• 文献检索
  • 文档翻译
  • 深度研究
  • 学术资讯
  • Suppr Zotero 插件Zotero 插件
  • 邀请有礼
  • 套餐&价格
  • 历史记录
应用&插件
Suppr Zotero 插件Zotero 插件浏览器插件Mac 客户端Windows 客户端微信小程序
定价
高级版会员购买积分包购买API积分包
服务
文献检索文档翻译深度研究API 文档MCP 服务
关于我们
关于 Suppr公司介绍联系我们用户协议隐私条款
关注我们

Suppr 超能文献

核心技术专利:CN118964589B侵权必究
粤ICP备2023148730 号-1Suppr @ 2026

文献检索

告别复杂PubMed语法,用中文像聊天一样搜索,搜遍4000万医学文献。AI智能推荐,让科研检索更轻松。

立即免费搜索

文件翻译

保留排版,准确专业,支持PDF/Word/PPT等文件格式,支持 12+语言互译。

免费翻译文档

深度研究

AI帮你快速写综述,25分钟生成高质量综述,智能提取关键信息,辅助科研写作。

立即免费体验

波士顿支具治疗晚发性青少年特发性脊柱侧凸的长期疗效

Long-term results after Boston brace treatment in late-onset juvenile and adolescent idiopathic scoliosis.

作者信息

Lange Johan Emil, Steen Harald, Gunderson Ragnhild, Brox Jens Ivar

机构信息

Orthopaedic and Radiological Department, Rikshospitalet, Oslo University Hospital, Norway.

出版信息

Scoliosis. 2011 Aug 31;6:18. doi: 10.1186/1748-7161-6-18.

DOI:10.1186/1748-7161-6-18
PMID:21880123
原文链接:https://pmc.ncbi.nlm.nih.gov/articles/PMC3189160/
Abstract

BACKGROUND

It is recommended that research in patients with idiopathic scoliosis should focus on short- and long-term patient-centred outcome. The aim of the present study was to evaluate outcome in patients with late-onset juvenile or adolescent idiopathic scoliosis 16 years or more after Boston brace treatment.

METHODS

272 (78%) of 360 patients, 251 (92%) women, responded to follow-up examination at a mean of 24.7 (range 16 - 32) years after Boston brace treatment. Fifty-eight (21%) patients had late-onset juvenile and 214 had adolescent idiopathic scoliosis. All patients had clinical and radiological examination and answered a standardised questionnaire including work status, demographics, General Function Score (GFS) (100 - worst possible) and Oswestry Disability Index (ODI) (100 - worst possible), EuroQol (EQ-5D) (1 - best possible), EQ-VAS (100 - best possible), and Scoliosis Research Society - 22 (SRS - 22) (5 - best possible).

RESULTS

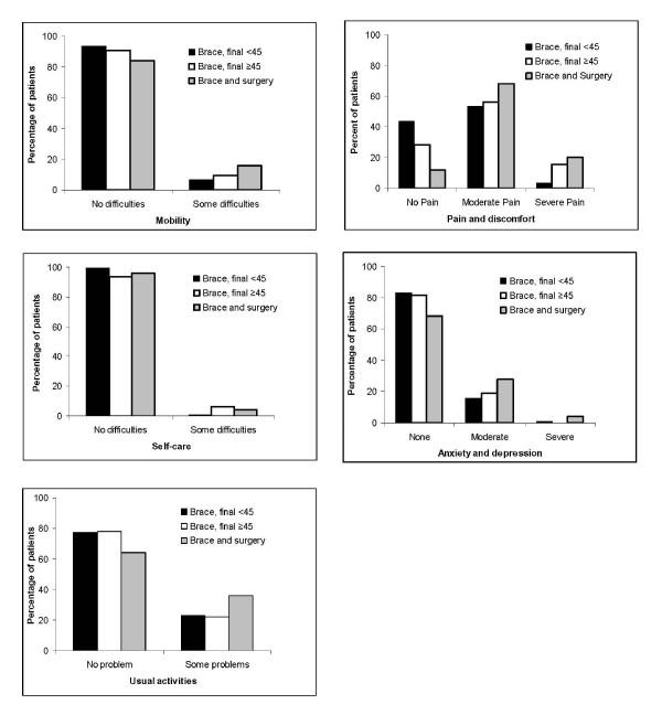
The mean age at follow-up was 40.4 (31-48) years. The prebrace major curve was in average 33.2 (20 - 57)°. At weaning and at the last follow-up the corresponding values were 28.3 (1 - 58)° and 32.5 (7 - 80)°, respectively. Curve development was similar in patients with late-onset juvenile and adolescent start. The prebrace curve increased > 5° in 31% and decreased > 5° in 26%. Twenty-five patients had surgery. Those who did not attend follow-up (n = 88) had a lower mean curve at weaning: 25.4 (6-53)°. Work status was 76% full-time and 10% part-time. Eighty-seven percent had delivered a baby, 50% had pain in pregnancy. The mean (SD) GFS was 7.4 (10.8), ODI 9.3 (11.0), EQ-5D 0.82 (0.2), EQ-VAS 77.6 (17.8), SRS-22: pain 4.1 (0.8), mental health 4.1 (0.6), self-image 3.7 (0.7), function 4.0 (0.6), satisfaction with treatment 3.7 (1.0). Surgical patients had significantly reduced scores for SRS-physical function and self-image, and patients with curves ≥ 45° had reduced self-image.

CONCLUSION

Long-term results were satisfactory in most braced patients and similar in late-onset juvenile and idiopathic adolescent scoliosis.

摘要

背景

建议针对特发性脊柱侧凸患者的研究应聚焦于以患者为中心的短期和长期结果。本研究的目的是评估接受波士顿支具治疗16年或更长时间后的晚发性青少年或青少年特发性脊柱侧凸患者的治疗结果。

方法

360例患者中有272例(78%),其中251例(92%)为女性,在接受波士顿支具治疗后平均24.7年(范围16 - 32年)接受了随访检查。58例(21%)患者为晚发性青少年特发性脊柱侧凸,214例为青少年特发性脊柱侧凸。所有患者均接受了临床和放射学检查,并回答了一份标准化问卷,包括工作状态、人口统计学信息、总体功能评分(GFS)(满分100分,分数越低越差)、奥斯威斯利残疾指数(ODI)(满分100分,分数越低越差)、欧洲五维度健康量表(EQ - 5D)(满分1分,分数越高越好)、EQ视觉模拟量表(EQ - VAS)(满分100分)以及脊柱侧凸研究学会-22项问卷(SRS - 22)(满分5分)。

结果

随访时的平均年龄为4 ~ 4(31 - 48)岁。支具治疗前主弯平均角度为33.2(20 - 57)°。在停用支具时和最后一次随访时,相应角度分别为28.3(1 - 58)°和32.5(7 - 80)°。晚发性青少年和青少年起病的患者曲线发展情况相似。支具治疗前曲线增加>5°的患者占31%,减少>5°的患者占26%。25例患者接受了手术。未参加随访者(n = 88)在停用支具时的平均曲线角度较低:25.4(6 - 53)°。工作状态为全职者占76%,兼职者占10%;87%的患者已生育,50%在孕期有疼痛。平均(标准差)GFS为7.4(10.8),ODI为9.3(11.0),EQ - 5D为0.82(0.2),EQ - VAS为77.6(17.8),SRS - 22:疼痛维度4.1(0.8),心理健康维度4.1(0.6),自我形象维度3.7(0.7),功能维度4.0(0.6),对治疗的满意度维度3.7(1.0)。接受手术的患者SRS身体功能和自我形象评分显著降低,曲线≥45°者自我形象评分降低。

结论

大多数接受支具治疗的患者长期结果令人满意,晚发性青少年特发性脊柱侧凸和青少年特发性脊柱侧凸结果相似。

https://cdn.ncbi.nlm.nih.gov/pmc/blobs/2878/3189160/a122a0cd7964/1748-7161-6-18-4.jpg
https://cdn.ncbi.nlm.nih.gov/pmc/blobs/2878/3189160/ac2f10b1f224/1748-7161-6-18-1.jpg
https://cdn.ncbi.nlm.nih.gov/pmc/blobs/2878/3189160/422aad6b182f/1748-7161-6-18-2.jpg
https://cdn.ncbi.nlm.nih.gov/pmc/blobs/2878/3189160/3e59d7aa5c75/1748-7161-6-18-3.jpg
https://cdn.ncbi.nlm.nih.gov/pmc/blobs/2878/3189160/a122a0cd7964/1748-7161-6-18-4.jpg
https://cdn.ncbi.nlm.nih.gov/pmc/blobs/2878/3189160/ac2f10b1f224/1748-7161-6-18-1.jpg
https://cdn.ncbi.nlm.nih.gov/pmc/blobs/2878/3189160/422aad6b182f/1748-7161-6-18-2.jpg
https://cdn.ncbi.nlm.nih.gov/pmc/blobs/2878/3189160/3e59d7aa5c75/1748-7161-6-18-3.jpg
https://cdn.ncbi.nlm.nih.gov/pmc/blobs/2878/3189160/a122a0cd7964/1748-7161-6-18-4.jpg

相似文献

1
Long-term results after Boston brace treatment in late-onset juvenile and adolescent idiopathic scoliosis.波士顿支具治疗晚发性青少年特发性脊柱侧凸的长期疗效
Scoliosis. 2011 Aug 31;6:18. doi: 10.1186/1748-7161-6-18.
2
Long-term results after Boston brace treatment in adolescent idiopathic scoliosis.波士顿支具治疗青少年特发性脊柱侧弯的长期疗效
Scoliosis. 2009 Aug 26;4:17. doi: 10.1186/1748-7161-4-17.
3
Long-term results after brace treatment with Progressive Action Short Brace in adolescent idiopathic scoliosis.青少年特发性脊柱侧凸采用渐进式短支具治疗后的长期疗效。
Eur J Phys Rehabil Med. 2021 Jun;57(3):406-413. doi: 10.23736/S1973-9087.20.06129-8. Epub 2020 Sep 29.
4
Heath-related quality of life and functional outcomes in patients with congenital or juvenile idiopathic scoliosis after an average follow-up of 25 years: a cohort study.先天性或青少年特发性脊柱侧凸患者平均随访 25 年后的健康相关生活质量和功能结局:一项队列研究。
Spine J. 2024 Mar;24(3):462-471. doi: 10.1016/j.spinee.2023.11.012. Epub 2023 Nov 28.
5
Comorbidity influenced health-related quality of life of 390 patients with idiopathic scoliosis at long-term follow-up.在长期随访中,共病影响了390例特发性脊柱侧凸患者的健康相关生活质量。
Eur J Phys Rehabil Med. 2014 Feb;50(1):73-81.
6
An Insight Into the Health-Related Quality of Life of Adolescent Idiopathic Scoliosis Patients Who Are Braced, Observed, and Previously Braced.青少年特发性脊柱侧凸支具治疗、观察和既往支具治疗患者的健康相关生活质量分析
Spine (Phila Pa 1976). 2019 May 15;44(10):E596-E605. doi: 10.1097/BRS.0000000000002918.
7
8
Health-Related Quality of Life in Adulthood in Untreated and Treated Individuals with Adolescent or Juvenile Idiopathic Scoliosis.成人未治疗和治疗的青少年特发性脊柱侧凸患者的健康相关生活质量。
J Bone Joint Surg Am. 2018 May 16;100(10):811-817. doi: 10.2106/JBJS.17.00822.
9
Curve Progression in Adolescent Idiopathic Scoliosis With a Minimum of 2 Years' Follow-up After Completed Brace Weaning With Reference to the SRS Standardized Criteria.参照SRS标准化标准,对完成支具停用后至少随访2年的青少年特发性脊柱侧弯患者的曲线进展情况进行研究。
Spine Deform. 2016 May;4(3):200-205. doi: 10.1016/j.jspd.2015.12.002. Epub 2016 Apr 16.
10
Predictors for long-term curve progression after Boston brace treatment of idiopathic scoliosis.Boston 支具治疗特发性脊柱侧凸后长期曲线进展的预测因素。
Eur J Phys Rehabil Med. 2021 Feb;57(1):101-109. doi: 10.23736/S1973-9087.20.06190-0. Epub 2020 Oct 5.

引用本文的文献

1
Surgical vs non-surgical management of adolescent idiopathic scoliosis: a 10-year narrative review of health-related quality of life and radiographic progression in 3315 patients.青少年特发性脊柱侧弯的手术与非手术治疗:对3315例患者健康相关生活质量和影像学进展的10年叙述性综述
Eur Spine J. 2025 Jun 18. doi: 10.1007/s00586-025-08991-x.
2
Curve progression in non-surgically treated patients with idiopathic scoliosis: a cohort study with 40-year follow-up.非手术治疗的特发性脊柱侧凸患者的曲线进展:一项长达40年随访的队列研究
Acta Orthop. 2025 Jan 20;96:110-115. doi: 10.2340/17453674.2024.42659.
3
From Rib Hump to Baby Hump-Common Questions of Patients Suffering from and Undergoing Treatment for Scoliosis-A Comprehensive Literature Review.

本文引用的文献

1
Design of the Bracing in Adolescent Idiopathic Scoliosis Trial (BrAIST).青少年特发性脊柱侧凸支具试验(BrAIST)的支具设计。
Spine (Phila Pa 1976). 2013 Oct 1;38(21):1832-41. doi: 10.1097/01.brs.0000435048.23726.3e.
2
Determination of quality of life in adolescents with idiopathic scoliosis subjected to conservative treatment.对接受保守治疗的特发性脊柱侧弯青少年的生活质量测定。
Scoliosis. 2010 Sep 28;5:21. doi: 10.1186/1748-7161-5-21.
3
Braces for idiopathic scoliosis in adolescents.青少年特发性脊柱侧凸的支具治疗。
从肋骨隆起到婴儿驼背——脊柱侧弯患者及其治疗中的常见问题——一项综合文献综述
J Clin Med. 2024 Jun 28;13(13):3814. doi: 10.3390/jcm13133814.
4
Adolescent Idiopathic Scoliosis and Pregnancy.青少年特发性脊柱侧弯与妊娠
Cureus. 2023 Oct 10;15(10):e46782. doi: 10.7759/cureus.46782. eCollection 2023 Oct.
5
The impact of pregnancy on women with adolescent idiopathic scoliosis: a scoping review.妊娠对青少年特发性脊柱侧凸女性的影响:范围综述。
Eur J Phys Rehabil Med. 2023 Aug;59(4):505-521. doi: 10.23736/S1973-9087.23.08086-3.
6
The natural history of curve behavior after brace removal in adolescent idiopathic scoliosis: a literature review.支具去除后青少年特发性脊柱侧凸曲度变化的自然史:文献复习。
Spine Deform. 2023 May;11(3):567-578. doi: 10.1007/s43390-022-00638-x. Epub 2023 Jan 30.
7
Bracing Interventions Can Help Adolescents with Idiopathic Scoliosis with Surgical Indication: A Systematic Review.支具干预对有手术指征的青少年特发性脊柱侧凸患者有益:一项系统评价。
Children (Basel). 2022 Oct 31;9(11):1672. doi: 10.3390/children9111672.
8
Short-Term Outcomes of the Boston Brace 3D Program Based on SRS and SOSORT Criteria: A Retrospective Study.基于SRS和SOSORT标准的波士顿 brace 3D 程序的短期结果:一项回顾性研究。
Children (Basel). 2022 Jun 7;9(6):842. doi: 10.3390/children9060842.
9
Exploration of Contributory Factors to an Unpleasant Bracing Experience of Adolescent Idiopathic Scoliosis Patients a Quantitative and Qualitative Research.青少年特发性脊柱侧凸患者不愉快支具佩戴体验的影响因素探究:一项定量与定性研究
Children (Basel). 2022 Apr 28;9(5):635. doi: 10.3390/children9050635.
10
Spinal mobility and muscle function in middle-aged patients treated for early onset idiopathic scoliosis: compared with untreated and treated adolescent onset patients.中年特发性脊柱侧凸早期治疗患者的脊柱活动度和肌肉功能:与未治疗和青少年特发性脊柱侧凸治疗患者的比较。
Spine Deform. 2022 Sep;10(5):1085-1095. doi: 10.1007/s43390-022-00487-8. Epub 2022 Mar 23.
Spine (Phila Pa 1976). 2010 Jun 1;35(13):1285-93. doi: 10.1097/BRS.0b013e3181dc48f4.
4
Repeatability, reliability, and concurrent validity of the scoliosis research society-22 questionnaire and EuroQol in patients with adolescent idiopathic scoliosis.青少年特发性脊柱侧凸患者的 SRS-22 问卷和 EuroQol 的可重复性、可靠性和并行效度。
Spine (Phila Pa 1976). 2010 Jan 15;35(2):206-9. doi: 10.1097/BRS.0b013e3181b43bdf.
5
Health-related quality of life in untreated versus brace-treated patients with adolescent idiopathic scoliosis: a long-term follow-up.未经治疗与支具治疗的青少年特发性脊柱侧凸患者的健康相关生活质量:长期随访。
Spine (Phila Pa 1976). 2010 Jan 15;35(2):199-205. doi: 10.1097/BRS.0b013e3181c89f4a.
6
Long-term results after Boston brace treatment in adolescent idiopathic scoliosis.波士顿支具治疗青少年特发性脊柱侧弯的长期疗效
Scoliosis. 2009 Aug 26;4:17. doi: 10.1186/1748-7161-4-17.
7
The effect of rigid versus flexible spinal orthosis on the clinical efficacy and acceptance of the patients with adolescent idiopathic scoliosis.刚性与柔性脊柱矫形器对青少年特发性脊柱侧凸患者临床疗效及接受度的影响。
Spine (Phila Pa 1976). 2008 May 20;33(12):1360-5. doi: 10.1097/BRS.0b013e31817329d9.
8
Adolescent idiopathic scoliosis.青少年特发性脊柱侧凸
Lancet. 2008 May 3;371(9623):1527-37. doi: 10.1016/S0140-6736(08)60658-3.
9
Bracing adolescent idiopathic scoliosis: a systematic review of the literature of effective conservative treatment looking for end results 5 years after weaning.青少年特发性脊柱侧凸的支具治疗:对有效保守治疗文献的系统评价,旨在探寻停止治疗5年后的最终结果
Disabil Rehabil. 2008;30(10):786-91. doi: 10.1080/09638280801889782.
10
A prospective study of brace treatment versus observation alone in adolescent idiopathic scoliosis: a follow-up mean of 16 years after maturity.青少年特发性脊柱侧弯支具治疗与单纯观察的前瞻性研究:成熟后平均16年的随访
Spine (Phila Pa 1976). 2007 Sep 15;32(20):2198-207. doi: 10.1097/BRS.0b013e31814b851f.