Suppr超能文献

一种主要的传统方法可以提高亚硫酸氢盐转化 DNA 的对齐度。

A mostly traditional approach improves alignment of bisulfite-converted DNA.

机构信息

Computational Biology Research Center, National Institute for Advanced Industrial Science and Technology (AIST), 2-4-7 Aomi, Koto-ku, Tokyo 135-0064, Japan.

出版信息

Nucleic Acids Res. 2012 Jul;40(13):e100. doi: 10.1093/nar/gks275. Epub 2012 Mar 28.

Abstract

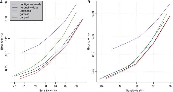
Cytosines in genomic DNA are sometimes methylated. This affects many biological processes and diseases. The standard way of measuring methylation is to use bisulfite, which converts unmethylated cytosines to thymines, then sequence the DNA and compare it to a reference genome sequence. We describe a method for the critical step of aligning the DNA reads to the correct genomic locations. Our method builds on classic alignment techniques, including likelihood-ratio scores and spaced seeds. In a realistic benchmark, our method has a better combination of sensitivity, specificity and speed than nine other high-throughput bisulfite aligners. This study enables more accurate and rational analysis of DNA methylation. It also illustrates how to adapt general-purpose alignment methods to a special case with distorted base patterns: this should be informative for other special cases such as ancient DNA and AT-rich genomes.

摘要

基因组 DNA 中的胞嘧啶有时会甲基化。这会影响许多生物过程和疾病。测量甲基化的标准方法是使用亚硫酸氢盐,它将未甲基化的胞嘧啶转化为胸腺嘧啶,然后对 DNA 进行测序,并将其与参考基因组序列进行比较。我们描述了一种将 DNA 读取与正确基因组位置对齐的关键步骤的方法。我们的方法建立在经典的对齐技术基础上,包括似然比评分和间隔种子。在一个现实的基准测试中,我们的方法在灵敏度、特异性和速度方面的组合优于其他九种高通量亚硫酸氢盐对齐器。这项研究使 DNA 甲基化的分析更加准确和合理。它还说明了如何将通用的对齐方法应用于具有扭曲碱基模式的特殊情况:这对于其他特殊情况(如古老的 DNA 和富含 AT 的基因组)应该具有启发性。

https://cdn.ncbi.nlm.nih.gov/pmc/blobs/b1d8/3401460/33121648336f/gks275f1.jpg

文献检索

告别复杂PubMed语法,用中文像聊天一样搜索,搜遍4000万医学文献。AI智能推荐,让科研检索更轻松。

立即免费搜索

文件翻译

保留排版,准确专业,支持PDF/Word/PPT等文件格式,支持 12+语言互译。

免费翻译文档

深度研究

AI帮你快速写综述,25分钟生成高质量综述,智能提取关键信息,辅助科研写作。

立即免费体验