• 文献检索
  • 文档翻译
  • 深度研究
  • 学术资讯
  • Suppr Zotero 插件Zotero 插件
  • 邀请有礼
  • 套餐&价格
  • 历史记录
应用&插件
Suppr Zotero 插件Zotero 插件浏览器插件Mac 客户端Windows 客户端微信小程序
定价
高级版会员购买积分包购买API积分包
服务
文献检索文档翻译深度研究API 文档MCP 服务
关于我们
关于 Suppr公司介绍联系我们用户协议隐私条款
关注我们

Suppr 超能文献

核心技术专利:CN118964589B侵权必究
粤ICP备2023148730 号-1Suppr @ 2026

文献检索

告别复杂PubMed语法,用中文像聊天一样搜索,搜遍4000万医学文献。AI智能推荐,让科研检索更轻松。

立即免费搜索

文件翻译

保留排版,准确专业,支持PDF/Word/PPT等文件格式,支持 12+语言互译。

免费翻译文档

深度研究

AI帮你快速写综述,25分钟生成高质量综述,智能提取关键信息,辅助科研写作。

立即免费体验

与炎症、血管生成和癌症相关的血浆蛋白质组图谱。

Plasma proteome profiles associated with inflammation, angiogenesis, and cancer.

机构信息

Division of Human Biology, Fred Hutchinson Cancer Research Center, Seattle, Washington, United States of America.

出版信息

PLoS One. 2011 May 12;6(5):e19721. doi: 10.1371/journal.pone.0019721.

DOI:10.1371/journal.pone.0019721
PMID:21589862
原文链接:https://pmc.ncbi.nlm.nih.gov/articles/PMC3093388/
Abstract

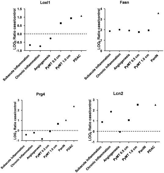
Tumor development is accompanied by a complex host systemic response, which includes inflammatory and angiogenic reactions. Both tumor-derived and systemic response proteins are detected in plasma from cancer patients. However, given their non-specific nature, systemic response proteins can confound the detection or diagnosis of neoplasia. Here, we have applied an in-depth quantitative proteomic approach to analyze plasma protein changes in mouse models of subacute irritant-driven inflammation, autoreactive inflammation, and matrix associated angiogenesis and compared results to previously described findings from mouse models of polyoma middle T-driven breast cancer and Pdx1-Cre Kras(G12D) Ink4a/Arf (lox/lox)-induced pancreatic cancer. Among the confounding models, approximately 1/3 of all quantified plasma proteins exhibited a significant change in abundance compared to control mice. Of the proteins that changed in abundance, the majority were unique to each model. Altered proteins included those involved in acute phase response, inflammation, extracellular matrix remodeling, angiogenesis, and TGFβ signaling. Comparison of changes in plasma proteins between the confounder models and the two cancer models revealed proteins that were restricted to the cancer-bearing mice, reflecting the known biology of these tumors. This approach provides a basis for distinguishing between protein changes in plasma that are cancer-related and those that are part of a non-specific host response.

摘要

肿瘤的发生伴随着复杂的宿主全身反应,包括炎症和血管生成反应。肿瘤来源和全身反应蛋白都在癌症患者的血浆中被检测到。然而,由于其非特异性,全身反应蛋白可能会干扰肿瘤的检测或诊断。在这里,我们应用了一种深入的定量蛋白质组学方法来分析亚急性刺激驱动的炎症、自身免疫性炎症和基质相关血管生成的小鼠模型中的血浆蛋白变化,并将结果与先前描述的多瘤病毒中 T 驱动的乳腺癌和 Pdx1-Cre Kras(G12D)Ink4a/Arf(lox/lox)诱导的胰腺肿瘤的小鼠模型的结果进行了比较。在混杂模型中,与对照小鼠相比,大约三分之一的所有定量血浆蛋白的丰度发生了显著变化。在丰度发生变化的蛋白质中,大多数是每个模型所特有的。改变的蛋白质包括参与急性期反应、炎症、细胞外基质重塑、血管生成和 TGFβ 信号的蛋白质。混杂模型和两种癌症模型之间血浆蛋白变化的比较揭示了仅存在于携带肿瘤的小鼠中的蛋白质,反映了这些肿瘤的已知生物学特性。这种方法为区分与癌症相关的血浆蛋白变化和非特异性宿主反应的一部分提供了基础。

https://cdn.ncbi.nlm.nih.gov/pmc/blobs/5d30/3093388/685e52e8d57c/pone.0019721.g005.jpg
https://cdn.ncbi.nlm.nih.gov/pmc/blobs/5d30/3093388/cbc0ee38952c/pone.0019721.g001.jpg
https://cdn.ncbi.nlm.nih.gov/pmc/blobs/5d30/3093388/c4405fb793fa/pone.0019721.g002.jpg
https://cdn.ncbi.nlm.nih.gov/pmc/blobs/5d30/3093388/3aff18b08eb8/pone.0019721.g003.jpg
https://cdn.ncbi.nlm.nih.gov/pmc/blobs/5d30/3093388/b05da67c1853/pone.0019721.g004.jpg
https://cdn.ncbi.nlm.nih.gov/pmc/blobs/5d30/3093388/685e52e8d57c/pone.0019721.g005.jpg
https://cdn.ncbi.nlm.nih.gov/pmc/blobs/5d30/3093388/cbc0ee38952c/pone.0019721.g001.jpg
https://cdn.ncbi.nlm.nih.gov/pmc/blobs/5d30/3093388/c4405fb793fa/pone.0019721.g002.jpg
https://cdn.ncbi.nlm.nih.gov/pmc/blobs/5d30/3093388/3aff18b08eb8/pone.0019721.g003.jpg
https://cdn.ncbi.nlm.nih.gov/pmc/blobs/5d30/3093388/b05da67c1853/pone.0019721.g004.jpg
https://cdn.ncbi.nlm.nih.gov/pmc/blobs/5d30/3093388/685e52e8d57c/pone.0019721.g005.jpg

相似文献

1
Plasma proteome profiles associated with inflammation, angiogenesis, and cancer.与炎症、血管生成和癌症相关的血浆蛋白质组图谱。
PLoS One. 2011 May 12;6(5):e19721. doi: 10.1371/journal.pone.0019721.
2
Comparative plasma proteome analysis of lymphoma-bearing SJL mice.携带淋巴瘤的SJL小鼠的血浆蛋白质组比较分析。
J Proteome Res. 2005 Sep-Oct;4(5):1814-25. doi: 10.1021/pr0501463.
3
Tumor microenvironment-derived proteins dominate the plasma proteome response during breast cancer induction and progression.肿瘤微环境衍生蛋白主导乳腺癌发生和进展过程中的血浆蛋白质组反应。
Cancer Res. 2011 Aug 1;71(15):5090-100. doi: 10.1158/0008-5472.CAN-11-0568. Epub 2011 Jun 8.
4
Plasma Proteome Biomarkers of Inflammation in School Aged Children in Nepal.尼泊尔学龄儿童炎症的血浆蛋白质组生物标志物
PLoS One. 2015 Dec 4;10(12):e0144279. doi: 10.1371/journal.pone.0144279. eCollection 2015.
5
Inactivation of TIF1gamma cooperates with Kras to induce cystic tumors of the pancreas.TIF1γ的失活与Kras协同作用诱导胰腺囊性肿瘤。
PLoS Genet. 2009 Jul;5(7):e1000575. doi: 10.1371/journal.pgen.1000575. Epub 2009 Jul 24.
6
Mass spectrometry-based study of the plasma proteome in a mouse intestinal tumor model.基于质谱分析法对小鼠肠道肿瘤模型血浆蛋白质组的研究。
J Proteome Res. 2006 Aug;5(8):1866-78. doi: 10.1021/pr060120r.
7
Plasma proteome profiling of a mouse model of breast cancer identifies a set of up-regulated proteins in common with human breast cancer cells.乳腺癌小鼠模型的血浆蛋白质组分析确定了一组与人类乳腺癌细胞共有的上调蛋白。
J Proteome Res. 2008 Apr;7(4):1481-9. doi: 10.1021/pr7007994. Epub 2008 Feb 27.
8
Impact of protein stability, cellular localization, and abundance on proteomic detection of tumor-derived proteins in plasma.蛋白质稳定性、细胞定位和丰度对血浆中肿瘤源性蛋白蛋白质组学检测的影响。
PLoS One. 2011;6(7):e23090. doi: 10.1371/journal.pone.0023090. Epub 2011 Jul 29.
9
A mouse to human search for plasma proteome changes associated with pancreatic tumor development.从鼠到人的探索:寻找与胰腺肿瘤发生相关的血浆蛋白质组变化
PLoS Med. 2008 Jun 10;5(6):e123. doi: 10.1371/journal.pmed.0050123.
10
Inactivation of Smad4 accelerates Kras(G12D)-mediated pancreatic neoplasia.Smad4失活加速Kras(G12D)介导的胰腺肿瘤形成。
Cancer Res. 2007 Sep 1;67(17):8121-30. doi: 10.1158/0008-5472.CAN-06-4167.

引用本文的文献

1
Development and validation of a serum proteomic test for predicting patient outcomes in advanced non-small cell lung cancer treated with atezolizumab or docetaxel.用于预测接受阿特珠单抗或多西他赛治疗的晚期非小细胞肺癌患者预后的血清蛋白质组学检测方法的开发与验证
J Immunother Cancer. 2025 May 21;13(5):e010578. doi: 10.1136/jitc-2024-010578.
2
Mechanistic insights into resistance mechanisms to T cell engagers.对T细胞衔接器耐药机制的机制性见解。
Front Immunol. 2025 Apr 22;16:1583044. doi: 10.3389/fimmu.2025.1583044. eCollection 2025.
3
Plasma proteomics-based biomarkers for predicting response to mesenchymal stem cell therapy in severe COVID-19.

本文引用的文献

1
Nonresolving inflammation.未解决的炎症。
Cell. 2010 Mar 19;140(6):871-82. doi: 10.1016/j.cell.2010.02.029.
2
Systemic inflammation as a confounding factor in cancer biomarker discovery and validation.全身炎症作为癌症生物标志物发现与验证中的一个混杂因素。
Nat Rev Cancer. 2010 Jan;10(1):2-3. doi: 10.1038/nrc2782.
3
Influence of ovarian cancer risk status on the diagnostic performance of the serum biomarkers mesothelin, HE4, and CA125.卵巢癌风险状态对血清生物标志物间皮素、人附睾蛋白4(HE4)和癌抗原125(CA125)诊断性能的影响。
基于血浆蛋白质组学的生物标志物预测 COVID-19 重症患者对间充质干细胞治疗的反应。
Stem Cell Res Ther. 2023 Dec 10;14(1):350. doi: 10.1186/s13287-023-03573-4.
4
Metal-induced oxidative stress and human plasma protein oxidation after SARS-CoV-2 infection.金属诱导的氧化应激和 SARS-CoV-2 感染后的人血浆蛋白氧化。
Sci Rep. 2023 Feb 10;13(1):2441. doi: 10.1038/s41598-023-29119-5.
5
Tumor Microenvironment Immunosuppression: A Roadblock to CAR T-Cell Advancement in Solid Tumors.肿瘤微环境免疫抑制:CAR T 细胞在实体瘤中进展的障碍。
Cells. 2022 Nov 16;11(22):3626. doi: 10.3390/cells11223626.
6
Changes in the Profile of Fecal Microbiota and Metabolites as Well as Serum Metabolites and Proteome After Dietary Inulin Supplementation in Dairy Cows With Subclinical Mastitis.亚临床型乳腺炎奶牛补充膳食菊粉后粪便微生物群和代谢物以及血清代谢物和蛋白质组的变化
Front Microbiol. 2022 Apr 4;13:809139. doi: 10.3389/fmicb.2022.809139. eCollection 2022.
7
Theoretical and Analyses Reveal MYC as a Dynamic Network Biomarker in Colon and Rectal Cancer.理论与分析表明MYC是结直肠癌中的一种动态网络生物标志物。
Front Genet. 2020 Oct 20;11:555540. doi: 10.3389/fgene.2020.555540. eCollection 2020.
8
Mass Spectrometry-Based Multivariate Proteomic Tests for Prediction of Outcomes on Immune Checkpoint Blockade Therapy: The Modern Analytical Approach.基于质谱的多变量蛋白质组学检测在免疫检查点阻断治疗中的预测结果:现代分析方法。
Int J Mol Sci. 2020 Jan 28;21(3):838. doi: 10.3390/ijms21030838.
9
Combined proteomic and metabolomic analyses of cerebrospinal fluid from mice with ischemic stroke reveals the effects of a Buyang Huanwu decoction in neurodegenerative disease.对缺血性中风小鼠脑脊液的蛋白质组学和代谢组学联合分析揭示了补阳还五汤在神经退行性疾病中的作用。
PLoS One. 2019 Jan 15;14(1):e0209184. doi: 10.1371/journal.pone.0209184. eCollection 2019.
10
Molecular phenotyping of laboratory mouse strains using 500 multiple reaction monitoring mass spectrometry plasma assays.使用500种多反应监测质谱血浆分析方法对实验室小鼠品系进行分子表型分析。
Commun Biol. 2018 Jun 27;1:78. doi: 10.1038/s42003-018-0087-6. eCollection 2018.
Cancer Epidemiol Biomarkers Prev. 2009 May;18(5):1365-72. doi: 10.1158/1055-9965.EPI-08-1034.
4
Lipocalin 2 promotes breast cancer progression.脂质运载蛋白2促进乳腺癌进展。
Proc Natl Acad Sci U S A. 2009 Mar 10;106(10):3913-8. doi: 10.1073/pnas.0810617106. Epub 2009 Feb 23.
5
Fatty acid synthase is up-regulated during hepatitis C virus infection and regulates hepatitis C virus entry and production.脂肪酸合酶在丙型肝炎病毒感染期间上调,并调节丙型肝炎病毒的进入和产生。
Hepatology. 2008 Nov;48(5):1396-403. doi: 10.1002/hep.22508.
6
Multifunctional roles of insulin-like growth factor binding protein 5 in breast cancer.胰岛素样生长因子结合蛋白5在乳腺癌中的多功能作用
Breast Cancer Res. 2008;10(4):212. doi: 10.1186/bcr2116. Epub 2008 Aug 11.
7
A mouse model repository for cancer biomarker discovery.用于癌症生物标志物发现的小鼠模型库。
J Proteome Res. 2008 Aug;7(8):3613-8. doi: 10.1021/pr800210b. Epub 2008 Jul 15.
8
A mouse to human search for plasma proteome changes associated with pancreatic tumor development.从鼠到人的探索:寻找与胰腺肿瘤发生相关的血浆蛋白质组变化
PLoS Med. 2008 Jun 10;5(6):e123. doi: 10.1371/journal.pmed.0050123.
9
The effect of thrombospondin-1 on breast cancer metastasis.血小板反应蛋白-1对乳腺癌转移的影响。
Breast Cancer Res Treat. 2009 Mar;114(1):85-96. doi: 10.1007/s10549-008-9992-6. Epub 2008 Apr 13.
10
Plasma proteome profiling of a mouse model of breast cancer identifies a set of up-regulated proteins in common with human breast cancer cells.乳腺癌小鼠模型的血浆蛋白质组分析确定了一组与人类乳腺癌细胞共有的上调蛋白。
J Proteome Res. 2008 Apr;7(4):1481-9. doi: 10.1021/pr7007994. Epub 2008 Feb 27.