• 文献检索
  • 文档翻译
  • 深度研究
  • 学术资讯
  • Suppr Zotero 插件Zotero 插件
  • 邀请有礼
  • 套餐&价格
  • 历史记录
应用&插件
Suppr Zotero 插件Zotero 插件浏览器插件Mac 客户端Windows 客户端微信小程序
定价
高级版会员购买积分包购买API积分包
服务
文献检索文档翻译深度研究API 文档MCP 服务
关于我们
关于 Suppr公司介绍联系我们用户协议隐私条款
关注我们

Suppr 超能文献

核心技术专利:CN118964589B侵权必究
粤ICP备2023148730 号-1Suppr @ 2026

文献检索

告别复杂PubMed语法,用中文像聊天一样搜索,搜遍4000万医学文献。AI智能推荐,让科研检索更轻松。

立即免费搜索

文件翻译

保留排版,准确专业,支持PDF/Word/PPT等文件格式,支持 12+语言互译。

免费翻译文档

深度研究

AI帮你快速写综述,25分钟生成高质量综述,智能提取关键信息,辅助科研写作。

立即免费体验

野生大西洋鲑先前的栖息地优势:栖息地质量的影响。

Prior residency advantage for Atlantic salmon in the wild: effects of habitat quality.

作者信息

Kvingedal Eli, Einum Sigurd

出版信息

Behav Ecol Sociobiol. 2011 Jun;65(6):1295-1303. doi: 10.1007/s00265-011-1143-0. Epub 2011 Jan 21.

DOI:10.1007/s00265-011-1143-0
PMID:21743769
原文链接:https://pmc.ncbi.nlm.nih.gov/articles/PMC3096765/
Abstract

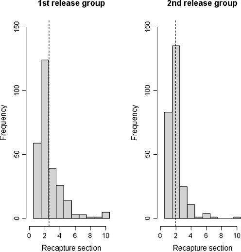
Prior residency advantages have been explained by an asymmetry between the 'owner' and the 'intruder' in fighting ability (resource-holding potential) or motivation (value asymmetry (VA)). Here, we tested for the extent of prior residence effects in individually tagged Atlantic salmon juveniles being released in two bouts (4 days apart) during spring along a natural stream, and recaptured 3 months later. A prior residency advantage was detected both in terms of body growth, energy density and male gonad size. As we controlled for effects of initial body size, which correlates with dominance, these findings are in accordance with the VA hypothesis. The growth advantage of first arrivals also increased with local shelter abundance in the stream, which can be expected if a higher resource value of the habitat results in a higher defence motivation. We also found a prior residence effect on spatial distribution, with the second arrivals within each release site being recaptured further downstream. No effect on apparent survival rates was found. The observed reduced growth and energy density may have fitness consequences for the second arrivals, both in terms of lower winter survival rates and later age at maturity. For mature male parr, both decreased body and gonad growth may give an additional disadvantage through reduced fertilization rates during breeding. These costs may help to explain the tendency for stationary behaviour of stream salmonids, as the potential benefits of moving into less crowded areas would be reduced by the risk of becoming an intruder. Prior residence effects may therefore have influenced the evolution of movement behaviour in these organisms.

摘要

先前的定居优势可以通过“主人”和“入侵者”在战斗能力(资源占有潜力)或动机(价值不对称(VA))方面的不对称来解释。在此,我们测试了在春季沿着一条天然溪流分两批(间隔4天)放流的个体标记大西洋鲑幼鱼中,先前定居效应的程度,并在3个月后重新捕获它们。在身体生长、能量密度和雄性性腺大小方面均检测到了先前定居优势。由于我们控制了与优势相关的初始体型的影响,这些发现符合VA假说。首批到达者的生长优势也随着溪流中当地庇护所的丰富程度而增加,如果栖息地更高的资源价值导致更高的防御动机,这是可以预期的。我们还发现了先前定居对空间分布的影响,每个放流地点的第二批到达者在更下游的位置被重新捕获。未发现对表观存活率有影响。观察到的生长和能量密度降低可能会对第二批到达者的适合度产生影响,无论是较低的冬季存活率还是较晚的成熟年龄。对于成熟的雄性幼鲑,身体和性腺生长的降低可能会在繁殖期间通过降低受精率而带来额外的不利影响。这些代价可能有助于解释溪流鲑科鱼类的静止行为倾向,因为进入不太拥挤区域的潜在好处会因成为入侵者的风险而降低。因此,先前定居效应可能影响了这些生物运动行为的进化。

https://cdn.ncbi.nlm.nih.gov/pmc/blobs/efde/3096765/f7e59ba34f9d/265_2011_1143_Fig2_HTML.jpg
https://cdn.ncbi.nlm.nih.gov/pmc/blobs/efde/3096765/d60f54b9c356/265_2011_1143_Fig1_HTML.jpg
https://cdn.ncbi.nlm.nih.gov/pmc/blobs/efde/3096765/f7e59ba34f9d/265_2011_1143_Fig2_HTML.jpg
https://cdn.ncbi.nlm.nih.gov/pmc/blobs/efde/3096765/d60f54b9c356/265_2011_1143_Fig1_HTML.jpg
https://cdn.ncbi.nlm.nih.gov/pmc/blobs/efde/3096765/f7e59ba34f9d/265_2011_1143_Fig2_HTML.jpg

相似文献

1
Prior residency advantage for Atlantic salmon in the wild: effects of habitat quality.野生大西洋鲑先前的栖息地优势:栖息地质量的影响。
Behav Ecol Sociobiol. 2011 Jun;65(6):1295-1303. doi: 10.1007/s00265-011-1143-0. Epub 2011 Jan 21.
2
Selection against late emergence and small offspring in Atlantic salmon (Salmo salar).对大西洋鲑(Salmo salar)晚期出苗和幼体较小的选择淘汰。
Evolution. 2000 Apr;54(2):628-39. doi: 10.1111/j.0014-3820.2000.tb00064.x.
3
Nest distribution shaping within-stream variation in Atlantic salmon juvenile abundance and competition over small spatial scales.大西洋鲑幼鱼数量的河道内变化及小空间尺度上的竞争对巢穴分布形成的影响
J Anim Ecol. 2008 Jan;77(1):167-72. doi: 10.1111/j.1365-2656.2007.01326.x. Epub 2007 Nov 13.
4
Hydraulic modelling of the spatial and temporal variability in Atlantic salmon parr habitat availability in an upland stream.山区溪流中大西洋鲑幼鱼生境可利用性时空变异性的水力学模拟。
Sci Total Environ. 2017 Dec 1;601-602:1046-1059. doi: 10.1016/j.scitotenv.2017.05.112. Epub 2017 Jun 9.
5
Implications for introgression: has selection for fast growth altered the size threshold for precocious male maturation in domesticated Atlantic salmon?基因渐渗的影响:快速生长的选择是否改变了养殖大西洋鲑鱼雄性早熟的大小阈值?
BMC Evol Biol. 2018 Dec 18;18(1):188. doi: 10.1186/s12862-018-1294-y.
6
The effects of shelter quality and prior residence on marmorkrebs (marbled crayfish).庇护质量和先前居住环境对大理石蟹(彩石蟹)的影响。
J Exp Biol. 2019 Mar 18;222(Pt 6):jeb197301. doi: 10.1242/jeb.197301.
7
Farmed Atlantic salmon Salmo salar L. parr may reduce early survival of wild fish.养殖的大西洋鲑鱼(Salmo salar L.)幼鱼可能会降低野生鱼类的早期存活率。
J Fish Biol. 2015 Jun;86(6):1699-712. doi: 10.1111/jfb.12677. Epub 2015 May 1.
8
Effect of environmental enrichment upon resource holding power in fish in prior residence situations.环境富集对先前居住环境中鱼类资源占有能力的影响。
Behav Processes. 2000 Apr 3;49(2):77-83. doi: 10.1016/s0376-6357(00)00078-4.
9
A critical review of adaptive genetic variation in Atlantic salmon: implications for conservation.对大西洋鲑鱼适应性遗传变异的批判性综述:对保护的启示
Biol Rev Camb Philos Soc. 2007 May;82(2):173-211. doi: 10.1111/j.1469-185X.2006.00004.x.
10
Competitive interactions shape offspring performance in relation to seasonal timing of emergence in Atlantic salmon.竞争相互作用塑造了幼鱼的表现,与大西洋鲑鱼出现的季节性时机有关。
J Anim Ecol. 2011 Mar;80(2):365-74. doi: 10.1111/j.1365-2656.2010.01783.x. Epub 2010 Dec 14.

引用本文的文献

1
Environmental temperature during early life affects the personality of mosquitofish in adulthood.幼年时期的环境温度会影响成年食蚊鱼的性格。
Curr Zool. 2021 Jan 20;67(5):481-488. doi: 10.1093/cz/zoab003. eCollection 2021 Oct.
2
Hatching time and alevin growth prior to the onset of exogenous feeding in farmed, wild and hybrid Norwegian Atlantic salmon.养殖、野生和杂交挪威大西洋鲑鱼在开始外源摄食前的孵化时间和仔鱼生长情况。
PLoS One. 2014 Dec 1;9(12):e113697. doi: 10.1371/journal.pone.0113697. eCollection 2014.

本文引用的文献

1
Spatial distribution of limited resources and local density regulation in juvenile Atlantic salmon.幼年大西洋鲑有限资源的空间分布与局部密度调节
J Anim Ecol. 2009 Jan;78(1):226-35. doi: 10.1111/j.1365-2656.2008.01476.x. Epub 2008 Sep 19.
2
Multiple central-place territories in wild young-of-the-year Atlantic salmon Salmo salar.野生当年幼大西洋鲑(Salmo salar)中的多个中心地领域。
J Anim Ecol. 2008 May;77(3):448-57. doi: 10.1111/j.1365-2656.2008.01360.x. Epub 2008 Feb 1.
3
Nest distribution shaping within-stream variation in Atlantic salmon juvenile abundance and competition over small spatial scales.
大西洋鲑幼鱼数量的河道内变化及小空间尺度上的竞争对巢穴分布形成的影响
J Anim Ecol. 2008 Jan;77(1):167-72. doi: 10.1111/j.1365-2656.2007.01326.x. Epub 2007 Nov 13.
4
From hawks and doves to self-consistent games of territorial behavior.从鹰派和鸽派到具有自我一致性的领土行为博弈。
Am Nat. 2006 Jun;167(6):901-12. doi: 10.1086/504604. Epub 2006 May 10.
5
Predators select against high growth rates and risk-taking behaviour in domestic trout populations.捕食者会对养殖鳟鱼种群中的高生长率和冒险行为进行选择淘汰。
Proc Biol Sci. 2004 Nov 7;271(1554):2233-7. doi: 10.1098/rspb.2004.2861.
6
Evolution of intrinsic growth and energy acquisition rates. II. Trade-offs with vulnerability to predation in Menidia menidia.内在生长与能量获取率的演变。二、梅氏新鳉对捕食易感性的权衡
Evolution. 2001 Sep;55(9):1873-81. doi: 10.1111/j.0014-3820.2001.tb00836.x.
7
Effect of environmental enrichment upon resource holding power in fish in prior residence situations.环境富集对先前居住环境中鱼类资源占有能力的影响。
Behav Processes. 2000 Apr 3;49(2):77-83. doi: 10.1016/s0376-6357(00)00078-4.
8
Asymmetric territorial contests in the European robin: the role of settlement costs.欧洲知更鸟的不对称领地竞争:定居成本的作用。
Anim Behav. 1997 Jul;54(1):9-21. doi: 10.1006/anbe.1996.0383.
9
Assessment strategy and the evolution of fighting behaviour.评估策略与战斗行为的演变
J Theor Biol. 1974 Sep;47(1):223-43. doi: 10.1016/0022-5193(74)90111-8.
10
Early social status and the development of life-history strategies in Atlantic salmon.大西洋鲑鱼的早期社会地位与生活史策略的发展
Proc R Soc Lond B Biol Sci. 1989 Feb 22;236(1282):7-19. doi: 10.1098/rspb.1989.0009.