• 文献检索
  • 文档翻译
  • 深度研究
  • 学术资讯
  • Suppr Zotero 插件Zotero 插件
  • 邀请有礼
  • 套餐&价格
  • 历史记录
应用&插件
Suppr Zotero 插件Zotero 插件浏览器插件Mac 客户端Windows 客户端微信小程序
定价
高级版会员购买积分包购买API积分包
服务
文献检索文档翻译深度研究API 文档MCP 服务
关于我们
关于 Suppr公司介绍联系我们用户协议隐私条款
关注我们

Suppr 超能文献

核心技术专利:CN118964589B侵权必究
粤ICP备2023148730 号-1Suppr @ 2026

文献检索

告别复杂PubMed语法,用中文像聊天一样搜索,搜遍4000万医学文献。AI智能推荐,让科研检索更轻松。

立即免费搜索

文件翻译

保留排版,准确专业,支持PDF/Word/PPT等文件格式,支持 12+语言互译。

免费翻译文档

深度研究

AI帮你快速写综述,25分钟生成高质量综述,智能提取关键信息,辅助科研写作。

立即免费体验

小鼠骨髓来源干细胞向小胶质细胞样细胞的分化。

Differentiation of mouse bone marrow derived stem cells toward microglia-like cells.

作者信息

Hinze Arnd, Stolzing Alexandra

机构信息

Fraunhofer Institute for Cell Therapy and Immunology (IZI), Perlickstrasse 1, 04103, Leipzig, Germany.

出版信息

BMC Cell Biol. 2011 Aug 19;12:35. doi: 10.1186/1471-2121-12-35.

DOI:10.1186/1471-2121-12-35
PMID:21854582
原文链接:https://pmc.ncbi.nlm.nih.gov/articles/PMC3175184/
Abstract

BACKGROUND

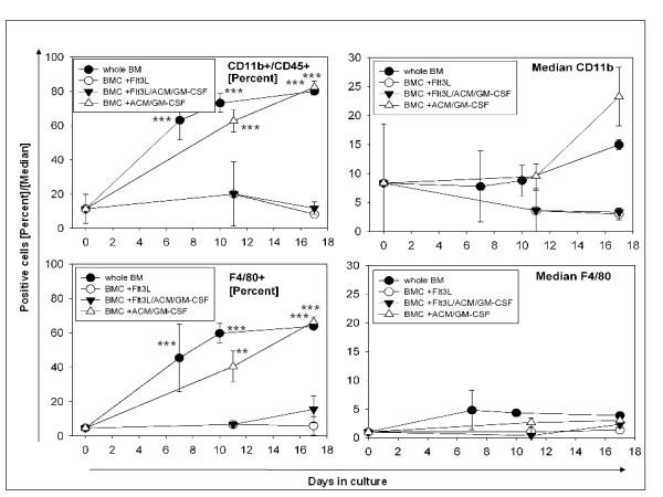
Microglia, the macrophages of the brain, have been implicated in the causes of neurodegenerative diseases and display a loss of function during aging. Throughout life, microglia are replenished by limited proliferation of resident microglial cells. Replenishment by bone marrow-derived progenitor cells is still under debate. In this context, we investigated the differentiation of mouse microglia from bone marrow (BM) stem cells. Furthermore, we looked at the effects of FMS-like tyrosine kinase 3 ligand (Flt3L), astrocyte-conditioned medium (ACM) and GM-CSF on the differentiation to microglia-like cells.

METHODS

We assessed in vitro-derived microglia differentiation by marker expression (CD11b/CD45, F4/80), but also for the first time for functional performance (phagocytosis, oxidative burst) and in situ migration into living brain tissue. Integration, survival and migration were assessed in organotypic brain slices.

RESULTS

The cells differentiated from mouse BM show function, markers and morphology of primary microglia and migrate into living brain tissue. Flt3L displays a negative effect on differentiation while GM-CSF enhances differentiation.

CONCLUSION

We conclude that in vitro-derived microglia are the phenotypic and functional equivalents to primary microglia and could be used in cell therapy.

摘要

背景

小胶质细胞作为大脑中的巨噬细胞,与神经退行性疾病的病因有关,并且在衰老过程中表现出功能丧失。在整个生命过程中,小胶质细胞通过驻留小胶质细胞的有限增殖得以补充。骨髓来源的祖细胞对小胶质细胞的补充作用仍存在争议。在此背景下,我们研究了小鼠小胶质细胞从骨髓(BM)干细胞的分化情况。此外,我们还观察了FMS样酪氨酸激酶3配体(Flt3L)、星形胶质细胞条件培养基(ACM)和粒细胞-巨噬细胞集落刺激因子(GM-CSF)对向小胶质样细胞分化的影响。

方法

我们通过标志物表达(CD11b/CD45、F4/80)评估体外诱导的小胶质细胞分化情况,同时首次评估其功能表现(吞噬作用、氧化爆发)以及在原位向活脑组织的迁移能力。在脑片培养模型中评估细胞的整合、存活和迁移情况。

结果

从小鼠骨髓分化而来的细胞表现出原代小胶质细胞的功能、标志物和形态,并能迁移到活脑组织中。Flt3L对分化有负面影响,而GM-CSF则增强分化。

结论

我们得出结论,体外诱导的小胶质细胞在表型和功能上等同于原代小胶质细胞,可用于细胞治疗。

https://cdn.ncbi.nlm.nih.gov/pmc/blobs/7fa5/3175184/4982b80c619d/1471-2121-12-35-6.jpg
https://cdn.ncbi.nlm.nih.gov/pmc/blobs/7fa5/3175184/4951e0f95367/1471-2121-12-35-1.jpg
https://cdn.ncbi.nlm.nih.gov/pmc/blobs/7fa5/3175184/bdb91fc5eb10/1471-2121-12-35-2.jpg
https://cdn.ncbi.nlm.nih.gov/pmc/blobs/7fa5/3175184/c795a86148b8/1471-2121-12-35-3.jpg
https://cdn.ncbi.nlm.nih.gov/pmc/blobs/7fa5/3175184/7268a245fcaf/1471-2121-12-35-4.jpg
https://cdn.ncbi.nlm.nih.gov/pmc/blobs/7fa5/3175184/23e3e6f49284/1471-2121-12-35-5.jpg
https://cdn.ncbi.nlm.nih.gov/pmc/blobs/7fa5/3175184/4982b80c619d/1471-2121-12-35-6.jpg
https://cdn.ncbi.nlm.nih.gov/pmc/blobs/7fa5/3175184/4951e0f95367/1471-2121-12-35-1.jpg
https://cdn.ncbi.nlm.nih.gov/pmc/blobs/7fa5/3175184/bdb91fc5eb10/1471-2121-12-35-2.jpg
https://cdn.ncbi.nlm.nih.gov/pmc/blobs/7fa5/3175184/c795a86148b8/1471-2121-12-35-3.jpg
https://cdn.ncbi.nlm.nih.gov/pmc/blobs/7fa5/3175184/7268a245fcaf/1471-2121-12-35-4.jpg
https://cdn.ncbi.nlm.nih.gov/pmc/blobs/7fa5/3175184/23e3e6f49284/1471-2121-12-35-5.jpg
https://cdn.ncbi.nlm.nih.gov/pmc/blobs/7fa5/3175184/4982b80c619d/1471-2121-12-35-6.jpg

相似文献

1
Differentiation of mouse bone marrow derived stem cells toward microglia-like cells.小鼠骨髓来源干细胞向小胶质细胞样细胞的分化。
BMC Cell Biol. 2011 Aug 19;12:35. doi: 10.1186/1471-2121-12-35.
2
Flt3+ macrophage precursors commit sequentially to osteoclasts, dendritic cells and microglia.Flt3+巨噬细胞前体依次分化为破骨细胞、树突状细胞和小胶质细胞。
BMC Immunol. 2002 Oct 24;3:15. doi: 10.1186/1471-2172-3-15.
3
VEGF induces neuroglial differentiation in bone marrow-derived stem cells and promotes microglia conversion following mobilization with GM-CSF.VEGF 诱导骨髓源性干细胞向神经胶质细胞分化,并在 GM-CSF 动员后促进小胶质细胞转化。
Stem Cell Rev Rep. 2012 Dec;8(4):1199-210. doi: 10.1007/s12015-012-9396-1.
4
Functional characterization of mouse granulocytes and macrophages produced in vitro from bone marrow progenitors stimulated with interleukin 3 (IL-3) or granulocyte-macrophage colony-stimulating factor (GM-CSF).用白细胞介素3(IL-3)或粒细胞-巨噬细胞集落刺激因子(GM-CSF)刺激骨髓祖细胞体外产生的小鼠粒细胞和巨噬细胞的功能特性。
Exp Hematol. 1992 Oct;20(9):1135-40.
5
Bone marrow-derived inducible microglia-like cells ameliorate motor function and survival in a mouse model of amyotrophic lateral sclerosis.骨髓来源的诱导型小胶质细胞样细胞改善肌萎缩侧索硬化症小鼠模型的运动功能和存活。
Cytotherapy. 2022 Aug;24(8):789-801. doi: 10.1016/j.jcyt.2022.02.001. Epub 2022 Apr 4.
6
In vitro induction of inhibitory macrophage differentiation by granulocyte-macrophage colony-stimulating factor, stem cell factor and interferon-gamma from lineage phenotypes-negative c-kit-positive murine hematopoietic progenitor cells.粒细胞-巨噬细胞集落刺激因子、干细胞因子和γ干扰素对源自谱系表型阴性、c-kit阳性小鼠造血祖细胞的抑制性巨噬细胞分化的体外诱导作用
Immunol Lett. 2004 Feb 15;91(2-3):221-7. doi: 10.1016/j.imlet.2003.12.008.
7
Brain dendritic cells and macrophages/microglia in central nervous system inflammation.中枢神经系统炎症中的脑树突状细胞和巨噬细胞/小胶质细胞
J Immunol. 2001 Feb 15;166(4):2717-26. doi: 10.4049/jimmunol.166.4.2717.
8
High yield primary microglial cultures using granulocyte macrophage-colony stimulating factor from embryonic murine cerebral cortical tissue.使用来自胚胎小鼠大脑皮质组织的粒细胞巨噬细胞集落刺激因子进行高产率原代小胶质细胞培养。
J Neuroimmunol. 2017 Jun 15;307:53-62. doi: 10.1016/j.jneuroim.2017.03.018. Epub 2017 Apr 4.
9
Are circulating monocytes as microglia orthologues appropriate biomarker targets for neuronal diseases?循环单核细胞作为小胶质细胞的直系同源物,是否是神经元疾病合适的生物标志物靶点?
Cent Nerv Syst Agents Med Chem. 2009 Dec;9(4):307-30. doi: 10.2174/187152409789630424.
10
Induction of macrophagic and granulocytic differentiation of murine bone marrow progenitor cells by 1,25-dihydroxyvitamin D3.1,25-二羟基维生素D3诱导小鼠骨髓祖细胞向巨噬细胞和粒细胞分化
Calcif Tissue Int. 1993 Sep;53(3):193-200. doi: 10.1007/BF01321837.

引用本文的文献

1
The Immunomodulatory Effect of Silver Nanoparticles in a Retinal Inflammatory Environment.银纳米颗粒在视网膜炎症环境中的免疫调节作用。
Inflammation. 2024 Aug 27. doi: 10.1007/s10753-024-02128-w.
2
Physiology of Cultured Human Microglia Maintained in a Defined Culture Medium.培养人小神经胶质细胞的生理学:在定义的培养基中培养。
Immunohorizons. 2021 Apr 30;5(4):257-272. doi: 10.4049/immunohorizons.2000101.
3
The human bone marrow harbors a CD45 CD11B cell progenitor permitting rapid microglia-like cell derivative approaches.人类骨髓中存在 CD45 CD11B 细胞祖细胞,可快速衍生出类似小胶质细胞的细胞。

本文引用的文献

1
CD11c-expressing cells reside in the juxtavascular parenchyma and extend processes into the glia limitans of the mouse nervous system.表达 CD11c 的细胞位于血管旁实质中,并向小鼠神经系统的胶质界延伸突起。
Acta Neuropathol. 2011 Apr;121(4):445-58. doi: 10.1007/s00401-010-0774-y. Epub 2010 Nov 13.
2
Fate mapping analysis reveals that adult microglia derive from primitive macrophages.命运图谱分析揭示,成年小胶质细胞源自原始巨噬细胞。
Science. 2010 Nov 5;330(6005):841-5. doi: 10.1126/science.1194637. Epub 2010 Oct 21.
3
Dual induction of TREM2 and tolerance-related transcript, Tmem176b, in amyloid transgenic mice: implications for vaccine-based therapies for Alzheimer's disease.
Stem Cells Transl Med. 2021 Apr;10(4):582-597. doi: 10.1002/sctm.20-0127. Epub 2020 Dec 9.
4
Transplantation of bone marrow derived macrophages reduces markers of neuropathology in an APP/PS1 mouse model.在APP/PS1小鼠模型中,移植骨髓来源的巨噬细胞可降低神经病理学标志物水平。
Transl Neurodegener. 2019 Oct 14;8:33. doi: 10.1186/s40035-019-0173-9. eCollection 2019.
5
Role of Bioactive Sphingolipids in Inflammation and Eye Diseases.生物活性神经鞘脂在炎症和眼病中的作用。
Adv Exp Med Biol. 2019;1161:149-167. doi: 10.1007/978-3-030-21735-8_14.
6
Molecular Mechanisms Mediating Diabetic Retinal Neurodegeneration: Potential Research Avenues and Therapeutic Targets.介导糖尿病性视网膜神经退行性变的分子机制:潜在的研究途径和治疗靶点。
J Mol Neurosci. 2018 Nov;66(3):445-461. doi: 10.1007/s12031-018-1188-x. Epub 2018 Oct 6.
7
An Overview of Methods to Study Microglia.小胶质细胞研究方法概述
Front Cell Neurosci. 2018 Aug 6;12:242. doi: 10.3389/fncel.2018.00242. eCollection 2018.
8
Loss of Angiotensin-Converting Enzyme 2 Exacerbates Diabetic Retinopathy by Promoting Bone Marrow Dysfunction.血管紧张素转换酶 2 的缺失通过促进骨髓功能障碍加重糖尿病视网膜病变。
Stem Cells. 2018 Sep;36(9):1430-1440. doi: 10.1002/stem.2848. Epub 2018 Jul 15.
9
Migration-based selections of antibodies that convert bone marrow into trafficking microglia-like cells that reduce brain amyloid β.基于迁移的抗体选择,将骨髓转化为具有迁移能力的小胶质细胞样细胞,从而减少大脑中的淀粉样 β 。
Proc Natl Acad Sci U S A. 2018 Jan 16;115(3):E372-E381. doi: 10.1073/pnas.1719259115. Epub 2018 Jan 2.
10
Role of microglia in embryonic neurogenesis.小胶质细胞在胚胎神经发生中的作用。
Exp Biol Med (Maywood). 2016 Sep;241(15):1669-75. doi: 10.1177/1535370216664430.
在淀粉样转基因小鼠中双重诱导 TREM2 和与耐受相关的转录本 Tmem176b:对阿尔茨海默病疫苗治疗的启示。
ASN Neuro. 2010 Jul 12;2(3):e00037. doi: 10.1042/AN20100010.
4
Activated microglial cells acquire an immature dendritic cell phenotype and may terminate the immune response in an acute model of EAE.活化的小胶质细胞获得未成熟树突状细胞表型,并可能在急性 EAE 模型中终止免疫反应。
J Neuroimmunol. 2010 Jun;223(1-2):39-54. doi: 10.1016/j.jneuroim.2010.03.021. Epub 2010 May 6.
5
Microglia transplantation attenuates white matter injury in rat chronic ischemia model via matrix metalloproteinase-2 inhibition.小胶质细胞移植通过基质金属蛋白酶-2 抑制减轻大鼠慢性缺血模型的白质损伤。
Brain Res. 2010 Feb 26;1316:145-52. doi: 10.1016/j.brainres.2009.12.043. Epub 2009 Dec 28.
6
Microglia and microglia-like cell differentiated from DC inhibit CD4 T cell proliferation.小胶质细胞和由 DC 分化而来的小胶质细胞样细胞可抑制 CD4 T 细胞的增殖。
PLoS One. 2009 Nov 17;4(11):e7869. doi: 10.1371/journal.pone.0007869.
7
Dystrophic (senescent) rather than activated microglial cells are associated with tau pathology and likely precede neurodegeneration in Alzheimer's disease.营养不良性(衰老性)而非活化的小胶质细胞与tau病理相关,且可能在阿尔茨海默病的神经退行性变之前出现。
Acta Neuropathol. 2009 Oct;118(4):475-85. doi: 10.1007/s00401-009-0556-6. Epub 2009 Jun 10.
8
Hematopoietic stem cells reduce postischemic inflammation and ameliorate ischemic brain injury.造血干细胞可减轻缺血后炎症反应并改善缺血性脑损伤。
Stroke. 2008 Oct;39(10):2867-75. doi: 10.1161/STROKEAHA.108.513978. Epub 2008 Jul 24.
9
Debris clearance by microglia: an essential link between degeneration and regeneration.小胶质细胞清除碎片:退变与再生之间的关键联系。
Brain. 2009 Feb;132(Pt 2):288-95. doi: 10.1093/brain/awn109. Epub 2008 Jun 20.
10
Effects of aging on neuroprotective and neurotoxic properties of microglia in neurodegenerative diseases.衰老对神经退行性疾病中小胶质细胞神经保护和神经毒性特性的影响。
Neurodegener Dis. 2008;5(3-4):254-6. doi: 10.1159/000113717. Epub 2008 Mar 6.