• 文献检索
  • 文档翻译
  • 深度研究
  • 学术资讯
  • Suppr Zotero 插件Zotero 插件
  • 邀请有礼
  • 套餐&价格
  • 历史记录
应用&插件
Suppr Zotero 插件Zotero 插件浏览器插件Mac 客户端Windows 客户端微信小程序
定价
高级版会员购买积分包购买API积分包
服务
文献检索文档翻译深度研究API 文档MCP 服务
关于我们
关于 Suppr公司介绍联系我们用户协议隐私条款
关注我们

Suppr 超能文献

核心技术专利:CN118964589B侵权必究
粤ICP备2023148730 号-1Suppr @ 2026

文献检索

告别复杂PubMed语法,用中文像聊天一样搜索,搜遍4000万医学文献。AI智能推荐,让科研检索更轻松。

立即免费搜索

文件翻译

保留排版,准确专业,支持PDF/Word/PPT等文件格式,支持 12+语言互译。

免费翻译文档

深度研究

AI帮你快速写综述,25分钟生成高质量综述,智能提取关键信息,辅助科研写作。

立即免费体验

心肌梗死后的肾功能仍对预后有超过 10 年的预测价值。

Renal function at the time of a myocardial infarction maintains prognostic value for more than 10 years.

机构信息

Dept. of Cardiology, Rigshospitalet, Copenhagen University Hospital, Denmark.

出版信息

BMC Cardiovasc Disord. 2011 Jun 27;11:37. doi: 10.1186/1471-2261-11-37.

DOI:10.1186/1471-2261-11-37
PMID:21708030
原文链接:https://pmc.ncbi.nlm.nih.gov/articles/PMC3141759/
Abstract

BACKGROUND

Renal function is an important predictor of mortality in patients with myocardial infarction (MI), but changes in the impact over time have not been well described.We examined the importance of renal function by estimated GFR (eGFR) and se-creatinine as an independent long-term prognostic factor.

METHODS

Prospective follow-up of 6653 consecutive MI patients screened for entry in the Trandolapril Cardiac Evaluation (TRACE) study. The patients were analysed by Kaplan-Meier survival analysis, landmark analysis and Cox proportional hazard models. Outcome measure was all-cause mortality.

RESULTS

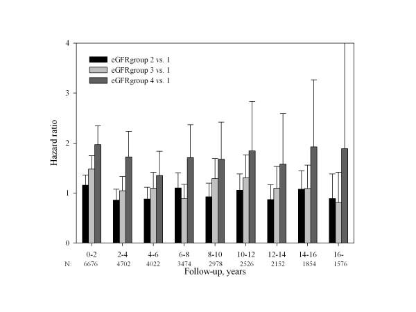
An eGFR below 60 ml per minute per 1.73 m2, consistent with chronic renal disease, was present in 42% of the patients. We divided the patients into 4 groups according to eGFR. Overall, Cox proportional-hazards models showed that eGFR was a significant prognostic factor in the two groups with the lowest eGFR, hazard ratio 1,72 (confidence interval (CI) 1,56-1,91) in the group with the lowest eGFR. Using the eGFR group with normal renal function as reference, we observed an incremental rise in hazard ratio. We divided the follow-up period in 2-year intervals. Landmark analysis showed that eGFR at the time of screening continued to show prognostic effect until 16 years of follow-up. By multivariable Cox regression analysis, the prognostic effect of eGFR persisted for 12 years and of se-creatinine for 10 years. When comparing the lowest group of eGFR with the group with normal eGFR, prognostic significance was present in the entire period of follow-up with a hazard ratio between 1,97 (CI 1,65-2,35) and 1,35 (CI 0,99-1,84) in the 2-year periods.

CONCLUSIONS

One estimate of renal function is a strong and independent long-term prognostic factor for 10-12 years following a MI.

摘要

背景

肾功能是心肌梗死(MI)患者死亡的重要预测因素,但随着时间的推移,其影响的变化尚未得到很好的描述。我们通过估计肾小球滤过率(eGFR)和血清肌酐来检查肾功能作为独立的长期预后因素的重要性。

方法

对接受特兰洛尔心脏评估(TRACE)研究入选的 6653 例连续 MI 患者进行前瞻性随访。通过 Kaplan-Meier 生存分析、 landmark 分析和 Cox 比例风险模型对患者进行分析。结局指标为全因死亡率。

结果

60 ml/min/1.73 m2 以下的 eGFR,符合慢性肾脏病,存在于 42%的患者中。我们根据 eGFR 将患者分为 4 组。总体而言,Cox 比例风险模型显示 eGFR 在 eGFR 最低的两组中是一个显著的预后因素,eGFR 最低组的危险比为 1.72(置信区间(CI)为 1.56-1.91)。以肾功能正常的 eGFR 组为参考,我们观察到危险比逐渐升高。我们将随访期分为 2 年间隔。landmark 分析显示,筛选时的 eGFR 一直到 16 年的随访仍显示出预后效果。通过多变量 Cox 回归分析,eGFR 的预后效应持续 12 年,血清肌酐的预后效应持续 10 年。当将 eGFR 的最低组与 eGFR 正常组进行比较时,在整个随访期间均存在预后意义,危险比在 1.97(CI 1.65-2.35)和 1.35(CI 0.99-1.84)之间。

结论

MI 后 10-12 年,肾功能的一个估计值是一个强有力的独立长期预后因素。

https://cdn.ncbi.nlm.nih.gov/pmc/blobs/b08a/3141759/5d46f34270b7/1471-2261-11-37-3.jpg
https://cdn.ncbi.nlm.nih.gov/pmc/blobs/b08a/3141759/ac9958c4ea8c/1471-2261-11-37-1.jpg
https://cdn.ncbi.nlm.nih.gov/pmc/blobs/b08a/3141759/3ac5445721c0/1471-2261-11-37-2.jpg
https://cdn.ncbi.nlm.nih.gov/pmc/blobs/b08a/3141759/5d46f34270b7/1471-2261-11-37-3.jpg
https://cdn.ncbi.nlm.nih.gov/pmc/blobs/b08a/3141759/ac9958c4ea8c/1471-2261-11-37-1.jpg
https://cdn.ncbi.nlm.nih.gov/pmc/blobs/b08a/3141759/3ac5445721c0/1471-2261-11-37-2.jpg
https://cdn.ncbi.nlm.nih.gov/pmc/blobs/b08a/3141759/5d46f34270b7/1471-2261-11-37-3.jpg

相似文献

1
Renal function at the time of a myocardial infarction maintains prognostic value for more than 10 years.心肌梗死后的肾功能仍对预后有超过 10 年的预测价值。
BMC Cardiovasc Disord. 2011 Jun 27;11:37. doi: 10.1186/1471-2261-11-37.
2
Diabetes is an independent predictor of survival 17 years after myocardial infarction: follow-up of the TRACE registry.糖尿病是心肌梗死后 17 年生存的独立预测因子:TRACE 注册研究的随访。
Cardiovasc Diabetol. 2010 Jun 2;9:22. doi: 10.1186/1475-2840-9-22.
3
Dipstick proteinuria as a surrogate marker of long-term mortality after acute myocardial infarction.尿试纸蛋白尿作为急性心肌梗死后长期死亡率的替代标志物。
J Cardiol. 2013 Nov;62(5):277-82. doi: 10.1016/j.jjcc.2013.05.002. Epub 2013 Jun 24.
4
Kidney Function as Risk Factor and Predictor of Cardiovascular Outcomes and Mortality Among Older Adults.老年人肾功能作为心血管结局和死亡率的危险因素和预测因素。
Am J Kidney Dis. 2021 Mar;77(3):386-396.e1. doi: 10.1053/j.ajkd.2020.09.015. Epub 2020 Nov 14.
5
GFR and cardiovascular outcomes after acute myocardial infarction: results from the Korea Acute Myocardial Infarction Registry.急性心肌梗死后的肾小球滤过率与心血管结局:来自韩国急性心肌梗死注册研究的结果。
Am J Kidney Dis. 2012 Jun;59(6):795-802. doi: 10.1053/j.ajkd.2012.01.016. Epub 2012 Mar 23.
6
Declining renal function after myocardial infarction predicts poorer long-term outcome.心肌梗死后肾功能下降预示着较差的长期预后。
Eur J Cardiovasc Prev Rehabil. 2010 Apr;17(2):181-6. doi: 10.1097/HJR.0b013e328332d48b.
7
Mild chronic kidney disease is an independent predictor of long-term mortality after emergency angiography and primary percutaneous intervention in patients with ST-elevation myocardial infarction.轻度慢性肾脏病是 ST 段抬高型心肌梗死患者急诊血管造影和直接经皮冠状动脉介入治疗后长期死亡的独立预测因素。
Heart. 2012 Jan;98(1):42-7. doi: 10.1136/heartjnl-2011-300024. Epub 2011 Aug 31.
8
Renal dysfunction in acute stroke: an independent predictor of long-term all combined vascular events and overall mortality.急性卒中中的肾功能障碍:长期所有合并血管事件和总体死亡率的独立预测因素。
Nephrol Dial Transplant. 2009 Jan;24(1):194-200. doi: 10.1093/ndt/gfn471. Epub 2008 Aug 26.
9
Examining the impact of renal dysfunction and diabetes on post-myocardial infarction mortality: insights from a comprehensive retrospective cohort study across different age groups.探讨肾功能障碍和糖尿病对心肌梗死后死亡率的影响:来自不同年龄组综合回顾性队列研究的见解。
Scand Cardiovasc J. 2024 Dec;58(1):2395875. doi: 10.1080/14017431.2024.2395875. Epub 2024 Aug 28.
10
Routinely measured iohexol glomerular filtration rate versus creatinine-based estimated glomerular filtration rate as predictors of mortality in patients with advanced chronic kidney disease: a Swedish Chronic Kidney Disease Registry cohort study.以碘海醇肾小球滤过率与基于肌酐的估计肾小球滤过率作为晚期慢性肾脏病患者死亡率的预测指标:一项瑞典慢性肾脏病登记队列研究
Nephrol Dial Transplant. 2017 Apr 1;32(suppl_2):ii170-ii179. doi: 10.1093/ndt/gfw457.

引用本文的文献

1
What Are the Causes of Death among Patients Admitted to a Contemporary Tertiary-Level Cardiology Department? An Analysis of 10 Years of Morbidity and Mortality Meetings.当代三级心脏病科收治患者的死因是什么?对十年发病率和死亡率会议的分析。
Pathophysiology. 2023 Sep 30;30(4):467-479. doi: 10.3390/pathophysiology30040034.
2
Impact of Comorbid Disease Burden on Clinical Outcomes of Female Acute Myocardial Infarction Patients.合并疾病负担对女性急性心肌梗死患者临床结局的影响。
Chonnam Med J. 2023 Jan;59(1):61-69. doi: 10.4068/cmj.2023.59.1.61. Epub 2023 Jan 25.
3
The dose-response association between estimated glomerular filtration rate and prognosis of patients with ST-segment elevation myocardial infarction from rural areas of China's Liaoning province.

本文引用的文献

1
The prognostic importance of worsening renal function during an acute myocardial infarction on long-term mortality.急性心肌梗死后肾功能恶化对长期死亡率的预后意义。
Am Heart J. 2010 Dec;160(6):1065-71. doi: 10.1016/j.ahj.2010.08.007.
2
Effect of kidney disease on acute coronary syndrome.肾脏疾病对急性冠状动脉综合征的影响。
Clin J Am Soc Nephrol. 2010 Aug;5(8):1530-6. doi: 10.2215/CJN.01260210. Epub 2010 Jun 24.
3
Cockcroft-Gault is better than the Modification of Diet in Renal Disease study formula at predicting outcome after a myocardial infarction: data from the Swedish Web-system for Enhancement and Development of Evidence-based care in Heart disease Evaluated According to Recommended Therapies (SWEDEHEART).
中国辽宁省农村地区ST段抬高型心肌梗死患者的估算肾小球滤过率与预后之间的剂量反应关系。
Medicine (Baltimore). 2017 Dec;96(52):e9508. doi: 10.1097/MD.0000000000009508.
4
The Seattle Post Myocardial Infarction Model (SPIM): prediction of mortality after acute myocardial infarction with left ventricular dysfunction.西雅图心肌梗死模型(SPIM):急性心肌梗死合并左心室功能障碍患者死亡率的预测
Eur Heart J Acute Cardiovasc Care. 2014 Mar;3(1):46-55. doi: 10.1177/2048872613502283. Epub 2013 Sep 11.
克多罗夫-加特公式比肾脏疾病饮食修正公式更能预测心肌梗死后的预后:来自瑞典基于推荐治疗的心脏病评估的证据增强和开发网络系统(SWEDEHEART)的数据。
Am Heart J. 2010 Jun;159(6):979-86. doi: 10.1016/j.ahj.2010.03.028.
4
Relation between renal function, presentation, use of therapies and in-hospital complications in acute coronary syndrome: data from the SWEDEHEART register.急性冠状动脉综合征患者肾功能、临床表现、治疗方法的使用与住院并发症的关系:来自 SWEDEHEART 注册登记研究的数据。
J Intern Med. 2010 Jul;268(1):40-9. doi: 10.1111/j.1365-2796.2009.02204.x. Epub 2009 Dec 3.
5
Influence of renal function on the effects of early revascularization in non-ST-elevation myocardial infarction: data from the Swedish Web-System for Enhancement and Development of Evidence-Based Care in Heart Disease Evaluated According to Recommended Therapies (SWEDEHEART).肾功能对非ST段抬高型心肌梗死早期血运重建效果的影响:来自瑞典心脏病循证护理强化与发展网络系统(SWEDEHEART)的数据,该系统根据推荐疗法进行评估
Circulation. 2009 Sep 8;120(10):851-8. doi: 10.1161/CIRCULATIONAHA.108.838169. Epub 2009 Aug 24.
6
Improvements in long-term mortality after myocardial infarction and increased use of cardiovascular drugs after discharge: a 10-year trend analysis.心肌梗死后长期死亡率的改善及出院后心血管药物使用的增加:一项10年趋势分析。
J Am Coll Cardiol. 2008 Apr 1;51(13):1247-54. doi: 10.1016/j.jacc.2007.10.063.
7
Comparison of renal function and cardiovascular risk following acute myocardial infarction in patients with and without diabetes mellitus.糖尿病患者与非糖尿病患者急性心肌梗死后肾功能与心血管风险的比较。
Am J Cardiol. 2008 Apr 1;101(7):925-9. doi: 10.1016/j.amjcard.2007.11.037.
8
Prediction of risk of death and myocardial infarction in the six months after presentation with acute coronary syndrome: prospective multinational observational study (GRACE).急性冠状动脉综合征发病后六个月内死亡和心肌梗死风险的预测:前瞻性多国观察性研究(GRACE)
BMJ. 2006 Nov 25;333(7578):1091. doi: 10.1136/bmj.38985.646481.55. Epub 2006 Oct 10.
9
Renal function as a predictor of outcome in a broad spectrum of patients with heart failure.肾功能作为广泛心力衰竭患者预后的预测指标。
Circulation. 2006 Feb 7;113(5):671-8. doi: 10.1161/CIRCULATIONAHA.105.580506.
10
Chronic kidney disease, cardiovascular risk, and response to angiotensin-converting enzyme inhibition after myocardial infarction: the Survival And Ventricular Enlargement (SAVE) study.慢性肾脏病、心血管风险与心肌梗死后对血管紧张素转换酶抑制的反应:生存与心室扩大(SAVE)研究
Circulation. 2004 Dec 14;110(24):3667-73. doi: 10.1161/01.CIR.0000149806.01354.BF. Epub 2004 Nov 29.