• 文献检索
  • 文档翻译
  • 深度研究
  • 学术资讯
  • Suppr Zotero 插件Zotero 插件
  • 邀请有礼
  • 套餐&价格
  • 历史记录
应用&插件
Suppr Zotero 插件Zotero 插件浏览器插件Mac 客户端Windows 客户端微信小程序
定价
高级版会员购买积分包购买API积分包
服务
文献检索文档翻译深度研究API 文档MCP 服务
关于我们
关于 Suppr公司介绍联系我们用户协议隐私条款
关注我们

Suppr 超能文献

核心技术专利:CN118964589B侵权必究
粤ICP备2023148730 号-1Suppr @ 2026

文献检索

告别复杂PubMed语法,用中文像聊天一样搜索,搜遍4000万医学文献。AI智能推荐,让科研检索更轻松。

立即免费搜索

文件翻译

保留排版,准确专业,支持PDF/Word/PPT等文件格式,支持 12+语言互译。

免费翻译文档

深度研究

AI帮你快速写综述,25分钟生成高质量综述,智能提取关键信息,辅助科研写作。

立即免费体验

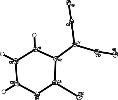
2-(3-氯-1,2-二氢吡嗪-2-亚基)丙二腈

2-(3-Chloro-1,2-dihydro-pyrazin-2-yl-idene)malononitrile.

作者信息

Stefańska Anita, Ossowski Tadeusz, Sikorski Artur

机构信息

University of Gdańsk, Faculty of Chemistry, Sobieskiego 18/19, 80-952 Gdańsk, Poland.

出版信息

Acta Crystallogr Sect E Struct Rep Online. 2009 Feb 28;65(Pt 3):o643. doi: 10.1107/S1600536809006783.

DOI:10.1107/S1600536809006783
PMID:21582292
原文链接:https://pmc.ncbi.nlm.nih.gov/articles/PMC2968665/
Abstract

In the crystal structure of the title compound, C(7)H(3)ClN(4), neighbouring mol-ecules are linked via pairs of N-H⋯N hydrogen bonds into inversion dimers, thereby forming an R(2) (2)(12) ring motif. With respective average deviations from planarity of 0.009 (1) and 0.006 (1) Å, the pyrazine skeleton and the malononitrile fragment are oriented at an angle of 6.0 (1)° with respect to each other. The mean planes of the pyrazine ring lie either parallel or are inclined at an angle of 68.5 (1)° in the crystal structure.

摘要

在标题化合物C₇H₃ClN₄的晶体结构中,相邻分子通过N—H⋯N氢键对连接形成反演二聚体,从而形成R₂²(12)环 motif。吡嗪骨架和丙二腈片段相对于彼此的取向角度为6.0(1)°,各自与平面的平均偏差分别为0.009(1) Å和0.006(1) Å。在晶体结构中,吡嗪环的平均平面要么平行,要么倾斜68.5(1)°。

https://cdn.ncbi.nlm.nih.gov/pmc/blobs/3fb1/2968665/4ade80b7f0f4/e-65-0o643-fig2.jpg
https://cdn.ncbi.nlm.nih.gov/pmc/blobs/3fb1/2968665/bd5f3448ee06/e-65-0o643-fig1.jpg
https://cdn.ncbi.nlm.nih.gov/pmc/blobs/3fb1/2968665/4ade80b7f0f4/e-65-0o643-fig2.jpg
https://cdn.ncbi.nlm.nih.gov/pmc/blobs/3fb1/2968665/bd5f3448ee06/e-65-0o643-fig1.jpg
https://cdn.ncbi.nlm.nih.gov/pmc/blobs/3fb1/2968665/4ade80b7f0f4/e-65-0o643-fig2.jpg

相似文献

1
2-(3-Chloro-1,2-dihydro-pyrazin-2-yl-idene)malononitrile.2-(3-氯-1,2-二氢吡嗪-2-亚基)丙二腈
Acta Crystallogr Sect E Struct Rep Online. 2009 Feb 28;65(Pt 3):o643. doi: 10.1107/S1600536809006783.
2
Pyrazino[2,3-b]indolizine-10-carbonitrile.吡嗪并[2,3 - b]吲哚嗪 - 10 - 腈
Acta Crystallogr Sect E Struct Rep Online. 2009 Mar 14;65(Pt 4):o772-3. doi: 10.1107/S1600536809008939.
3
2-(3-Cyano-4-{7-[1-(2-hy-droxy-eth-yl)-3,3-dimethyl-indolin-2-yl-idene]hepta-1,3,5-trien-yl}-5,5-dimethyl-2,5-dihydro-furan-2-yl-idene)malononitrile.2-(3-氰基-4-{7-[1-(2-羟乙基)-3,3-二甲基-吲哚啉-2-亚基]庚-1,3,5-三烯基}-5,5-二甲基-2,5-二氢呋喃-2-亚基)丙二腈
Acta Crystallogr Sect E Struct Rep Online. 2011 Nov;67(Pt 11):o3026. doi: 10.1107/S1600536811042036. Epub 2011 Oct 22.
4
4-[2-(4-Chloro-phen-yl)hydrazinyl-idene]-3-methyl-1H-pyrazol-5(4H)-one.4-[2-(4-氯苯基)肼叉基]-3-甲基-1H-吡唑-5(4H)-酮
Acta Crystallogr Sect E Struct Rep Online. 2011 Oct 1;67(Pt 10):o2670. doi: 10.1107/S1600536811037020. Epub 2011 Sep 17.
5
(2Z)-N-(2-Chloro-benz-yl)-2-(2-oxo-2,3-dihydro-1H-indol-3-yl-idene)hydrazinecarbothio-amide.(2Z)-N-(2-氯苄基)-2-(2-氧代-2,3-二氢-1H-吲哚-3-亚基)肼基甲硫酰胺
Acta Crystallogr Sect E Struct Rep Online. 2012 Sep 1;68(Pt 9):o2731. doi: 10.1107/S1600536812035076. Epub 2012 Aug 23.
6
Benzyl 3-[(E)-1-(pyrazin-2-yl)ethyl-idene]dithio-carbazate.3-[(E)-1-(吡嗪-2-基)亚乙基]二硫代氨基甲酸苄酯
Acta Crystallogr Sect E Struct Rep Online. 2011 Aug 1;67(Pt 8):o2105. doi: 10.1107/S1600536811028480. Epub 2011 Jul 23.
7
Crystal structure of 2-hy-droxy-imino-2-(pyridin-2-yl)-N'-[1-(pyridin-2-yl)ethyl-idene]acetohydrazide.2-羟基-亚氨基-2-(吡啶-2-基)-N'-[1-(吡啶-2-基)亚乙基]乙酰肼的晶体结构
Acta Crystallogr Sect E Struct Rep Online. 2014 Nov 29;70(Pt 12):584-6. doi: 10.1107/S1600536814025793. eCollection 2014 Dec 1.
8
3-Chloro-6-[2-(propan-2-yl-idene)hydrazin-yl]pyridazine.3-氯-6-[2-(丙烷-2-亚基)肼基]哒嗪
Acta Crystallogr Sect E Struct Rep Online. 2010 Aug 28;66(Pt 9):o2441. doi: 10.1107/S1600536810034239.
9
2-{(E)-[(2Z)-(3-Chloro-1-methyl-2,2-di-oxo-3,4-dihydro-1H-2,1-benzo-thia-zin-4-yl-idene)hydrazinyl-idene]meth-yl}phenol.2 - {(E)-[(2Z)-(3 - 氯 - 1 - 甲基 - 2,2 - 二氧代 - 3,4 - 二氢 - 1H - 2,1 - 苯并噻嗪 - 4 - 亚基)肼叉亚基]甲基}苯酚
Acta Crystallogr Sect E Struct Rep Online. 2012 Feb 1;68(Pt 2):o307. doi: 10.1107/S1600536811055978. Epub 2012 Jan 7.
10
Diethyl 4-[5-(4-chloro-phen-yl)-1H-pyrazol-4-yl]-2,6-dimethyl-1,4-dihydro-pyridine-3,5-dicarboxyl-ate.4-[5-(4-氯苯基)-1H-吡唑-4-基]-2,6-二甲基-1,4-二氢吡啶-3,5-二羧酸二乙酯
Acta Crystallogr Sect E Struct Rep Online. 2012 May 1;68(Pt 5):o1289-90. doi: 10.1107/S160053681201344X. Epub 2012 Apr 4.

本文引用的文献

1
The antagonism of sulfonamide inhibition of certain lactobacilli and enterococci by pteroylglutamic acid and related compounds.蝶酰谷氨酸及相关化合物对某些乳酸杆菌和肠球菌磺胺抑制作用的拮抗作用。
J Biol Chem. 1946 Dec;166(2):435-48.
2
Growth inhibition of bacteria by synthetic pterins: studies with Streptococcus faecalis, Lactobacillus casei, and Lactobacillus arabinosus.合成蝶呤对细菌的生长抑制作用:粪肠球菌、干酪乳杆菌和阿拉伯糖乳杆菌的研究
J Biol Chem. 1947 Aug;169(3):689-97.
3
Structure validation in chemical crystallography.化学晶体学中的结构验证
Acta Crystallogr D Biol Crystallogr. 2009 Feb;65(Pt 2):148-55. doi: 10.1107/S090744490804362X. Epub 2009 Jan 20.
4
A short history of SHELX.SHELX简史。
Acta Crystallogr A. 2008 Jan;64(Pt 1):112-22. doi: 10.1107/S0108767307043930. Epub 2007 Dec 21.
5
BACTERICIDAL FILTRATES FROM A MOLD CULTURE.
Science. 1940 Aug 9;92(2380):127. doi: 10.1126/science.92.2380.127.
6
Studies on Antibacterial Products Formed by Molds: I. Aspergillic Acid, a Product of a Strain of Aspergillus Flavus.霉菌产生的抗菌产物研究:I. 黄曲霉酸,一株黄曲霉菌株的产物
J Bacteriol. 1943 May;45(5):433-43. doi: 10.1128/jb.45.5.433-443.1943.
7
Structural analysis of isoform-specific inhibitors targeting the tetrahydrobiopterin binding site of human nitric oxide synthases.靶向人一氧化氮合酶四氢生物蝶呤结合位点的同工型特异性抑制剂的结构分析
J Med Chem. 2005 Jul 28;48(15):4783-92. doi: 10.1021/jm050007x.
8
Aspergillic acid; an antibiotic substance produced by Aspergillus flavus.
J Biol Chem. 1958 Jun;232(2):785-95.
9
Pyrazine-2,3-dicarboxamide.
Acta Crystallogr C. 2000 Dec;56 (Pt 12):1512-4. doi: 10.1107/s0108270100013421.
10
Pyrazine CH- and NH-acids. Antithrombotic activity and chromatographic behaviour.
Gen Pharmacol. 1993 Jan;24(1):17-22. doi: 10.1016/0306-3623(93)90005-i.