Suppr超能文献

IgA 肾病肾小管上皮细胞氧化损伤:血管紧张素 II 和醛固酮相互作用的作用。

Oxidative damages in tubular epithelial cells in IgA nephropathy: role of crosstalk between angiotensin II and aldosterone.

机构信息

Department of Medicine, Queen Mary Hospital, University of Hong Kong, Pokfulam, Hong Kong.

出版信息

J Transl Med. 2011 Oct 6;9:169. doi: 10.1186/1479-5876-9-169.

Abstract

BACKGROUND

Inhibition of the renin-angiotensin-aldosterone system (RAAS) slows down the progression of chronic renal diseases (CKD) including IgA nephropathy (IgAN). Herein, we studied the pathogenetic roles of aldosterone (Aldo) in IgAN.

METHODS

Human mesangial cells (HMC) was activated with polymeric IgA (pIgA) from IgAN patients and the effects on the expression of RAAS components and TGF-β synthesis examined. To study the roles of RAAS in the glomerulotubular communication, proximal tubular epithelial cells (PTEC) was cultured with conditioned medium from pIgA-activated HMC with eplerenone or PD123319, the associated apoptotic event was measured by the generation of nicotinamide adenine dinucleotide phosphate (NADPH) oxidase and reactive oxygen species (ROS).

RESULTS

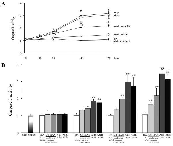
Polymeric IgA up-regulated the Aldo synthesis and aldosterone synthase expression by HMC. The release of TGF-β by HMC was up-regulated synergistically by AngII and Aldo and this was inhibited by incubation of HMC with losartan plus eplerenone. Cultured PTEC express the mineralocorticoid receptor, but not synthesizing aldosterone. Apoptosis, demonstrated by cleaved PARP expression and caspase 3 activity, was induced in PTEC activated by conditioned medium prepared from HMC cultured with pIgA from IgAN patients. This apoptotic event was associated with increased generation of NADPH oxidase and ROS. Pre-incubation of PTEC with PD123319 and eplerenone achieved complete inhibition of PTEC apoptosis.

CONCLUSIONS

Our data suggest that AngII and Aldo, released by pIgA activated HMC, served as mediators for inducing apoptosis of PTEC in glomerulo-tubular communications. Crosstalk between AngII and Aldo could participate in determining the tubular pathology of IgAN.

摘要

背景

抑制肾素-血管紧张素-醛固酮系统(RAAS)可减缓包括 IgA 肾病(IgAN)在内的慢性肾脏病(CKD)的进展。在此,我们研究了醛固酮(Aldo)在 IgAN 中的发病机制作用。

方法

用来自 IgAN 患者的聚合 IgA(pIgA)激活人肾小球系膜细胞(HMC),并检测 RAAS 成分的表达和 TGF-β 合成的变化。为了研究 RAAS 在肾小球-肾小管通讯中的作用,将条件培养基与 pIgA 激活的 HMC 一起培养,用依普利酮或 PD123319 处理近端肾小管上皮细胞(PTEC),通过烟酰胺腺嘌呤二核苷酸磷酸(NADPH)氧化酶和活性氧(ROS)的产生来测量相关的凋亡事件。

结果

多聚 IgA 可上调 HMC 的 Aldo 合成和醛固酮合酶表达。AngII 和 Aldo 协同上调 HMC 释放的 TGF-β,而用氯沙坦加依普利酮孵育 HMC 可抑制其释放。培养的 PTEC 表达矿物质皮质激素受体,但不合成 Aldo。用来自 IgAN 患者的 pIgA 培养的 HMC 制备的条件培养基激活的 PTEC 中,出现了 PARP 表达和 caspase 3 活性被切割的凋亡,这与 NADPH 氧化酶和 ROS 生成增加有关。用 PD123319 和依普利酮预孵育 PTEC 可完全抑制 PTEC 凋亡。

结论

我们的数据表明,pIgA 激活的 HMC 释放的 AngII 和 Aldo 可作为诱导肾小球-肾小管通讯中 PTEC 凋亡的介质。AngII 和 Aldo 之间的串扰可能参与决定 IgAN 的肾小管病理。

https://cdn.ncbi.nlm.nih.gov/pmc/blobs/aa53/3203061/c84022ea7d5b/1479-5876-9-169-1.jpg

文献检索

告别复杂PubMed语法,用中文像聊天一样搜索,搜遍4000万医学文献。AI智能推荐,让科研检索更轻松。

立即免费搜索

文件翻译

保留排版,准确专业,支持PDF/Word/PPT等文件格式,支持 12+语言互译。

免费翻译文档

深度研究

AI帮你快速写综述,25分钟生成高质量综述,智能提取关键信息,辅助科研写作。

立即免费体验