Suppr超能文献

一项关于短期暴露于高原后返回平原早期心功能的随机对照研究。

A randomly-controlled study on the cardiac function at the early stage of return to the plains after short-term exposure to high altitude.

机构信息

Department of High Altitude Diseases, College of High Altitude Military Medicine, Third Military Medical University, Chongqing, China.

出版信息

PLoS One. 2012;7(2):e31097. doi: 10.1371/journal.pone.0031097. Epub 2012 Feb 17.

Abstract

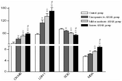
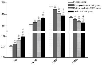
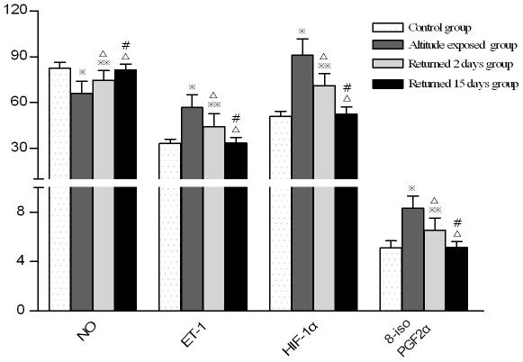
High altitude acclimatization and adaptation mechanisms have been well clarified, however, high altitude de-adaptation mechanism remains unclear. In this study, we conducted a controlled study on cardiac functions in 96 healthy young male who rapidly entered the high altitude (3700 m) and returned to the plains (1500 m) after 50 days. Ninety eight healthy male who remained at low altitude were recruited as control group. The mean pulmonary arterial pressure (mPAP), left ventricular ejection fraction (LVEF), left ventricular fraction shortening (LVFS), cardiac function index (Tei index) were tested. Levels of serum creatine kinase isoform MB (CK-MB), lactate dehydrogenase isoenzyme-1 (LDH-1), endothelin-1 (ET-1), nitrogen oxide (NO), serum hypoxia-inducible factor-1α (HIF-1α), 8-iso-prostaglandin F(2α) (8-iso PGF(2α)), superoxide dismutase (SOD) and malonaldehyde (MDA) were measured at an altitude of 3700 m and 1500 m respectively. The results showed that after short-term exposure to high altitude mPAP and Tei index increased significantly, while LVEF and LVFS decreased significantly. These changes were positively correlated with altitude. On the 15(th) day after the subjects returned to low altitude, mPAP, LVEF and LVFS levels returned to the same level as those of the control subjects, but the Tei index in the returned subjects was still significantly higher than that in the control subjects (P<0.01). We also found that changes in Tei index was positively correlated with mPAP, ET-1, HIF-1α and 8-iso PGF(2α) levels, and negatively correlated with the level of NO, LVEF, LVFS, CK-MB and LDH-1. These findings suggest that cardiac function de-adapts when returning to the plains after short-term exposure to high altitude and the function recovery takes a relatively long time.

摘要

高海拔适应和适应机制已经得到了很好的阐明,然而,高海拔脱适应机制尚不清楚。在这项研究中,我们对 96 名健康年轻男性进行了一项对照研究,这些男性在 50 天内迅速进入高海拔(3700 米),然后返回平原(1500 米)。98 名仍处于低海拔的健康男性被招募为对照组。检测平均肺动脉压(mPAP)、左心室射血分数(LVEF)、左心室缩短分数(LVFS)、心功能指数(Tei 指数)。分别在 3700 米和 1500 米处测量血清肌酸激酶同工酶 MB(CK-MB)、乳酸脱氢酶同工酶-1(LDH-1)、内皮素-1(ET-1)、一氧化氮(NO)、血清低氧诱导因子-1α(HIF-1α)、8-异前列腺素 F2α(8-iso PGF2α)、超氧化物歧化酶(SOD)和丙二醛(MDA)的水平。结果显示,短期暴露于高海拔后,mPAP 和 Tei 指数显著升高,而 LVEF 和 LVFS 显著降低。这些变化与海拔高度呈正相关。受试者返回低海拔 15 天后,mPAP、LVEF 和 LVFS 水平恢复到与对照组相同的水平,但返回受试者的 Tei 指数仍明显高于对照组(P<0.01)。我们还发现,Tei 指数的变化与 mPAP、ET-1、HIF-1α和 8-iso PGF2α水平呈正相关,与 NO、LVEF、LVFS、CK-MB 和 LDH-1水平呈负相关。这些发现表明,短期暴露于高海拔后返回平原时,心脏功能会出现脱适应,功能恢复需要相对较长的时间。

https://cdn.ncbi.nlm.nih.gov/pmc/blobs/a3c1/3281922/145b61f8878d/pone.0031097.g001.jpg

文献AI研究员

20分钟写一篇综述,助力文献阅读效率提升50倍。

立即体验

用中文搜PubMed

大模型驱动的PubMed中文搜索引擎

马上搜索

文档翻译

学术文献翻译模型,支持多种主流文档格式。

立即体验