Center for Electrochemistry and Intelligent Materials (CEMI), Universidad Politécnica de Cartagena, ETSII, E- 30203, Cartagena, Spain.
Sensors (Basel). 2010;10(4):2638-74. doi: 10.3390/s100402638. Epub 2010 Mar 25.
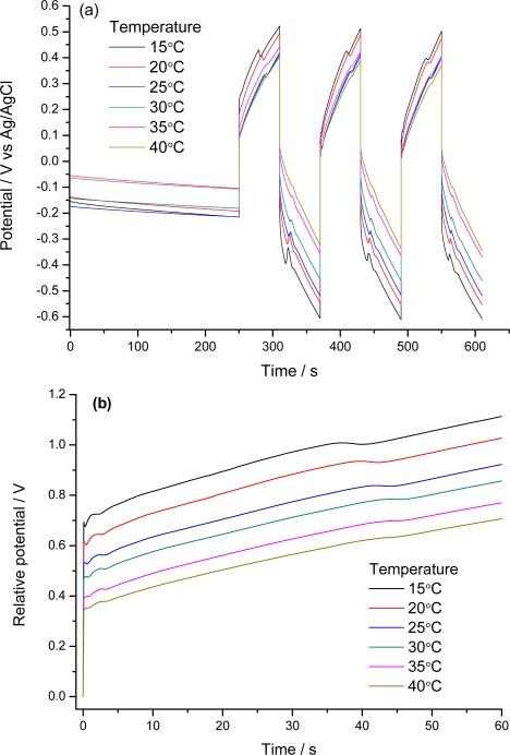
Films of conducting polymers can be oxidized and reduced in a reversible way. Any intermediate oxidation state determines an electrochemical equilibrium. Chemical or physical variables acting on the film may modify the equilibrium potential, so that the film acts as a sensor of the variable. The working potential of polypyrrole/DBSA (Dodecylbenzenesulfonic acid) films, oxidized or reduced under constant currents, changes as a function of the working conditions: electrolyte concentration, temperature or mechanical stress. During oxidation, the reactive material is a sensor of the ambient, the consumed electrical energy being the sensing magnitude. Devices based on any of the electrochemical properties of conducting polymers must act simultaneously as sensors of the working conditions. Artificial muscles, as electrochemical actuators constituted by reactive materials, respond to the ambient conditions during actuation. In this way, they can be used as actuators, sensing the surrounding conditions during actuation. Actuating and sensing signals are simultaneously included by the same two connecting wires.
导电聚合物薄膜可以进行可逆的氧化和还原。任何中间氧化态都决定了电化学平衡。作用于薄膜的化学或物理变量可以改变平衡电位,从而使薄膜成为变量的传感器。在恒定电流下氧化或还原的聚吡咯/DBSA(十二烷基苯磺酸)薄膜的工作电位会随着工作条件(电解质浓度、温度或机械应力)的变化而变化。在氧化过程中,反应材料是环境的传感器,所消耗的电能就是传感量。基于导电聚合物任何电化学特性的器件都必须同时作为工作条件的传感器。人工肌肉作为由反应材料构成的电化学致动器,在致动过程中对环境条件作出响应。通过这种方式,它们可以在致动过程中用作传感器,感测周围环境条件。致动和传感信号同时由两条连接电线同时包含。