US Department of Agriculture, Agricultural Research Service, Plant Science Research Unit, and Department of Crop Science, North Carolina State University, Raleigh, NC 27607, USA.
J Exp Bot. 2012 Apr;63(7):2557-64. doi: 10.1093/jxb/err443. Epub 2012 Jan 20.
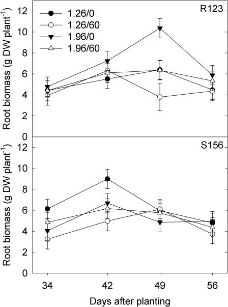
Environmental conditions influence plant responses to ozone (O(3)), but few studies have evaluated individual factors directly. In this study, the effect of O(3) at high and low atmospheric vapour pressure deficit (VPD) was evaluated in two genotypes of snap bean (Phaseolus vulgaris L.) (R123 and S156) used as O(3) bioindicator plants. Plants were grown in outdoor controlled-environment chambers in charcoal-filtered air containing 0 or 60 nl l(-1) O(3) (12 h average) at two VPDs (1.26 and 1.96 kPa) and sampled for biomass, leaf area, daily water loss, and seed yield. VPD clearly influenced O(3) effects. At low VPD, O(3) reduced biomass, leaf area, and seed yield substantially in both genotypes, while at high VPD, O(3) had no significant effect on these components. In clean air, high VPD reduced biomass and yield by similar fractions in both genotypes compared with low VPD. Data suggest that a stomatal response to VPD per se may be lacking in both genotypes and it is hypothesized that the high VPD resulted in unsustainable transpiration and water deficits that resulted in reduced growth and yield. High VPD- and water-stress-induced stomatal responses may have reduced the O(3) flux into the leaves, which contributed to a higher yield compared to the low VPD treatment in both genotypes. At low VPD, transpiration increased in the O(3) treatment relative to the clean air treatment, suggesting that whole-plant conductance was increased by O(3) exposure. Ozone-related biomass reductions at low VPD were proportionally higher in S156 than in R123, indicating that differential O(3) sensitivity of these bioindicator plants remained evident when environmental conditions were conducive for O(3) effects. Assessments of potential O(3) impacts on vegetation should incorporate interacting factors such as VPD.
环境条件影响植物对臭氧(O(3))的响应,但很少有研究直接评估个别因素。在这项研究中,评估了高、低大气蒸气压亏缺(VPD)条件下两种菜豆(Phaseolus vulgaris L.)基因型(R123 和 S156)对臭氧的响应,这两种基因型常被用作臭氧生物指示剂。在室外控制环境室中,使用木炭过滤空气,在两种 VPD(1.26 和 1.96 kPa)下,以 0 或 60 nl l(-1) 的臭氧(12 h 平均浓度)处理植物,并进行生物量、叶面积、日水分损失和种子产量的采样。VPD 明显影响了臭氧的作用。在低 VPD 下,臭氧显著降低了两种基因型的生物量、叶面积和种子产量,而在高 VPD 下,臭氧对这些成分没有显著影响。在清洁空气中,高 VPD 导致两种基因型的生物量和产量分别减少了相似的比例,而低 VPD 则没有。研究结果表明,这两种基因型可能缺乏对 VPD 的气孔反应,并且假设高 VPD 导致不可持续的蒸腾和水分亏缺,从而导致生长和产量降低。高 VPD 和水分胁迫诱导的气孔反应可能减少了进入叶片的 O(3)通量,这导致了两种基因型的产量都高于低 VPD 处理。在低 VPD 下,臭氧处理下的蒸腾作用相对于清洁空气处理增加,表明臭氧暴露增加了整株植物的导度。在低 VPD 下,臭氧相关的生物量减少在 S156 中比在 R123 中更高,表明当环境条件有利于臭氧作用时,这些生物指示剂植物的臭氧敏感性差异仍然明显。评估臭氧对植被的潜在影响应包括相互作用的因素,如 VPD。