Suppr超能文献

心境障碍患者自杀的前额叶皮质、前扣带皮层和伏隔核中的基因表达变化。

Gene expression changes in the prefrontal cortex, anterior cingulate cortex and nucleus accumbens of mood disorders subjects that committed suicide.

机构信息

Department of Psychiatry and Human Behavior, University of California Irvine, Irvine, California, United States of America.

出版信息

PLoS One. 2012;7(4):e35367. doi: 10.1371/journal.pone.0035367. Epub 2012 Apr 30.

Abstract

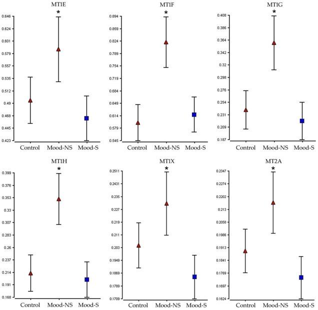
Suicidal behaviors are frequent in mood disorders patients but only a subset of them ever complete suicide. Understanding predisposing factors for suicidal behaviors in high risk populations is of major importance for the prevention and treatment of suicidal behaviors. The objective of this project was to investigate gene expression changes associated with suicide in brains of mood disorder patients by microarrays (Affymetrix HG-U133 Plus2.0) in the dorsolateral prefrontal cortex (DLPFC: 6 Non-suicides, 15 suicides), the anterior cingulate cortex (ACC: 6NS, 9S) and the nucleus accumbens (NAcc: 8NS, 13S). ANCOVA was used to control for age, gender, pH and RNA degradation, with P ≤ 0.01 and fold change ± 1.25 as criteria for significance. Pathway analysis revealed serotonergic signaling alterations in the DLPFC and glucocorticoid signaling alterations in the ACC and NAcc. The gene with the lowest p-value in the DLPFC was the 5-HT2A gene, previously associated both with suicide and mood disorders. In the ACC 6 metallothionein genes were down-regulated in suicide (MT1E, MT1F, MT1G, MT1H, MT1X, MT2A) and three were down-regulated in the NAcc (MT1F, MT1G, MT1H). Differential expression of selected genes was confirmed by qPCR, we confirmed the 5-HT2A alterations and the global down-regulation of members of the metallothionein subfamilies MT 1 and 2 in suicide completers. MTs 1 and 2 are neuro-protective following stress and glucocorticoid stimulations, suggesting that in suicide victims neuroprotective response to stress and cortisol may be diminished. Our results thus suggest that suicide-specific expression changes in mood disorders involve both glucocorticoids regulated metallothioneins and serotonergic signaling in different regions of the brain.

摘要

自杀行为在心境障碍患者中很常见,但只有一部分患者会完成自杀。了解高危人群自杀行为的易患因素对于预防和治疗自杀行为至关重要。本项目的目的是通过微阵列(Affymetrix HG-U133 Plus2.0)研究与心境障碍患者自杀相关的基因表达变化,在背外侧前额叶皮层(DLPFC:6 名非自杀者,15 名自杀者)、前扣带回皮层(ACC:6NS,9S)和伏隔核(NAcc:8NS,13S)中。采用协方差分析(ANCOVA)控制年龄、性别、pH 值和 RNA 降解,以 P ≤ 0.01 和倍数变化±1.25 作为显著性标准。通路分析显示,DLPFC 中 5-羟色胺能信号改变,ACC 和 NAcc 中糖皮质激素信号改变。DLPFC 中 p 值最低的基因是 5-HT2A 基因,该基因先前与自杀和心境障碍均有关。ACC 中有 6 个金属硫蛋白基因在自杀中下调(MT1E、MT1F、MT1G、MT1H、MT1X、MT2A),3 个在 NAcc 中下调(MT1F、MT1G、MT1H)。通过 qPCR 验证了所选基因的差异表达,我们证实了 5-HT2A 改变和金属硫蛋白亚家族 MT1 和 2 的成员在自杀完成者中的整体下调。MTs1 和 2 在应激和糖皮质激素刺激后具有神经保护作用,这表明自杀者对压力和皮质醇的神经保护反应可能减弱。因此,我们的结果表明,心境障碍中的自杀特异性表达变化既涉及糖皮质激素调节的金属硫蛋白,也涉及大脑不同区域的 5-羟色胺能信号。

https://cdn.ncbi.nlm.nih.gov/pmc/blobs/cbc3/3340369/f37afa8909ba/pone.0035367.g001.jpg

文献AI研究员

20分钟写一篇综述,助力文献阅读效率提升50倍。

立即体验

用中文搜PubMed

大模型驱动的PubMed中文搜索引擎

马上搜索

文档翻译

学术文献翻译模型,支持多种主流文档格式。

立即体验