Suppr超能文献

对一组儿科 Wilson 病患者的表型和基因特征进行分析。

Phenotypic and genetic characterization of a cohort of pediatric Wilson disease patients.

机构信息

Yassin Abdel Ghaffar Charity Center for Liver Disease and Research, Cairo, Egypt.

出版信息

BMC Pediatr. 2011 Jun 17;11:56. doi: 10.1186/1471-2431-11-56.

Abstract

BACKGROUND

In Egypt, Wilson disease seems to be under diagnosed and clinical data on large cohorts are limited. The aim of this study is to highlight the clinical, laboratory and genetic characteristics of this disease in our pediatric population as well as to report our experience with both treatment options and outcome.

METHODS

The study included 77 patients from 50 unrelated families (62 were followed up for a mean period of 58.9 ± 6.4 months and 27 were asymptomatic siblings). Data were collected retrospectively by record analysis and patient interviews. Diagnosis was confirmed by sequencing of the ATP7B gene in 64 patients.

RESULTS

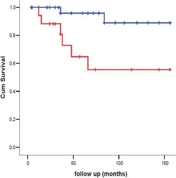
Our patients had unique characteristics compared to other populations. They had a younger age of onset (median: 10 years), higher prevalence of Kayser-Fleischer rings (97.6% in the symptomatic patients), low ceruloplasmin (93.5%), high rate of parental consanguinity (78.9%) as well as a more severe course. 71.42% of those on long term D-penicillamine improved or were stable during the follow up with severe side effects occurring in only 11.5%. Preemptive treatment with zinc monotherapy was an effective non-toxic alternative to D-penicillamine. Homozygous mutations were found in 85.7%, yet limited by the large number of mutations detected, it was difficult to find genotype-phenotype correlations. Missense mutations were the most common while protein-truncating mutations resulted in a more severe course with higher incidence of acute liver failure and neurological symptoms.

CONCLUSIONS

Egyptian children with Wilson disease present with early Kayser-Fleischer rings and early onset of liver and neurological disease. The mutational spectrum identified differs from that observed in other countries. The high rate of homozygous mutations (reflecting the high rate of consanguinity) may potentially offer further insights on genotype-phenotype correlation.

摘要

背景

在埃及,威尔逊病似乎诊断不足,关于大样本的临床数据有限。本研究旨在强调该病在儿科人群中的临床、实验室和遗传特征,并报告我们在治疗选择和结果方面的经验。

方法

该研究纳入了 50 个无关家族的 77 名患者(62 名患者接受了平均 58.9±6.4 个月的随访,27 名无症状的兄弟姐妹)。通过记录分析和患者访谈对数据进行回顾性收集。64 名患者通过 ATP7B 基因测序确诊。

结果

与其他人群相比,我们的患者具有独特的特征。他们的发病年龄更小(中位数:10 岁),有更高的凯氏环(97.6%在有症状的患者中)、低铜蓝蛋白(93.5%)、高父母近亲结婚率(78.9%)以及更严重的病程。71.42%的长期使用 D-青霉胺治疗的患者在随访中得到改善或稳定,只有 11.5%出现严重副作用。锌单药的预防性治疗是 D-青霉胺的有效无毒替代方案。发现 85.7%的患者存在纯合突变,但由于检测到的突变数量众多,难以找到基因型-表型相关性。错义突变最为常见,而截断蛋白突变导致更严重的病程,急性肝衰竭和神经症状的发生率更高。

结论

埃及儿童的威尔逊病表现为早期凯氏环和早期肝脏及神经系统疾病。确定的突变谱与其他国家观察到的不同。高比例的纯合突变(反映了近亲结婚率高)可能进一步深入了解基因型-表型相关性。

https://cdn.ncbi.nlm.nih.gov/pmc/blobs/6c60/3132721/78cbbd0799d8/1471-2431-11-56-1.jpg

文献检索

告别复杂PubMed语法,用中文像聊天一样搜索,搜遍4000万医学文献。AI智能推荐,让科研检索更轻松。

立即免费搜索

文件翻译

保留排版,准确专业,支持PDF/Word/PPT等文件格式,支持 12+语言互译。

免费翻译文档

深度研究

AI帮你快速写综述,25分钟生成高质量综述,智能提取关键信息,辅助科研写作。

立即免费体验