• 文献检索
  • 文档翻译
  • 深度研究
  • 学术资讯
  • Suppr Zotero 插件Zotero 插件
  • 邀请有礼
  • 套餐&价格
  • 历史记录
应用&插件
Suppr Zotero 插件Zotero 插件浏览器插件Mac 客户端Windows 客户端微信小程序
定价
高级版会员购买积分包购买API积分包
服务
文献检索文档翻译深度研究API 文档MCP 服务
关于我们
关于 Suppr公司介绍联系我们用户协议隐私条款
关注我们

Suppr 超能文献

核心技术专利:CN118964589B侵权必究
粤ICP备2023148730 号-1Suppr @ 2026

文献检索

告别复杂PubMed语法,用中文像聊天一样搜索,搜遍4000万医学文献。AI智能推荐,让科研检索更轻松。

立即免费搜索

文件翻译

保留排版,准确专业,支持PDF/Word/PPT等文件格式,支持 12+语言互译。

免费翻译文档

深度研究

AI帮你快速写综述,25分钟生成高质量综述,智能提取关键信息,辅助科研写作。

立即免费体验

重症监护中的镇静与镇痛:芬太尼与瑞芬太尼的比较

Sedation and analgesia in intensive care: a comparison of fentanyl and remifentanil.

作者信息

Cevik F, Celik M, Clark P M, Macit C

机构信息

Medical Department, Abbott Pharmaceuticals, Meral Plaza, Umraniye, Istanbul, Turkey.

出版信息

Pain Res Treat. 2011;2011:650320. doi: 10.1155/2011/650320. Epub 2011 Jul 2.

DOI:10.1155/2011/650320
PMID:22110929
原文链接:https://pmc.ncbi.nlm.nih.gov/articles/PMC3197257/
Abstract

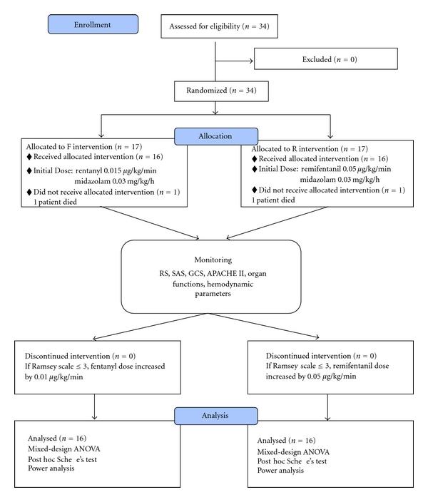
Optimal sedation and analgesia are of key importance in intensive care. The aim of this study was to assess the quality of sedoanalgesia and outcome parameters in regimens containing midazolam and either fentanyl or remifentanil. A prospective, randomized, open-label, controlled trial was carried out in the ICU unit of a large teaching hospital in Istanbul over a 9-month period. Thirty-four patients were randomly allocated to receive either a remifentanil-midazolam regimen (R group, n = 17) or a fentanyl-midazolam regimen (F group, n = 17). A strong correlation between Riker Sedation-Agitation Scale (SAS) and Ramsey Scale (RS) measurements was observed. Comparatively, remifentanil provided significantly more potent and rapid analgesia based on Behavioral-Physiological Scale (BPS) measurements and a statistically nonsignificantly shorter time to discharge. On the other hand, remifentanil also caused a significantly sharper fall in heart rate within the first six hours of treatment.

摘要

在重症监护中,最佳的镇静和镇痛至关重要。本研究的目的是评估含咪达唑仑和芬太尼或瑞芬太尼的方案中的镇静镇痛质量及结果参数。在伊斯坦布尔一家大型教学医院的重症监护病房进行了一项为期9个月的前瞻性、随机、开放标签、对照试验。34例患者被随机分配接受瑞芬太尼-咪达唑仑方案(R组,n = 17)或芬太尼-咪达唑仑方案(F组,n = 17)。观察到里克尔镇静-躁动量表(SAS)和拉姆齐量表(RS)测量之间有很强的相关性。相比之下,基于行为-生理量表(BPS)测量,瑞芬太尼提供了显著更强效和快速的镇痛效果,且出院时间在统计学上无显著差异,但更短。另一方面,瑞芬太尼在治疗的前6小时内也导致心率显著下降。

https://cdn.ncbi.nlm.nih.gov/pmc/blobs/bc5e/3197257/81c78161a7c3/PRT2011-650320.007.jpg
https://cdn.ncbi.nlm.nih.gov/pmc/blobs/bc5e/3197257/80f9b79464fa/PRT2011-650320.001.jpg
https://cdn.ncbi.nlm.nih.gov/pmc/blobs/bc5e/3197257/bd083a0e3a5a/PRT2011-650320.002.jpg
https://cdn.ncbi.nlm.nih.gov/pmc/blobs/bc5e/3197257/5b50ca6826fe/PRT2011-650320.003.jpg
https://cdn.ncbi.nlm.nih.gov/pmc/blobs/bc5e/3197257/c0ede50c5d96/PRT2011-650320.004.jpg
https://cdn.ncbi.nlm.nih.gov/pmc/blobs/bc5e/3197257/342a005f75c4/PRT2011-650320.005.jpg
https://cdn.ncbi.nlm.nih.gov/pmc/blobs/bc5e/3197257/e7c456bbf234/PRT2011-650320.006.jpg
https://cdn.ncbi.nlm.nih.gov/pmc/blobs/bc5e/3197257/81c78161a7c3/PRT2011-650320.007.jpg
https://cdn.ncbi.nlm.nih.gov/pmc/blobs/bc5e/3197257/80f9b79464fa/PRT2011-650320.001.jpg
https://cdn.ncbi.nlm.nih.gov/pmc/blobs/bc5e/3197257/bd083a0e3a5a/PRT2011-650320.002.jpg
https://cdn.ncbi.nlm.nih.gov/pmc/blobs/bc5e/3197257/5b50ca6826fe/PRT2011-650320.003.jpg
https://cdn.ncbi.nlm.nih.gov/pmc/blobs/bc5e/3197257/c0ede50c5d96/PRT2011-650320.004.jpg
https://cdn.ncbi.nlm.nih.gov/pmc/blobs/bc5e/3197257/342a005f75c4/PRT2011-650320.005.jpg
https://cdn.ncbi.nlm.nih.gov/pmc/blobs/bc5e/3197257/e7c456bbf234/PRT2011-650320.006.jpg
https://cdn.ncbi.nlm.nih.gov/pmc/blobs/bc5e/3197257/81c78161a7c3/PRT2011-650320.007.jpg

相似文献

1
Sedation and analgesia in intensive care: a comparison of fentanyl and remifentanil.重症监护中的镇静与镇痛:芬太尼与瑞芬太尼的比较
Pain Res Treat. 2011;2011:650320. doi: 10.1155/2011/650320. Epub 2011 Jul 2.
2
Safety and efficacy of analgesia-based sedation with remifentanil versus standard hypnotic-based regimens in intensive care unit patients with brain injuries: a randomised, controlled trial [ISRCTN50308308].在脑损伤重症监护病房患者中,瑞芬太尼镇痛镇静与标准催眠镇静方案的安全性和有效性:一项随机对照试验[ISRCTN50308308]
Crit Care. 2004 Aug;8(4):R268-80. doi: 10.1186/cc2896. Epub 2004 Jun 28.
3
Sedation in the intensive care unit with remifentanil/propofol versus midazolam/fentanyl: a randomised, open-label, pharmacoeconomic trial.重症监护病房中瑞芬太尼/丙泊酚与咪达唑仑/芬太尼用于镇静的比较:一项随机、开放标签的药物经济学试验。
Crit Care. 2006;10(3):R91. doi: 10.1186/cc4939. Epub 2006 Jun 15.
4
Decreased duration of mechanical ventilation when comparing analgesia-based sedation using remifentanil with standard hypnotic-based sedation for up to 10 days in intensive care unit patients: a randomised trial [ISRCTN47583497].在重症监护病房患者中,比较瑞芬太尼镇痛镇静与标准催眠镇静长达10天的机械通气持续时间:一项随机试验[ISRCTN47583497]
Crit Care. 2005 Jun;9(3):R200-10. doi: 10.1186/cc3495. Epub 2005 Mar 15.
5
[Remifentanil for analgesia and sedation in mechanically ventilated patients in intensive care unit].[瑞芬太尼用于重症监护病房机械通气患者的镇痛和镇静]
Zhonghua Wei Zhong Bing Ji Jiu Yi Xue. 2013 Mar;25(3):167-70.
6
Remifentanil versus fentanyl for analgesia based sedation to provide patient comfort in the intensive care unit: a randomized, double-blind controlled trial [ISRCTN43755713].瑞芬太尼与芬太尼用于重症监护病房基于镇痛的镇静以提供患者舒适感:一项随机、双盲对照试验[ISRCTN43755713]
Crit Care. 2004 Feb;8(1):R1-R11. doi: 10.1186/cc2398. Epub 2003 Nov 20.
7
Remifentanil/midazolam versus fentanyl/midazolam for analgesia and sedation of mechanically ventilated neonates and young infants: a randomized controlled trial.瑞芬太尼/咪达唑仑与芬太尼/咪达唑仑用于镇痛和机械通气的新生儿和婴儿镇静:一项随机对照试验。
Intensive Care Med. 2012 Jun;38(6):1017-24. doi: 10.1007/s00134-012-2532-1. Epub 2012 Mar 29.
8
[Daily interruption of sedation in intensive care unit patients with renal impairment: remifentanil-midazolam compared to fentanyl-midazolam].[重症监护病房中肾功能损害患者每日镇静中断:瑞芬太尼-咪达唑仑与芬太尼-咪达唑仑的比较]
Ann Fr Anesth Reanim. 2007 Dec;26(12):1041-4. doi: 10.1016/j.annfar.2007.10.005. Epub 2007 Nov 7.
9
The influence of analgesic-based sedation protocols on delirium and outcomes in critically ill patients: A randomized controlled trial.基于镇痛的镇静方案对危重症患者谵妄及预后的影响:一项随机对照试验。
PLoS One. 2017 Sep 14;12(9):e0184310. doi: 10.1371/journal.pone.0184310. eCollection 2017.
10
Propofol and remifentanil versus midazolam and fentanyl for sedation during therapeutic hypothermia after cardiac arrest: a randomised trial.异丙酚和瑞芬太尼与咪达唑仑和芬太尼用于心脏骤停后治疗性低温期间的镇静:一项随机试验。
Intensive Care Med. 2012 Jun;38(6):959-67. doi: 10.1007/s00134-012-2540-1. Epub 2012 Apr 12.

引用本文的文献

1
Remifentanil Versus Fentanyl in Critically Ill Patients Requiring Mechanical Ventilation: A Single-Center Retrospective Cohort Study.瑞芬太尼与芬太尼用于需要机械通气的重症患者:一项单中心回顾性队列研究。
Cureus. 2025 Jul 13;17(7):e87804. doi: 10.7759/cureus.87804. eCollection 2025 Jul.
2
Comparative efficacy of remifentanil and fentanyl in mechanically ventilated ICU patients: a systematic review and meta-analysis on ventilation duration and delirium incidence.瑞芬太尼和芬太尼在机械通气的重症监护病房患者中的比较疗效:关于通气时间和谵妄发生率的系统评价和荟萃分析
J Anesth Analg Crit Care. 2025 Jun 22;5(1):32. doi: 10.1186/s44158-025-00258-7.
3

本文引用的文献

1
Does high-dose opioid anesthesia exacerbate ischemic spinal cord injury in rabbits?大剂量阿片类药物麻醉会加重兔脊髓缺血性损伤吗?
J Anesth. 2009;23(2):242-8. doi: 10.1007/s00540-009-0741-8. Epub 2009 May 15.
2
Analgesia during abdominal aortic aneurysm endovascular repair: remifentanil vs. fentanyl-midazolam--a randomized controlled trial.腹主动脉瘤腔内修复术中的镇痛:瑞芬太尼与芬太尼-咪达唑仑——一项随机对照试验。
Eur J Anaesthesiol. 2009 Sep;26(9):782-7. doi: 10.1097/EJA.0b013e32832bcc9b.
3
Comparison of bolus remifentanil versus bolus fentanyl for blunting cardiovascular intubation responses in children: a randomized, double-blind study.
ICU patients receiving remifentanil do not experience reduced duration of mechanical ventilation: a systematic review of randomized controlled trials and network meta-analyses based on Bayesian theories.
接受瑞芬太尼的重症监护病房患者机械通气时间并未缩短:基于贝叶斯理论的随机对照试验和网状荟萃分析的系统评价
Front Med (Lausanne). 2024 Aug 7;11:1370481. doi: 10.3389/fmed.2024.1370481. eCollection 2024.
4
Effects of fentanyl administration in mechanically ventilated patients in the intensive care unit: a systematic review and meta-analysis.芬太尼在重症监护病房机械通气患者中的应用效果:系统评价和荟萃分析。
BMC Anesthesiol. 2022 Oct 21;22(1):323. doi: 10.1186/s12871-022-01871-7.
5
Application of remifentanil for conscious sedation and analgesia in short-term ERCP and EST surgery.瑞芬太尼在短期内镜逆行胰胆管造影术(ERCP)和内镜下括约肌切开术(EST)手术中用于清醒镇静和镇痛的应用。
Medicine (Baltimore). 2017 Apr;96(16):e6567. doi: 10.1097/MD.0000000000006567.
6
Effects of nurses' practice of a sedation protocol on sedation and consciousness levels of patients on mechanical ventilation.护士实施镇静方案对机械通气患者镇静及意识水平的影响。
Iran J Nurs Midwifery Res. 2013 Sep;18(5):391-5.
儿童中单次静脉注射瑞芬太尼与单次静脉注射芬太尼用于减轻心血管插管反应的比较:一项随机、双盲研究。
Chin Med J (Engl). 2009 Jan 5;122(1):44-50.
4
Conscious sedation in the critically ill ventilated patient.危重症机械通气患者的清醒镇静
J Crit Care. 2008 Sep;23(3):349-53. doi: 10.1016/j.jcrc.2007.04.003. Epub 2007 Jul 5.
5
Strategies to optimize analgesia and sedation.优化镇痛和镇静的策略。
Crit Care. 2008;12 Suppl 3(Suppl 3):S6. doi: 10.1186/cc6151. Epub 2008 May 14.
6
Impact of a clinical pharmacist-enforced intensive care unit sedation protocol on duration of mechanical ventilation and hospital stay.临床药师实施的重症监护病房镇静方案对机械通气时间和住院时间的影响。
Crit Care Med. 2008 Feb;36(2):427-33. doi: 10.1097/01.CCM.0000300275.63811.B3.
7
[Daily interruption of sedation in intensive care unit patients with renal impairment: remifentanil-midazolam compared to fentanyl-midazolam].[重症监护病房中肾功能损害患者每日镇静中断:瑞芬太尼-咪达唑仑与芬太尼-咪达唑仑的比较]
Ann Fr Anesth Reanim. 2007 Dec;26(12):1041-4. doi: 10.1016/j.annfar.2007.10.005. Epub 2007 Nov 7.
8
Sedation in the critically ill patient.危重症患者的镇静
Transplant Proc. 2006 Apr;38(3):803-4. doi: 10.1016/j.transproceed.2006.01.038.
9
The effect of a sedation scale on ventilation hours, sedative, analgesic and inotropic use in an intensive care unit.镇静评分对重症监护病房通气时长、镇静剂、镇痛药及血管活性药物使用的影响
Crit Care Resusc. 2004 Dec;6(4):253-7.
10
Decreased duration of mechanical ventilation when comparing analgesia-based sedation using remifentanil with standard hypnotic-based sedation for up to 10 days in intensive care unit patients: a randomised trial [ISRCTN47583497].在重症监护病房患者中,比较瑞芬太尼镇痛镇静与标准催眠镇静长达10天的机械通气持续时间:一项随机试验[ISRCTN47583497]
Crit Care. 2005 Jun;9(3):R200-10. doi: 10.1186/cc3495. Epub 2005 Mar 15.