Suppr超能文献

对 RD1 抗原的 IP-10 反应可能是监测结核病治疗的有用生物标志物。

IP-10 response to RD1 antigens might be a useful biomarker for monitoring tuberculosis therapy.

机构信息

Department of Immunology, Tuberculosis Research Centre (ICMR), Tamil Nadu, Chennai, India.

出版信息

BMC Infect Dis. 2011 May 19;11:135. doi: 10.1186/1471-2334-11-135.

Abstract

BACKGROUND

There is an urgent need of prognosis markers for tuberculosis (TB) to improve treatment strategies. The results of several studies show that the Interferon (IFN)-γ-specific response to the TB antigens of the QuantiFERON TB Gold (QFT-IT antigens) decreases after successful TB therapy. The objective of this study was to evaluate whether there are factors other than IFN-γ [such as IFN-γ inducible protein (IP)-10 which has also been associated with TB] in response to QFT-IT antigens that can be used as biomarkers for monitoring TB treatment.

METHODS

In this exploratory study we assessed the changes in IP-10 secretion in response to QFT-IT antigens and RD1 peptides selected by computational analysis in 17 patients with active TB at the time of diagnosis and after 6 months of treatment. The IFN-γ response to QFT-IT antigens and RD1 selected peptides was evaluated as a control. A non-parametric Wilcoxon signed-rank test for paired comparisons was used to compare the continuous variables at the time of diagnosis and at therapy completion. A Chi-square test was used to compare proportions.

RESULTS

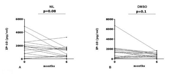
We did not observe significant IP-10 changes in whole blood from either NIL or QFT-IT antigen tubes, after 1-day stimulation, between baseline and therapy completion (p = 0.08 and p = 0.7 respectively). Conversely, the level of IP-10 release to RD1 selected peptides was significantly different (p = 0.006). Similar results were obtained when we detected the IFN-γ in response to the QFT-IT antigens (p = 0.06) and RD1 selected peptides (p = 0.0003). The proportion of the IP-10 responders to the QFT-IT antigens did not significantly change between baseline and therapy completion (p = 0.6), whereas it significantly changed in response to RD1 selected peptides (p = 0.002). The proportion of IFN-γ responders between baseline and therapy completion was not significant for QFT-IT antigens (p = 0.2), whereas it was significant for the RD1 selected peptides (p = 0.002), confirming previous observations.

CONCLUSIONS

Our preliminary study provides an interesting hypothesis: IP-10 response to RD1 selected peptides (similar to IFN-γ) might be a useful biomarker for monitoring therapy efficacy in patients with active TB. However, further studies in larger cohorts are needed to confirm the consistency of these study results.

摘要

背景

迫切需要结核病(TB)的预后标志物来改善治疗策略。几项研究的结果表明,成功的 TB 治疗后,对结核抗原的干扰素(IFN)-γ特异性反应会降低。本研究的目的是评估除 IFN-γ[例如与 TB 相关的 IFN-γ诱导蛋白(IP)-10]之外,对 QFT-IT 抗原的反应中是否存在其他可作为监测 TB 治疗的生物标志物的因素。

方法

在这项探索性研究中,我们评估了在 17 名活动性 TB 患者诊断时和治疗 6 个月后,对 QFT-IT 抗原和通过计算分析选择的 RD1 肽的 IP-10 分泌变化。IFN-γ 对 QFT-IT 抗原和 RD1 选择的肽的反应被评估为对照。采用非参数 Wilcoxon 符号秩检验对配对比较进行连续变量比较。采用卡方检验比较比例。

结果

在第 1 天刺激后,无论是 NIL 还是 QFT-IT 抗原管,全血中的 IP-10 均无明显变化,在基线和治疗完成时(p = 0.08 和 p = 0.7)。相反,RD1 选择的肽的 IP-10 释放水平差异显著(p = 0.006)。当我们检测 QFT-IT 抗原(p = 0.06)和 RD1 选择的肽(p = 0.0003)的 IFN-γ 反应时,也得到了类似的结果。QFT-IT 抗原的 IP-10 反应者的比例在基线和治疗完成时没有明显变化(p = 0.6),而对 RD1 选择的肽的反应者的比例则有显著变化(p = 0.002)。QFT-IT 抗原的 IFN-γ 反应者的比例在基线和治疗完成时无显著性差异(p = 0.2),而 RD1 选择的肽则有显著性差异(p = 0.002),证实了之前的观察结果。

结论

我们的初步研究提供了一个有趣的假设:对 RD1 选择的肽的 IP-10 反应(类似于 IFN-γ)可能是监测活动性 TB 患者治疗效果的有用生物标志物。然而,需要在更大的队列中进行进一步的研究来证实这些研究结果的一致性。

https://cdn.ncbi.nlm.nih.gov/pmc/blobs/a58b/3120672/b25f6599805f/1471-2334-11-135-1.jpg

文献检索

告别复杂PubMed语法,用中文像聊天一样搜索,搜遍4000万医学文献。AI智能推荐,让科研检索更轻松。

立即免费搜索

文件翻译

保留排版,准确专业,支持PDF/Word/PPT等文件格式,支持 12+语言互译。

免费翻译文档

深度研究

AI帮你快速写综述,25分钟生成高质量综述,智能提取关键信息,辅助科研写作。

立即免费体验