• 文献检索
  • 文档翻译
  • 深度研究
  • 学术资讯
  • Suppr Zotero 插件Zotero 插件
  • 邀请有礼
  • 套餐&价格
  • 历史记录
应用&插件
Suppr Zotero 插件Zotero 插件浏览器插件Mac 客户端Windows 客户端微信小程序
定价
高级版会员购买积分包购买API积分包
服务
文献检索文档翻译深度研究API 文档MCP 服务
关于我们
关于 Suppr公司介绍联系我们用户协议隐私条款
关注我们

Suppr 超能文献

核心技术专利:CN118964589B侵权必究
粤ICP备2023148730 号-1Suppr @ 2026

文献检索

告别复杂PubMed语法,用中文像聊天一样搜索,搜遍4000万医学文献。AI智能推荐,让科研检索更轻松。

立即免费搜索

文件翻译

保留排版,准确专业,支持PDF/Word/PPT等文件格式,支持 12+语言互译。

免费翻译文档

深度研究

AI帮你快速写综述,25分钟生成高质量综述,智能提取关键信息,辅助科研写作。

立即免费体验

载有美洛昔康的脂质体与传递体的表征及体外皮肤渗透

Characterization and In Vitro Skin Permeation of Meloxicam-Loaded Liposomes versus Transfersomes.

作者信息

Duangjit Sureewan, Opanasopit Praneet, Rojanarata Theerasak, Ngawhirunpat Tanasait

机构信息

Faculty of Pharmacy, Silpakorn University, Sanamchan Palace Campus, Nakhon Pathom 73000, Thailand.

出版信息

J Drug Deliv. 2011;2011:418316. doi: 10.1155/2011/418316. Epub 2010 Nov 7.

DOI:10.1155/2011/418316
PMID:21490750
原文链接:https://pmc.ncbi.nlm.nih.gov/articles/PMC3066552/
Abstract

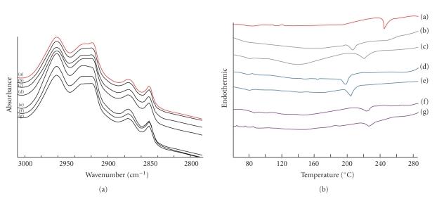
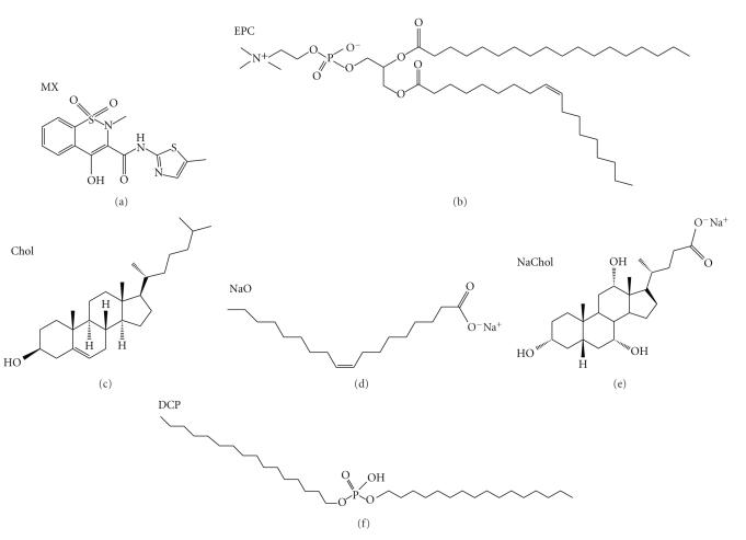
The goal of this study was to develop and evaluate the potential use of liposome and transfersome vesicles in the transdermal drug delivery of meloxicam (MX). MX-loaded vesicles were prepared and evaluated for particle size, zeta potential, entrapment efficiency (%EE), loading efficiency, stability, and in vitro skin permeation. The vesicles were spherical in structure, 90 to 140 nm in size, and negatively charged (-23 to -43 mV). The %EE of MX in the vesicles ranged from 40 to 70%. Transfersomes provided a significantly higher skin permeation of MX compared to liposomes. Fourier Transform Infrared Spectroscopy (FT-IR) and Differential Scanning Calorimetry (DSC) analysis indicated that the application of transfersomes significantly disrupted the stratum corneum lipid. Our research suggests that MX-loaded transfersomes can be potentially used as a transdermal drug delivery system.

摘要

本研究的目的是开发并评估脂质体和传递体囊泡在美洛昔康(MX)经皮给药中的潜在应用。制备了载有MX的囊泡,并对其粒径、zeta电位、包封率(%EE)、负载效率、稳定性和体外皮肤渗透进行了评估。这些囊泡结构呈球形,大小为90至140纳米,带负电荷(-23至-43毫伏)。MX在囊泡中的%EE范围为40%至70%。与脂质体相比,传递体使MX的皮肤渗透显著更高。傅里叶变换红外光谱(FT-IR)和差示扫描量热法(DSC)分析表明,传递体的应用显著破坏了角质层脂质。我们的研究表明,载有MX的传递体有潜力用作经皮给药系统。

https://cdn.ncbi.nlm.nih.gov/pmc/blobs/0431/3066552/978ab803b6cb/JDD2011-418316.006.jpg
https://cdn.ncbi.nlm.nih.gov/pmc/blobs/0431/3066552/d28c6d67b7a1/JDD2011-418316.001.jpg
https://cdn.ncbi.nlm.nih.gov/pmc/blobs/0431/3066552/37186bb39ca9/JDD2011-418316.002.jpg
https://cdn.ncbi.nlm.nih.gov/pmc/blobs/0431/3066552/3fe6fee71a10/JDD2011-418316.003.jpg
https://cdn.ncbi.nlm.nih.gov/pmc/blobs/0431/3066552/6627726c74f8/JDD2011-418316.004.jpg
https://cdn.ncbi.nlm.nih.gov/pmc/blobs/0431/3066552/ace3a6334bc7/JDD2011-418316.005.jpg
https://cdn.ncbi.nlm.nih.gov/pmc/blobs/0431/3066552/978ab803b6cb/JDD2011-418316.006.jpg
https://cdn.ncbi.nlm.nih.gov/pmc/blobs/0431/3066552/d28c6d67b7a1/JDD2011-418316.001.jpg
https://cdn.ncbi.nlm.nih.gov/pmc/blobs/0431/3066552/37186bb39ca9/JDD2011-418316.002.jpg
https://cdn.ncbi.nlm.nih.gov/pmc/blobs/0431/3066552/3fe6fee71a10/JDD2011-418316.003.jpg
https://cdn.ncbi.nlm.nih.gov/pmc/blobs/0431/3066552/6627726c74f8/JDD2011-418316.004.jpg
https://cdn.ncbi.nlm.nih.gov/pmc/blobs/0431/3066552/ace3a6334bc7/JDD2011-418316.005.jpg
https://cdn.ncbi.nlm.nih.gov/pmc/blobs/0431/3066552/978ab803b6cb/JDD2011-418316.006.jpg

相似文献

1
Characterization and In Vitro Skin Permeation of Meloxicam-Loaded Liposomes versus Transfersomes.载有美洛昔康的脂质体与传递体的表征及体外皮肤渗透
J Drug Deliv. 2011;2011:418316. doi: 10.1155/2011/418316. Epub 2010 Nov 7.
2
Evaluation of meloxicam-loaded cationic transfersomes as transdermal drug delivery carriers.载药阳离子传递体作为透皮给药载体的美洛昔康评价。
AAPS PharmSciTech. 2013 Mar;14(1):133-40. doi: 10.1208/s12249-012-9904-2. Epub 2012 Dec 14.
3
Deformable Liposomal Hydrogel for Dermal and Transdermal Delivery of Meloxicam.用于美洛昔康经皮和透皮递送的可变形脂质体水凝胶。
Int J Nanomedicine. 2020 Nov 24;15:9319-9335. doi: 10.2147/IJN.S274954. eCollection 2020.
4
Comparative study of novel ultradeformable liposomes: menthosomes, transfersomes and liposomes for enhancing skin permeation of meloxicam.新型超可变形脂质体的比较研究:薄荷醇脂质体、传递体和脂质体用于增强美洛昔康的皮肤渗透
Biol Pharm Bull. 2014;37(2):239-47. doi: 10.1248/bpb.b13-00576. Epub 2013 Nov 12.
5
Ethosomes and Transfersomes for Topical Delivery of Ginsenoside Rhl from Red Ginseng: Characterization and In Vitro Evaluation.用于红参中人参皂苷Rhl局部递送的醇质体和传递体:表征与体外评价
J Nanosci Nanotechnol. 2015 Aug;15(8):5660-2. doi: 10.1166/jnn.2015.10462.
6
Role of the charge, carbon chain length, and content of surfactant on the skin penetration of meloxicam-loaded liposomes.电荷、碳链长度及表面活性剂含量对载美洛昔康脂质体透皮性能的影响
Int J Nanomedicine. 2014 Apr 29;9:2005-17. doi: 10.2147/IJN.S60674. eCollection 2014.
7
Skin delivery of epigallocatechin-3-gallate (EGCG) and hyaluronic acid loaded nano-transfersomes for antioxidant and anti-aging effects in UV radiation induced skin damage.负载表没食子儿茶素没食子酸酯(EGCG)和透明质酸的纳米传递体经皮肤给药对紫外线辐射诱导的皮肤损伤的抗氧化和抗衰老作用
Drug Deliv. 2017 Nov;24(1):61-74. doi: 10.1080/10717544.2016.1228718.
8
Preparation of transfersomes encapsulating sildenafil aimed for transdermal drug delivery: Plackett-Burman design and characterization.用于透皮给药的载西地那非传递体的制备:Plackett-Burman设计与表征
J Liposome Res. 2015 Mar;25(1):1-10. doi: 10.3109/08982104.2014.950276. Epub 2014 Aug 22.
9
Elastic liposomes bearing meloxicam-beta-cyclodextrin for transdermal delivery.载有美洛昔康-β-环糊精的弹性脂质体用于透皮给药。
Curr Drug Deliv. 2008 Jul;5(3):207-14. doi: 10.2174/156720108784911677.
10
Experimental design and optimization of raloxifene hydrochloride loaded nanotransfersomes for transdermal application.用于透皮给药的载盐酸雷洛昔芬纳米传递体的实验设计与优化
Int J Nanomedicine. 2014 Sep 12;9:4331-46. doi: 10.2147/IJN.S65408. eCollection 2014.

引用本文的文献

1
Development and Evaluation of Trans-Resveratrol-Loaded Transfersomes: Role of Cholesterol in Formulation Design for Dermal Delivery.载有反式白藜芦醇的传递体的开发与评价:胆固醇在皮肤给药制剂设计中的作用。
Nanotechnol Sci Appl. 2025 Jul 31;18:359-375. doi: 10.2147/NSA.S529010. eCollection 2025.
2
New Gel Approaches for the Transdermal Delivery of Meloxicam.用于美洛昔康经皮给药的新型凝胶制剂
Gels. 2025 Jun 26;11(7):500. doi: 10.3390/gels11070500.
3
Alpha-Tocopherol-Infused Flexible Liposomal Nanocomposite Pressure-Sensitive Adhesive: Enhancing Skin Permeation of Retinaldehyde.

本文引用的文献

1
Physicochemical properties and antioxidant activity of gamma-oryzanol-loaded liposome formulations for topical use.用于局部用的载有γ-谷维素的脂质体制剂的物理化学性质和抗氧化活性。
Pharm Dev Technol. 2009;14(6):665-71. doi: 10.3109/10837450902911937.
2
A novel transdermal patch incorporating meloxicam: in vitro and in vivo characterization.一种新型载有美洛昔康的透皮贴剂:体外与体内特征描述。
Int J Pharm. 2010 Jan 29;385(1-2):12-9. doi: 10.1016/j.ijpharm.2009.10.013. Epub 2009 Oct 13.
3
Enhancement of transdermal drug delivery via synergistic action of chemicals.
α-生育酚注入的柔性脂质体纳米复合压敏粘合剂:增强视黄醛的皮肤渗透
Polymers (Basel). 2024 Oct 18;16(20):2930. doi: 10.3390/polym16202930.
4
Atorvastatin loaded glycerosomal patch as an effective transdermal drug delivery: optimization and evaluation.阿托伐他汀载甘油脂体贴剂作为一种有效的透皮给药系统:优化与评价。
Ther Deliv. 2024;15(12):957-976. doi: 10.1080/20415990.2024.2408218. Epub 2024 Oct 21.
5
Optimizing fluconazole-embedded transfersomal gel for enhanced antifungal activity and compatibility studies.优化氟康唑包封传递体凝胶以增强抗真菌活性及相容性研究
Front Pharmacol. 2024 Mar 28;15:1353791. doi: 10.3389/fphar.2024.1353791. eCollection 2024.
6
Spanlastic-laden nanogel as a plausible platform for dermal delivery of bimatoprost with superior cutaneous deposition and hair regrowth efficiency in androgenic alopecia.载有司帕弹性蛋白的纳米凝胶作为比马前列素经皮给药的合理平台,在雄激素性脱发中具有卓越的皮肤沉积和毛发生长效率。
Int J Pharm X. 2024 Mar 26;7:100240. doi: 10.1016/j.ijpx.2024.100240. eCollection 2024 Jun.
7
Transfersomes: Recent Advances, Mechanisms, Exhaustive Applications, Clinical Trials, and Patents.传递体:最新进展、作用机制、广泛应用、临床试验及专利
Curr Drug Deliv. 2025;22(2):215-230. doi: 10.2174/0115672018295038240209055444.
8
Formulation and Characterization of Hesperidin-Loaded Transethosomal Gel for Dermal Delivery to Enhance Antibacterial Activity: Comprehension of In Vitro, Ex Vivo, and Dermatokinetic Analysis.用于皮肤给药以增强抗菌活性的橙皮苷负载转质体凝胶的制剂与表征:体外、离体和皮肤动力学分析解读
Gels. 2023 Oct 1;9(10):791. doi: 10.3390/gels9100791.
9
Nano transdermal system combining mitochondria-targeting cerium oxide nanoparticles with all-trans retinoic acid for psoriasis.将线粒体靶向性氧化铈纳米颗粒与全反式维甲酸结合用于治疗银屑病的纳米透皮系统
Asian J Pharm Sci. 2023 Sep;18(5):100846. doi: 10.1016/j.ajps.2023.100846. Epub 2023 Sep 24.
10
Discovery and Potential Utility of a Novel Non-Invasive Ocular Delivery Platform.一种新型非侵入性眼部给药平台的发现及潜在应用
Pharmaceutics. 2023 Sep 19;15(9):2344. doi: 10.3390/pharmaceutics15092344.
通过化学物质的协同作用增强经皮给药
Biochim Biophys Acta. 2009 Nov;1788(11):2362-73. doi: 10.1016/j.bbamem.2009.08.015. Epub 2009 Sep 3.
4
Investigation of preparation parameters to improve the dissolution of poorly water-soluble meloxicam.研究改善难溶性美洛昔康溶解性能的制备参数。
Int J Pharm. 2009 Nov 3;381(2):153-9. doi: 10.1016/j.ijpharm.2009.07.009. Epub 2009 Jul 17.
5
Skin penetration enhancement by a microneedle device (Dermaroller) in vitro: dependency on needle size and applied formulation.微针装置( Dermaroller)体外增强皮肤渗透作用:取决于针头尺寸和所用制剂
Eur J Pharm Sci. 2009 Mar 2;36(4-5):511-23. doi: 10.1016/j.ejps.2008.12.008. Epub 2008 Dec 25.
6
Development of meloxicam-loaded electrospun polyvinyl alcohol mats as a transdermal therapeutic agent.载有美洛昔康的电纺聚乙烯醇垫作为透皮治疗剂的研发。
Pharm Dev Technol. 2009;14(1):70-9. doi: 10.1080/10837450802409420.
7
Liposomes and skin: from drug delivery to model membranes.脂质体与皮肤:从药物递送 to 模型膜
Eur J Pharm Sci. 2008 Aug 7;34(4-5):203-22. doi: 10.1016/j.ejps.2008.05.002. Epub 2008 May 8.
8
Comparison of 5-aminolevulinic acid-encapsulated liposome versus ethosome for skin delivery for photodynamic therapy.用于光动力疗法的皮肤给药:5-氨基乙酰丙酸包封脂质体与醇质体的比较
Int J Pharm. 2008 May 22;356(1-2):144-52. doi: 10.1016/j.ijpharm.2008.01.020. Epub 2008 Jan 19.
9
Inhibition of cyclooxygenase-2 (COX-2) by meloxicam decreases the incidence of ovarian hyperstimulation syndrome in a rat model.美洛昔康对环氧合酶-2(COX-2)的抑制作用降低了大鼠模型中卵巢过度刺激综合征的发生率。
Fertil Steril. 2008 Oct;90(4 Suppl):1511-6. doi: 10.1016/j.fertnstert.2007.09.028. Epub 2007 Dec 31.
10
Determination of meloxicam in human plasma using a HPLC method with UV detection and its application to a pharmacokinetic study.采用带紫外检测的高效液相色谱法测定人血浆中的美洛昔康及其在药代动力学研究中的应用。
J Chromatogr B Analyt Technol Biomed Life Sci. 2007 Nov 1;859(1):69-73. doi: 10.1016/j.jchromb.2007.09.004. Epub 2007 Sep 14.