Department of Biological & Environmental Sciences, University of Gothenburg, Gothenburg, Sweden.
PLoS One. 2012;7(3):e33487. doi: 10.1371/journal.pone.0033487. Epub 2012 Mar 13.
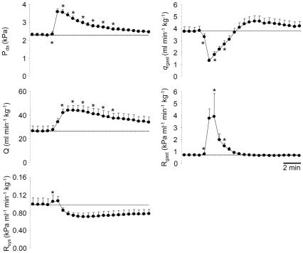
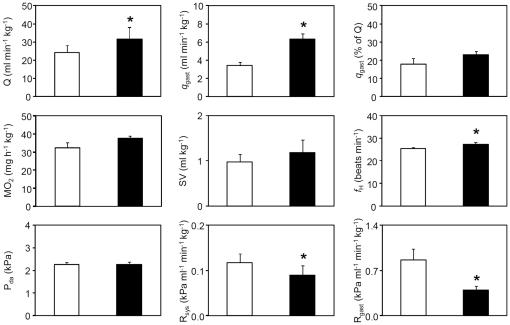
Previous studies on metabolic responses to feeding (i.e. the specific dynamic action, SDA) in Antarctic fishes living at temperatures below zero have reported long-lasting increases and small peak responses. We therefore hypothesized that the postprandial hyperemia also would be limited in the Antarctic fish Pagothenia borchgrevinki. The proportion of cardiac output directed to the splanchnic circulation in unfed fish was 18%, which is similar to temperate fish species. Contrary to our prediction, however, gastrointestinal blood flow had increased by 88% at twenty four hours after feeding due to a significant increase in cardiac output and a significant decrease in gastrointestinal vascular resistance. While gastric evacuation time appeared to be longer than in comparable temperate species, digestion had clearly commenced twenty four hours after feeding as judged by a reduction in mass of the administered feed. Even so, oxygen consumption did not increase suggesting an unusually slowly developing SDA. Adrenaline and angiotensin II was injected into unfed fish to investigate neuro-humoral control mechanisms of gastrointestinal blood flow. Both agonists increased gastrointestinal vascular resistance and arterial blood pressure, while systemic vascular resistance was largely unaffected. The hypertension was mainly due to increased cardiac output revealing that the heart and the gastrointestinal vasculature, but not the somatic vasculature, are important targets for these agonists. It is suggested that the apparently reduced SDA in P. borchgrevinki is due to a depressant effect of the low temperature on protein assimilation processes occurring outside of the gastrointestinal tract, while the gastrointestinal blood flow responses to feeding and vasoactive substances resemble those previously observed in temperate species.
先前关于生活在零度以下的南极鱼类的摄食代谢反应(即特殊动力作用,SDA)的研究报告称,其反应具有持久的增加和较小的峰值响应。因此,我们假设在南极鳕鱼 Pagothenia borchgrevinki 中,餐后充血也会受到限制。未进食的鱼的心脏输出到内脏循环的比例为 18%,与温带鱼类相似。然而,与我们的预测相反,在进食后 24 小时,由于心脏输出量增加和内脏血管阻力显著降低,胃肠道血流增加了 88%。虽然胃排空时间似乎比可比的温带物种更长,但从给予的饲料的质量减少可以判断,消化显然已经在进食后 24 小时开始。即便如此,由于特殊动力作用的发展异常缓慢,耗氧量并没有增加。向未进食的鱼注射肾上腺素和血管紧张素 II,以研究胃肠道血流的神经激素控制机制。两种激动剂均增加了胃肠道血管阻力和动脉血压,而全身血管阻力基本不受影响。高血压主要是由于心脏输出量增加所致,这表明心脏和胃肠道血管,而不是躯体血管,是这些激动剂的重要靶标。研究表明,在 P. borchgrevinki 中,特殊动力作用明显降低,可能是由于低温对发生在胃肠道外的蛋白质同化过程产生抑制作用,而对摄食和血管活性物质的胃肠道血流反应类似于先前在温带物种中观察到的反应。