Suppr超能文献

从胭脂树中鉴定和表达一种新的类胡萝卜素裂解双加氧酶基因成员。

Identification and expression pattern of a new carotenoid cleavage dioxygenase gene member from Bixa orellana.

机构信息

Centro de Investigación Científica de Yucatán A.C. Calle 43 No. 130, Col. Chuburná de Hidalgo, 97200 Mérida, Yucatán, México.

出版信息

J Exp Bot. 2011 Nov;62(15):5385-95. doi: 10.1093/jxb/err201. Epub 2011 Aug 3.

Abstract

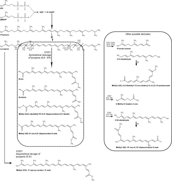
Carotenoid cleavage dioxygenases (CCDs) are a class of enzymes involved in the biosynthesis of a broad diversity of secondary metabolites known as apocarotenoids. In plants, CCDs are part of a genetic family with members which cleave specific double bonds of carotenoid molecules. CCDs are involved in the production of diverse and important metabolites such as vitamin A and abscisic acid (ABA). Bixa orellana L. is the main source of the natural pigment annatto or bixin, an apocarotenoid accumulated in large quantities in its seeds. Bixin biosynthesis has been studied and the involvement of a CCD has been confirmed in vitro. However, the CCD genes involved in the biosynthesis of the wide variety of apocarotenoids found in this plant have not been well documented. In this study, a new CCD1 gene member (BoCCD1) was identified and its expression was charaterized in different plant tissues of B. orellana plantlets and adult plants. The BoCCD1 sequence showed high homology with plant CCD1s involved mainly in the cleavage of carotenoids in several sites to generate multiple apocarotenoid products. Here, the expression profiles of the BoCCD1 gene were analysed and discussed in relation to total carotenoids and other important apocarotenoids such as bixin.

摘要

类胡萝卜素双加氧酶(CCDs)是一类参与广泛多样性次生代谢物生物合成的酶,这些次生代谢物被称为脱辅基类胡萝卜素。在植物中,CCDs 是一个具有特定成员的基因家族的一部分,这些成员可以切割类胡萝卜素分子的特定双键。CCDs 参与了多种重要代谢物的生成,如维生素 A 和脱落酸(ABA)。胭脂树是天然色素胭脂树橙或胭脂树红的主要来源,这种脱辅基类胡萝卜素在其种子中大量积累。已经对胭脂树橙的生物合成进行了研究,并在体外证实了 CCD 的参与。然而,在这种植物中发现的各种脱辅基类胡萝卜素的生物合成所涉及的 CCD 基因尚未得到很好的记录。在这项研究中,鉴定了一个新的 CCD1 基因成员(BoCCD1),并对其在 B. orellana 幼苗和成年植物不同组织中的表达进行了表征。BoCCD1 序列与植物 CCD1s 高度同源,主要参与在几个位点切割类胡萝卜素以生成多种脱辅基类胡萝卜素产物。在这里,分析了 BoCCD1 基因的表达谱,并与总类胡萝卜素和其他重要的脱辅基类胡萝卜素(如胭脂树红)进行了讨论。

https://cdn.ncbi.nlm.nih.gov/pmc/blobs/3e96/3223038/f33a0c0f7bb2/jexboterr201f01_3c.jpg

文献AI研究员

20分钟写一篇综述,助力文献阅读效率提升50倍。

立即体验

用中文搜PubMed

大模型驱动的PubMed中文搜索引擎

马上搜索

文档翻译

学术文献翻译模型,支持多种主流文档格式。

立即体验