• 文献检索
  • 文档翻译
  • 深度研究
  • 学术资讯
  • Suppr Zotero 插件Zotero 插件
  • 邀请有礼
  • 套餐&价格
  • 历史记录
应用&插件
Suppr Zotero 插件Zotero 插件浏览器插件Mac 客户端Windows 客户端微信小程序
定价
高级版会员购买积分包购买API积分包
服务
文献检索文档翻译深度研究API 文档MCP 服务
关于我们
关于 Suppr公司介绍联系我们用户协议隐私条款
关注我们

Suppr 超能文献

核心技术专利:CN118964589B侵权必究
粤ICP备2023148730 号-1Suppr @ 2026

文献检索

告别复杂PubMed语法,用中文像聊天一样搜索,搜遍4000万医学文献。AI智能推荐,让科研检索更轻松。

立即免费搜索

文件翻译

保留排版,准确专业,支持PDF/Word/PPT等文件格式,支持 12+语言互译。

免费翻译文档

深度研究

AI帮你快速写综述,25分钟生成高质量综述,智能提取关键信息,辅助科研写作。

立即免费体验

心电图标准定量评估肺动脉高压患者右心室肥厚:与心脏 MRI 的比较。

Quantitative estimation of right ventricular hypertrophy using ECG criteria in patients with pulmonary hypertension: A comparison with cardiac MRI.

机构信息

Southern General Hospital, Glasgow, UK.

出版信息

Pulm Circ. 2011 Oct-Dec;1(4):470-4. doi: 10.4103/2045-8932.93546.

DOI:10.4103/2045-8932.93546
PMID:22530102
原文链接:https://pmc.ncbi.nlm.nih.gov/articles/PMC3329077/
Abstract

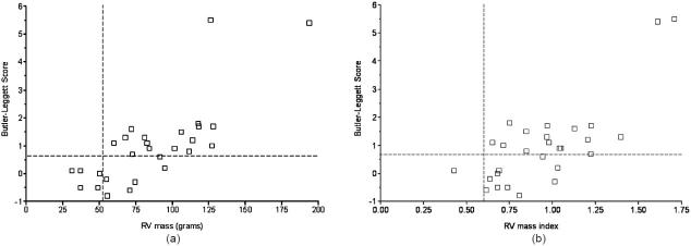
In patients with pulmonary arterial hypertension (PAH), right ventricular mass (RVM) correlates linearly with pulmonary artery pressure, and decreases with successful treatment. Accurate measurement of RVM currently requires cardiovascular magnetic resonance (CMR) imaging. We therefore tested the relationship between RVM and a simple, 12 lead ECG-derived value, the Butler-Leggett (BL) score. This has previously been validated in patients with RV hypertrophy (RVH) due to mitral stenosis. We also tested the diagnostic accuracy of the BL score in detecting RVH. The Scottish Pulmonary Vascular Unit database was reviewed retrospectively. Twenty-eight patients with PAH were identified, in whom CMR and ECG data had been recorded no more than 28 days apart. All had completed a comprehensive clinical assessment, including right heart catheterization. CMR-derived absolute RVM and RV mass index (RVMI=RV mass/LV mass) were correlated against BL score. The ability of this score to detect RVH was tested using 2 x 2 contingency tables. RVM and RVMI correlated with BL score (r=0.77, P<0.001 and r=0.78, P<0.001, respectively). A BL score >0.7 mV proved a highly specific but insensitive indicator of RVH, based on either absolute RVM (sensitivity 74%, specificity 100%) or a high RVMI (sensitivity 61%, specificity 100%). The BL score, which can be defined using a standard 12-lead ECG, correlates with RVM and RVMI in patients with PAH. A score >0.7 mV was a highly specific but insensitive indicator of RVH in these patients.

摘要

在肺动脉高压(PAH)患者中,右心室质量(RVM)与肺动脉压力呈线性相关,并且随着治疗的成功而降低。RVM 的准确测量目前需要心血管磁共振(CMR)成像。因此,我们测试了 RVM 与简单的 12 导联心电图衍生值 Butler-Leggett(BL)评分之间的关系。该评分先前已在因二尖瓣狭窄而导致 RV 肥厚(RVH)的患者中得到验证。我们还测试了 BL 评分在检测 RVH 中的诊断准确性。回顾性地审查了苏格兰肺血管单位数据库。确定了 28 名患有 PAH 的患者,在这些患者中,CMR 和 ECG 数据的记录时间不超过 28 天。所有患者均完成了全面的临床评估,包括右心导管检查。CMR 衍生的绝对 RVM 和 RV 质量指数(RVMI=RV 质量/LV 质量)与 BL 评分相关。使用 2 x 2 列联表测试了该评分检测 RVH 的能力。RVM 和 RVMI 与 BL 评分相关(r=0.77,P<0.001 和 r=0.78,P<0.001)。BL 评分>0.7 mV 证明是一种高度特异但不敏感的 RVH 指标,基于绝对 RVM(敏感性 74%,特异性 100%)或高 RVMI(敏感性 61%,特异性 100%)。BL 评分可以使用标准的 12 导联心电图定义,与 PAH 患者的 RVM 和 RVMI 相关。评分>0.7 mV 是这些患者 RVH 的高度特异但不敏感的指标。

https://cdn.ncbi.nlm.nih.gov/pmc/blobs/d703/3329077/52e62615607f/PC-1-470-g003.jpg
https://cdn.ncbi.nlm.nih.gov/pmc/blobs/d703/3329077/52e62615607f/PC-1-470-g003.jpg
https://cdn.ncbi.nlm.nih.gov/pmc/blobs/d703/3329077/52e62615607f/PC-1-470-g003.jpg

相似文献

1
Quantitative estimation of right ventricular hypertrophy using ECG criteria in patients with pulmonary hypertension: A comparison with cardiac MRI.心电图标准定量评估肺动脉高压患者右心室肥厚:与心脏 MRI 的比较。
Pulm Circ. 2011 Oct-Dec;1(4):470-4. doi: 10.4103/2045-8932.93546.
2
Cardiac Magnetic Resonance Derived Left Ventricular Eccentricity Index and Right Ventricular Mass Measurements Predict Outcome in Children with Pulmonary Arterial Hypertension.心脏磁共振成像得出的左心室偏心指数和右心室质量测量可预测儿童肺动脉高压的预后。
Children (Basel). 2023 Apr 21;10(4):756. doi: 10.3390/children10040756.
3
Electrocardiogram for the diagnosis of right ventricular hypertrophy and dilation in idiopathic pulmonary arterial hypertension.心电图用于特发性肺动脉高压中右心室肥厚和扩张的诊断。
Circ J. 2012;76(7):1744-9. doi: 10.1253/circj.cj-11-1517. Epub 2012 Apr 13.
4
QTc prolongation is associated with impaired right ventricular function and predicts mortality in pulmonary hypertension.QTc 延长与右心室功能障碍有关,并可预测肺动脉高压患者的死亡率。
Int J Cardiol. 2013 Aug 10;167(3):669-76. doi: 10.1016/j.ijcard.2012.03.071. Epub 2012 Mar 27.
5
Significance of electrocardiographic right ventricular hypertrophy in patients with pulmonary hypertension with or without right ventricular systolic dysfunction.伴或不伴右心室收缩功能障碍的肺动脉高压患者心电图右心室肥厚的意义
Intern Med. 2012;51(17):2277-83. doi: 10.2169/internalmedicine.51.7731. Epub 2012 Sep 1.
6
ECG signs of right ventricular hypertrophy may help distinguish pulmonary arterial hypertension and pulmonary hypertension due to left ventricular diastolic dysfunction.右心室肥厚的心电图表现可能有助于鉴别肺动脉高压和左心室舒张功能障碍所致的肺动脉高压。
Bratisl Lek Listy. 2011;112(11):614-8.
7
Right ventricular remodeling in idiopathic and scleroderma-associated pulmonary arterial hypertension: two distinct phenotypes.特发性和硬皮病相关性肺动脉高压中的右心室重塑:两种不同的表型。
Pulm Circ. 2015 Jun;5(2):327-34. doi: 10.1086/680356.
8
Validity of the surface electrocardiogram criteria for right ventricular hypertrophy: the MESA-RV Study (Multi-Ethnic Study of Atherosclerosis-Right Ventricle).表面心电图标准诊断右心室肥厚的有效性:MESA-RV 研究(动脉粥样硬化多民族研究-右心室)。
J Am Coll Cardiol. 2014 Feb 25;63(7):672-681. doi: 10.1016/j.jacc.2013.08.1633. Epub 2013 Sep 28.
9
Improved ECG detection of presence and severity of right ventricular pressure load validated with cardiac magnetic resonance imaging.经心脏磁共振成像验证,心电图对右心室压力负荷的存在及严重程度的检测得到改善。
Am J Physiol Heart Circ Physiol. 2008 May;294(5):H2150-7. doi: 10.1152/ajpheart.01312.2007. Epub 2008 Feb 29.
10
Utility of the amplitude of RV1+SV5/6 in assessment of pulmonary hypertension.右心室 1 波(RV1)+ 胸导联 V5 波+V6 波振幅在肺动脉高压评估中的应用。
PLoS One. 2018 Nov 26;13(11):e0206856. doi: 10.1371/journal.pone.0206856. eCollection 2018.

引用本文的文献

1
The Diagnostic Accuracy of an Electrocardiogram in Pulmonary Hypertension and the Role of "R V1, V2 + S I, aVL - S V1".心电图对肺动脉高压的诊断准确性及“RV1、V2 + SI、aVL - SV1”的作用
J Clin Med. 2024 Dec 13;13(24):7613. doi: 10.3390/jcm13247613.
2
ECG changes following balloon pulmonary angioplasty in patients with chronic thromboembolic pulmonary hypertension: a retrospective study.球囊肺动脉成形术后慢性血栓栓塞性肺动脉高压患者心电图改变:一项回顾性研究。
J Cardiothorac Surg. 2024 Aug 21;19(1):484. doi: 10.1186/s13019-024-02960-z.
3
Analysis of Electrocardiographic Criteria of Right Ventricular Hypertrophy in Patients with Chronic Thromboembolic Pulmonary Hypertension before and after Balloon Pulmonary Angioplasty.

本文引用的文献

1
The utility of modified Butler-Leggett criteria for right ventricular hypertrophy in detection of clinically significant shunt ratio in ostium secundum-type atrial septal defect in adults.改良巴特勒-莱格特标准用于检测成人继发孔型房间隔缺损中具有临床意义的分流比时对右心室肥厚的效用。
J Electrocardiol. 2010 Mar-Apr;43(2):161-6. doi: 10.1016/j.jelectrocard.2009.10.001. Epub 2009 Dec 2.
2
Outcome measures in pulmonary arterial hypertension associated with systemic sclerosis.系统性硬化症相关肺动脉高压的结局指标
Rheumatology (Oxford). 2008 Oct;47 Suppl 5:v39-41. doi: 10.1093/rheumatology/ken308.
3
ECG monitoring of treatment response in pulmonary arterial hypertension patients.
慢性血栓栓塞性肺动脉高压患者球囊肺动脉血管成形术前、后右心室肥厚的心电图标准分析
J Clin Med. 2023 Jun 21;12(13):4196. doi: 10.3390/jcm12134196.
4
The Succinate Receptor GPR91 Is Involved in Pressure Overload-Induced Ventricular Hypertrophy.琥珀酸受体GPR91参与压力超负荷诱导的心室肥厚。
PLoS One. 2016 Jan 29;11(1):e0147597. doi: 10.1371/journal.pone.0147597. eCollection 2016.
5
Validity of the surface electrocardiogram criteria for right ventricular hypertrophy: the MESA-RV Study (Multi-Ethnic Study of Atherosclerosis-Right Ventricle).表面心电图标准诊断右心室肥厚的有效性:MESA-RV 研究(动脉粥样硬化多民族研究-右心室)。
J Am Coll Cardiol. 2014 Feb 25;63(7):672-681. doi: 10.1016/j.jacc.2013.08.1633. Epub 2013 Sep 28.
肺动脉高压患者治疗反应的心电图监测
Chest. 2008 Dec;134(6):1250-1257. doi: 10.1378/chest.08-0461. Epub 2008 Jul 18.
4
Improved ECG detection of presence and severity of right ventricular pressure load validated with cardiac magnetic resonance imaging.经心脏磁共振成像验证,心电图对右心室压力负荷的存在及严重程度的检测得到改善。
Am J Physiol Heart Circ Physiol. 2008 May;294(5):H2150-7. doi: 10.1152/ajpheart.01312.2007. Epub 2008 Feb 29.
5
Predictive values of the electrocardiogram in diagnosing pulmonary hypertension.心电图在诊断肺动脉高压中的预测价值。
Int J Cardiol. 2008 Jul 4;127(2):214-8. doi: 10.1016/j.ijcard.2007.06.005. Epub 2007 Jul 24.
6
Determination of cardiac volumes and mass with FLASH and SSFP cine sequences at 1.5 vs. 3 Tesla: a validation study.使用快速小角度激发(FLASH)和稳态自由进动(SSFP)电影序列在1.5特斯拉与3特斯拉磁场强度下测定心脏容积和质量:一项验证研究。
J Magn Reson Imaging. 2006 Aug;24(2):312-8. doi: 10.1002/jmri.20638.
7
Sildenafil versus Endothelin Receptor Antagonist for Pulmonary Hypertension (SERAPH) study.西地那非与内皮素受体拮抗剂治疗肺动脉高压(SERAPH)研究
Am J Respir Crit Care Med. 2005 Jun 1;171(11):1292-7. doi: 10.1164/rccm.200410-1411OC. Epub 2005 Mar 4.
8
Impact of papillary muscles in ventricular volume and ejection fraction assessment by cardiovascular magnetic resonance.乳头肌对心血管磁共振评估心室容积和射血分数的影响。
J Cardiovasc Magn Reson. 2004;6(1):9-16. doi: 10.1081/jcmr-120027800.
9
Ventricular mass index using magnetic resonance imaging accurately estimates pulmonary artery pressure.使用磁共振成像的心室质量指数可准确估算肺动脉压力。
Eur Respir J. 2002 Dec;20(6):1519-24. doi: 10.1183/09031936.02.00014602.
10
Normal human right and left ventricular mass, systolic function, and gender differences by cine magnetic resonance imaging.通过电影磁共振成像观察正常人类左右心室质量、收缩功能及性别差异。
J Cardiovasc Magn Reson. 1999;1(1):7-21. doi: 10.3109/10976649909080829.