变异体和多种病毒变异体的传播频率分别在 64%至 68%和 32%至 36%的范围内。

https://cdn.ncbi.nlm.nih.gov/pmc/blobs/494a/3048432/c99085e60699/pone.0016714.g001.jpg

文献AI研究员

20分钟写一篇综述,助力文献阅读效率提升50倍。

立即体验

用中文搜PubMed

大模型驱动的PubMed中文搜索引擎

马上搜索

文档翻译

学术文献翻译模型,支持多种主流文档格式。

立即体验