Suppr超能文献

运动训练对果糖诱导的肝脏脂肪堆积中脂肪生成和脂质分配分子标志物的影响。

Effects of exercise training on molecular markers of lipogenesis and lipid partitioning in fructose-induced liver fat accumulation.

作者信息

Yasari Siham, Prud'homme Denis, Tesson Frédérique, Jankowski Marek, Gutkowska Jolanta, Levy Emile, Lavoie Jean-Marc

机构信息

Department of Kinesiology, University of Montreal, C.P. 6128, Succursale Centre-Ville, Montréal , QC, Canada H3C 3J7.

出版信息

J Nutr Metab. 2012;2012:181687. doi: 10.1155/2012/181687. Epub 2011 Aug 10.

Abstract

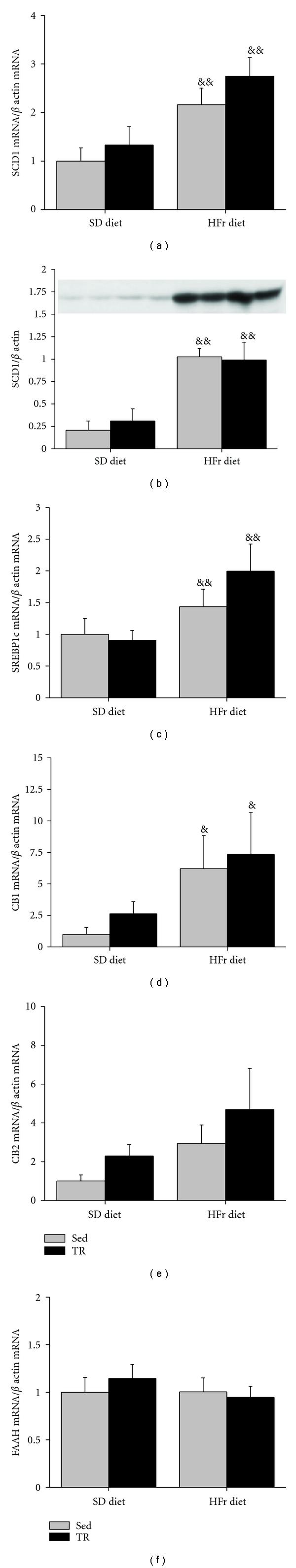
The present study was designed to investigate the impact of exercise training on lipogenic gene expression in liver and lipid partitioning following the ingestion of a high fructose load. Female rats were exercise-trained for 8 wk or kept sedentary before being submitted to a fasting/refeeding protocol. Rats were further subdivided as follow: rats were fasted for 24 h, refed a standard diet for 24 h, starved for another 24 h, and refed with a standard or a high-fructose diet 24 h before sacrifice. Fructose refeeding was associated with an increase in hepatic lipid content, endocannabinoid receptor 1, sterol regulatory element-binding protein1c, and stearoyl-CoA desaturase1 gene expression in both Sed and TR rats. However, desaturation indexes measured in liver (C16 : 1/C16 : 0 and C18 : 1/C18 : 0) and plasma (C18 : 1/C18 : 0) were higher (P < 0.01) in TR than in Sed rats following fructose refeeding. It is concluded that exercise training does not significantly affect fat accumulation and the molecular expression of genes involved in lipogenesis after fasting and fructose refeeding but does modify the partitioning of lipids so as to provide more unsaturated fatty acids in liver without affecting liver fat content.

摘要

本研究旨在探讨运动训练对摄入高果糖负荷后肝脏生脂基因表达和脂质分配的影响。雌性大鼠进行8周的运动训练或在接受禁食/再喂养方案之前保持 sedentary。大鼠进一步细分为以下几组:大鼠禁食24小时,再喂标准饮食24小时,再饥饿24小时,并在处死前24小时用标准或高果糖饮食再喂养。果糖再喂养与Sed和TR大鼠肝脏脂质含量、内源性大麻素受体1、固醇调节元件结合蛋白1c和硬脂酰辅酶A去饱和酶1基因表达增加有关。然而,果糖再喂养后,TR大鼠肝脏(C16 : 1/C16 : 0和C18 : 1/C18 : 0)和血浆(C18 : 1/C18 : 0)中测得的去饱和指数高于Sed大鼠(P < 0.01)。得出的结论是,运动训练对禁食和果糖再喂养后的脂肪积累和参与脂肪生成的基因的分子表达没有显著影响,但确实改变了脂质分配,以便在不影响肝脏脂肪含量的情况下在肝脏中提供更多不饱和脂肪酸。

https://cdn.ncbi.nlm.nih.gov/pmc/blobs/8e62/3155796/dc603c7cbcab/JNUME2012-181687.001.jpg

文献AI研究员

20分钟写一篇综述,助力文献阅读效率提升50倍。

立即体验

用中文搜PubMed

大模型驱动的PubMed中文搜索引擎

马上搜索

文档翻译

学术文献翻译模型,支持多种主流文档格式。

立即体验