• 文献检索
  • 文档翻译
  • 深度研究
  • 学术资讯
  • Suppr Zotero 插件Zotero 插件
  • 邀请有礼
  • 套餐&价格
  • 历史记录
应用&插件
Suppr Zotero 插件Zotero 插件浏览器插件Mac 客户端Windows 客户端微信小程序
定价
高级版会员购买积分包购买API积分包
服务
文献检索文档翻译深度研究API 文档MCP 服务
关于我们
关于 Suppr公司介绍联系我们用户协议隐私条款
关注我们

Suppr 超能文献

核心技术专利:CN118964589B侵权必究
粤ICP备2023148730 号-1Suppr @ 2026

文献检索

告别复杂PubMed语法,用中文像聊天一样搜索,搜遍4000万医学文献。AI智能推荐,让科研检索更轻松。

立即免费搜索

文件翻译

保留排版,准确专业,支持PDF/Word/PPT等文件格式,支持 12+语言互译。

免费翻译文档

深度研究

AI帮你快速写综述,25分钟生成高质量综述,智能提取关键信息,辅助科研写作。

立即免费体验

吗啡的外周作用及神经病理性疼痛时背根神经节中 μ 阿片受体的表达:一氧化氮信号转导。

Peripheral effects of morphine and expression of μ-opioid receptors in the dorsal root ganglia during neuropathic pain: nitric oxide signaling.

机构信息

Grup de Neurofarmacologia Molecular, Institut de Recerca de l'Hospital de la Sta Creu i Sant Pau & Institut de Neurociències, Universitat Autònoma de Barcelona, Barcelona, Spain.

出版信息

Mol Pain. 2011 Apr 12;7:25. doi: 10.1186/1744-8069-7-25.

DOI:10.1186/1744-8069-7-25
PMID:21486477
原文链接:https://pmc.ncbi.nlm.nih.gov/articles/PMC3094254/
Abstract

BACKGROUND

The local administration of μ-opioid receptor (MOR) agonists attenuates neuropathic pain but the precise mechanism implicated in this effect is not completely elucidated. We investigated if nitric oxide synthesized by neuronal (NOS1) or inducible (NOS2) nitric oxide synthases could modulate the local antiallodynic effects of morphine through the peripheral nitric oxide-cGMP-protein kinase G (PKG)-ATP-sensitive K+ (KATP) channels signaling pathway activation and affect the dorsal root ganglia MOR expression during neuropathic pain.

RESULTS

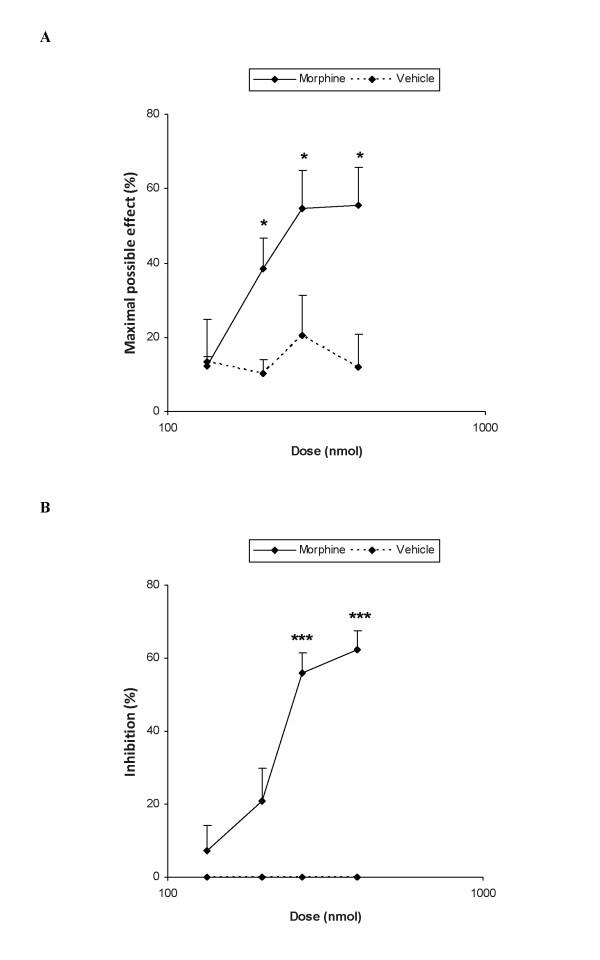
In wild type (WT) mice, the subplantar administration of morphine dose-dependently decreased the mechanical and thermal allodynia induced by the chronic constriction of the sciatic nerve (CCI), which effects were significantly diminished after their co-administration with different subanalgesic doses of a selective NOS1 (N-[(4S)-4-amino-5-[(2-aminoethyl)amino]pentyl]-N'-nitroguanidine tris(trifluoroacetate) salt; NANT), NOS2 (L-N(6)-(1-iminoethyl)-lysine; L-NIL), L-guanylate cyclase (1H-[1,2,4]oxadiazolo[4,3-a]quinoxalin-1-one; ODQ), PKG ((Rp)-8-(para-chlorophenylthio)guanosine-3',5'-cyclic monophosphorothioate; Rp-8-pCPT-cGMPs) inhibitor or a KATP channel blocker (glibenclamide). The evaluation of the expression of MOR in the dorsal root ganglia from sham-operated and sciatic nerve-injured WT, NOS1 knockout (KO) and NOS2-KO mice at 21 days after surgery demonstrated that, although the basal mRNA and protein levels of MOR were similar between WT and both NOS-KO animals, nerve injury only decreased their expression in WT mice.

CONCLUSIONS

These results suggest that the peripheral nitric oxide-cGMP-PKG-KATP signaling pathway activation participates in the local antiallodynic effects of morphine after sciatic nerve injury and that nitric oxide, synthesized by NOS1 and NOS2, is implicated in the dorsal root ganglia down-regulation of MOR during neuropathic pain.

摘要

背景

局部给予μ-阿片受体(MOR)激动剂可减轻神经性疼痛,但这种作用的确切机制尚未完全阐明。我们研究了神经元型(NOS1)或诱导型(NOS2)一氧化氮合酶合成的一氧化氮是否可以通过外周一氧化氮-cGMP-蛋白激酶 G(PKG)-ATP 敏感性钾(KATP)通道信号通路的激活来调节吗啡的局部抗痛觉过敏作用,并影响背根神经节 MOR 在神经性疼痛过程中的表达。

结果

在野生型(WT)小鼠中,足底给予吗啡剂量依赖性地降低了慢性坐骨神经结扎(CCI)引起的机械性和热痛觉过敏,而当与不同亚镇痛剂量的选择性 NOS1(N-[(4S)-4-氨基-5-[(2-氨乙基)氨基]戊基]-N'-硝基胍三(三氟乙酸)盐;NANT)、NOS2(L-N(6)-(1-亚氨基乙基)-赖氨酸;L-NIL)、L-鸟苷酸环化酶(1H-[1,2,4]恶二唑[4,3-a]喹喔啉-1-酮;ODQ)、PKG((Rp)-8-(对氯苯基硫代)鸟苷-3',5'-环单磷酸硫代酯;Rp-8-pCPT-cGMPs)抑制剂或 KATP 通道阻滞剂(格列本脲)共同给药时,这些作用明显减弱。术后 21 天,评估 sham 手术和坐骨神经损伤 WT、NOS1 基因敲除(KO)和 NOS2-KO 小鼠背根神经节中 MOR 的表达,结果表明,尽管 MOR 的基础 mRNA 和蛋白水平在 WT 和两种 NOS-KO 动物之间相似,但神经损伤仅在 WT 小鼠中降低其表达。

结论

这些结果表明,外周一氧化氮-cGMP-PKG-KATP 信号通路的激活参与了坐骨神经损伤后吗啡的局部抗痛觉过敏作用,并且由 NOS1 和 NOS2 合成的一氧化氮参与了背根神经节中 MOR 的下调在神经性疼痛过程中。

https://cdn.ncbi.nlm.nih.gov/pmc/blobs/dd8e/3094254/21493a4d1f22/1744-8069-7-25-5.jpg
https://cdn.ncbi.nlm.nih.gov/pmc/blobs/dd8e/3094254/6d1351fbe5d2/1744-8069-7-25-1.jpg
https://cdn.ncbi.nlm.nih.gov/pmc/blobs/dd8e/3094254/b96dee72ba49/1744-8069-7-25-2.jpg
https://cdn.ncbi.nlm.nih.gov/pmc/blobs/dd8e/3094254/2b6b56fbbbc1/1744-8069-7-25-3.jpg
https://cdn.ncbi.nlm.nih.gov/pmc/blobs/dd8e/3094254/abe27d65ce93/1744-8069-7-25-4.jpg
https://cdn.ncbi.nlm.nih.gov/pmc/blobs/dd8e/3094254/21493a4d1f22/1744-8069-7-25-5.jpg
https://cdn.ncbi.nlm.nih.gov/pmc/blobs/dd8e/3094254/6d1351fbe5d2/1744-8069-7-25-1.jpg
https://cdn.ncbi.nlm.nih.gov/pmc/blobs/dd8e/3094254/b96dee72ba49/1744-8069-7-25-2.jpg
https://cdn.ncbi.nlm.nih.gov/pmc/blobs/dd8e/3094254/2b6b56fbbbc1/1744-8069-7-25-3.jpg
https://cdn.ncbi.nlm.nih.gov/pmc/blobs/dd8e/3094254/abe27d65ce93/1744-8069-7-25-4.jpg
https://cdn.ncbi.nlm.nih.gov/pmc/blobs/dd8e/3094254/21493a4d1f22/1744-8069-7-25-5.jpg

相似文献

1
Peripheral effects of morphine and expression of μ-opioid receptors in the dorsal root ganglia during neuropathic pain: nitric oxide signaling.吗啡的外周作用及神经病理性疼痛时背根神经节中 μ 阿片受体的表达:一氧化氮信号转导。
Mol Pain. 2011 Apr 12;7:25. doi: 10.1186/1744-8069-7-25.
2
The role of nitric oxide in the local antiallodynic and antihyperalgesic effects and expression of delta-opioid and cannabinoid-2 receptors during neuropathic pain in mice.一氧化氮在小鼠神经病理性疼痛中局部抗痛觉过敏和抗痛觉过高及δ-阿片和大麻素-2 受体表达中的作用。
J Pharmacol Exp Ther. 2010 Sep 1;334(3):887-96. doi: 10.1124/jpet.110.167585. Epub 2010 May 24.
3
The antinociceptive effects of JWH-015 in chronic inflammatory pain are produced by nitric oxide-cGMP-PKG-KATP pathway activation mediated by opioids.JWH-015 在慢性炎症性疼痛中的镇痛作用是通过阿片类药物介导的一氧化氮-cGMP-PKG-KATP 通路激活产生的。
PLoS One. 2011;6(10):e26688. doi: 10.1371/journal.pone.0026688. Epub 2011 Oct 21.
4
The inhibition of the nitric oxide-cGMP-PKG-JNK signaling pathway avoids the development of tolerance to the local antiallodynic effects produced by morphine during neuropathic pain.抑制一氧化氮-cGMP-PKG-JNK 信号通路可避免在神经病理性疼痛期间吗啡产生的局部抗痛觉过敏作用产生耐受。
Eur J Pharmacol. 2012 Jun 15;685(1-3):42-51. doi: 10.1016/j.ejphar.2012.04.009. Epub 2012 Apr 20.
5
Effects of selective and non-selective inhibitors of nitric oxide synthase on morphine- and endomorphin-1-induced analgesia in acute and neuropathic pain in rats.一氧化氮合酶选择性和非选择性抑制剂对大鼠急性和神经性疼痛中吗啡及内吗啡肽-1诱导镇痛的影响
Neuropharmacology. 2013 Dec;75:445-57. doi: 10.1016/j.neuropharm.2013.08.031. Epub 2013 Sep 10.
6
Carbon monoxide reduces neuropathic pain and spinal microglial activation by inhibiting nitric oxide synthesis in mice.一氧化碳通过抑制一氧化氮合酶的合成减轻小鼠的神经病理性疼痛和脊髓小胶质细胞激活。
PLoS One. 2012;7(8):e43693. doi: 10.1371/journal.pone.0043693. Epub 2012 Aug 22.
7
The spinal cord expression of neuronal and inducible nitric oxide synthases and their contribution in the maintenance of neuropathic pain in mice.脊髓神经元型一氧化氮合酶和诱导型一氧化氮合酶的表达及其在小鼠神经病理性疼痛维持中的作用。
PLoS One. 2010 Dec 13;5(12):e14321. doi: 10.1371/journal.pone.0014321.
8
TGF-β and opioid receptor signaling crosstalk results in improvement of endogenous and exogenous opioid analgesia under pathological pain conditions.TGF-β 和阿片受体信号转导相互作用可改善病理性疼痛条件下内源性和外源性阿片类药物镇痛。
J Neurosci. 2014 Apr 9;34(15):5385-95. doi: 10.1523/JNEUROSCI.4405-13.2014.
9
Treatment with carbon monoxide-releasing molecules and an HO-1 inducer enhances the effects and expression of µ-opioid receptors during neuropathic pain.一氧化碳释放分子和 HO-1 诱导剂的治疗可增强神经病理性疼痛期间 µ 阿片受体的作用和表达。
Anesthesiology. 2013 May;118(5):1180-97. doi: 10.1097/ALN.0b013e318286d085.
10
Peripheral antinociceptive effects of mu- and delta-opioid receptor agonists in NOS2 and NOS1 knockout mice during chronic inflammatory pain.在慢性炎性疼痛期间,μ-和δ-阿片受体激动剂对一氧化氮合酶2(NOS2)和一氧化氮合酶1(NOS1)基因敲除小鼠的外周抗伤害感受作用。
Eur J Pharmacol. 2009 Jan 5;602(1):41-9. doi: 10.1016/j.ejphar.2008.11.019. Epub 2008 Nov 18.

引用本文的文献

1
Various gases for the treatment of neuropathic pain: mechanisms, current status, and future perspectives.用于治疗神经性疼痛的各种气体:作用机制、现状及未来展望。
Med Gas Res. 2025 Dec 1;15(4):488-495. doi: 10.4103/mgr.MEDGASRES-D-24-00161. Epub 2025 Apr 29.
2
Ferroptosis inhibitor ferrostatin-1 attenuates morphine tolerance development in male rats by inhibiting dorsal root ganglion neuronal ferroptosis.铁死亡抑制剂铁抑素-1通过抑制背根神经节神经元铁死亡减轻雄性大鼠吗啡耐受性的发展。
Korean J Pain. 2024 Jul 1;37(3):233-246. doi: 10.3344/kjp.24042.
3
The effect of protocatechuic acid on neuropathic pain and possible mechanism.

本文引用的文献

1
The spinal cord expression of neuronal and inducible nitric oxide synthases and their contribution in the maintenance of neuropathic pain in mice.脊髓神经元型一氧化氮合酶和诱导型一氧化氮合酶的表达及其在小鼠神经病理性疼痛维持中的作用。
PLoS One. 2010 Dec 13;5(12):e14321. doi: 10.1371/journal.pone.0014321.
2
The role of nitric oxide in the local antiallodynic and antihyperalgesic effects and expression of delta-opioid and cannabinoid-2 receptors during neuropathic pain in mice.一氧化氮在小鼠神经病理性疼痛中局部抗痛觉过敏和抗痛觉过高及δ-阿片和大麻素-2 受体表达中的作用。
J Pharmacol Exp Ther. 2010 Sep 1;334(3):887-96. doi: 10.1124/jpet.110.167585. Epub 2010 May 24.
3
原儿茶酸对神经病理性疼痛的影响及可能机制。
Indian J Pharmacol. 2023 Sep-Oct;55(5):315-321. doi: 10.4103/ijp.ijp_364_21.
4
Medial prefrontal cortex nitric oxide modulates neuropathic pain behavior through mu opioid receptors in rats.内侧前额叶皮质中的一氧化氮通过μ阿片受体调节大鼠的神经性疼痛行为。
Korean J Pain. 2022 Oct 1;35(4):413-422. doi: 10.3344/kjp.2022.35.4.413.
5
S-nitroso-L-cysteine stereoselectively blunts the adverse effects of morphine on breathing and arterial blood gas chemistry while promoting analgesia.S-亚硝基-L-半胱氨酸对吗啡抑制呼吸和动脉血气化学的不良反应具有立体选择性,同时促进镇痛作用。
Biomed Pharmacother. 2022 Sep;153:113436. doi: 10.1016/j.biopha.2022.113436. Epub 2022 Jul 26.
6
Hydrogen Sulfide Increases the Analgesic Effects of µ- and δ-Opioid Receptors during Neuropathic Pain: Pathways Implicated.硫化氢增强神经性疼痛期间μ和δ阿片受体的镇痛作用:涉及的途径
Antioxidants (Basel). 2022 Jul 4;11(7):1321. doi: 10.3390/antiox11071321.
7
Cannabinoid 1 and mu-Opioid Receptor Agonists Synergistically Inhibit Abdominal Pain and Lack Side Effects in Mice.大麻素 1 型受体和μ 阿片受体激动剂协同抑制小鼠腹痛且无副作用。
J Neurosci. 2022 Aug 17;42(33):6313-6324. doi: 10.1523/JNEUROSCI.0641-22.2022. Epub 2022 Jul 5.
8
S-Nitroso-L-Cysteine Stereoselectively Blunts the Deleterious Effects of Fentanyl on Breathing While Augmenting Antinociception in Freely-Moving Rats.S-亚硝基-L-半胱氨酸在自由活动的大鼠中立体选择性地减弱芬太尼对呼吸的有害影响,同时增强其镇痛作用。
Front Pharmacol. 2022 May 26;13:892307. doi: 10.3389/fphar.2022.892307. eCollection 2022.
9
Nitric Oxide Signaling Pathway in Ventral Tegmental Area is Involved in Regulation of 7,8-Dihydroxyflavone on Alcohol Consumption in Rats.腹侧被盖区一氧化氮信号通路参与 7,8-二羟基黄酮对大鼠饮酒行为的调节。
Mol Neurobiol. 2022 Jan;59(1):35-46. doi: 10.1007/s12035-021-02575-8. Epub 2021 Oct 7.
10
Protective effects of anandamide against cisplatin-induced peripheral neuropathy in rats.大麻素对抗顺铂诱导的大鼠周围神经病变的保护作用。
Turk J Med Sci. 2021 Dec 13;51(6):3098-3107. doi: 10.3906/sag-2101-224.
Morphine peripheral analgesia depends on activation of the PI3Kgamma/AKT/nNOS/NO/KATP signaling pathway.
吗啡外周镇痛依赖于 PI3Kγ/AKT/nNOS/NO/KATP 信号通路的激活。
Proc Natl Acad Sci U S A. 2010 Mar 2;107(9):4442-7. doi: 10.1073/pnas.0914733107. Epub 2010 Feb 10.
4
KATP channel subunits in rat dorsal root ganglia: alterations by painful axotomy.大鼠背根神经节中的 KATP 通道亚基:疼痛性轴突切断的改变。
Mol Pain. 2010 Jan 26;6:6. doi: 10.1186/1744-8069-6-6.
5
Spinal ERK activation via NO-cGMP pathway contributes to nociceptive behavior induced by morphine-3-glucuronide.通过一氧化氮-环磷酸鸟苷途径激活脊髓细胞外信号调节激酶,有助于吗啡-3-葡萄糖醛酸诱导的伤害性行为。
Biochem Pharmacol. 2009 Oct 15;78(8):1026-34. doi: 10.1016/j.bcp.2009.06.106. Epub 2009 Jul 7.
6
Local peripheral opioid effects and expression of opioid genes in the spinal cord and dorsal root ganglia in neuropathic and inflammatory pain.局部外周阿片类药物作用以及阿片类基因在神经性疼痛和炎性疼痛中的脊髓和背根神经节中的表达
Pain. 2009 Feb;141(3):283-291. doi: 10.1016/j.pain.2008.12.006. Epub 2009 Jan 14.
7
Pharmacological assessments of nitric oxide synthase isoforms and downstream diversity of NO signaling in the maintenance of thermal and mechanical hypersensitivity after peripheral nerve injury in mice.小鼠外周神经损伤后热和机械超敏反应维持过程中一氧化氮合酶亚型的药理学评估及NO信号的下游多样性
Neuropharmacology. 2009 Mar;56(3):702-8. doi: 10.1016/j.neuropharm.2008.12.003. Epub 2008 Dec 16.
8
Peripheral antinociceptive effects of mu- and delta-opioid receptor agonists in NOS2 and NOS1 knockout mice during chronic inflammatory pain.在慢性炎性疼痛期间,μ-和δ-阿片受体激动剂对一氧化氮合酶2(NOS2)和一氧化氮合酶1(NOS1)基因敲除小鼠的外周抗伤害感受作用。
Eur J Pharmacol. 2009 Jan 5;602(1):41-9. doi: 10.1016/j.ejphar.2008.11.019. Epub 2008 Nov 18.
9
Peripherally acting mu-opioid receptor agonist attenuates neuropathic pain in rats after L5 spinal nerve injury.外周作用的μ-阿片受体激动剂可减轻大鼠L5脊髓神经损伤后的神经性疼痛。
Pain. 2008 Aug 31;138(2):318-329. doi: 10.1016/j.pain.2008.01.004. Epub 2008 Feb 13.
10
Genetic knockout and pharmacologic inhibition of neuronal nitric oxide synthase attenuate nerve injury-induced mechanical hypersensitivity in mice.神经元型一氧化氮合酶的基因敲除和药理学抑制可减轻小鼠神经损伤诱导的机械性超敏反应。
Mol Pain. 2007 Oct 8;3:29. doi: 10.1186/1744-8069-3-29.