Suppr超能文献

核苷酸切除修复家族基因活性的缺乏,特别是 ERCC3,与非色素性毛发纤维的生长有关。

Deficiency in nucleotide excision repair family gene activity, especially ERCC3, is associated with non-pigmented hair fiber growth.

机构信息

Department of Dermatology and Skin Science, University of British Columbia, Vancouver, Canada.

出版信息

PLoS One. 2012;7(5):e34185. doi: 10.1371/journal.pone.0034185. Epub 2012 May 16.

Abstract

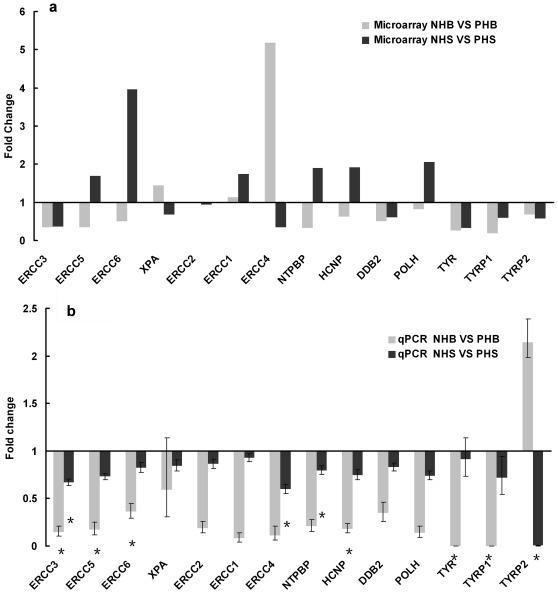
We conducted a microarray study to discover gene expression patterns associated with a lack of melanogenesis in non-pigmented hair follicles (HF) by microarray. Pigmented and non-pigmented HFs were collected and micro-dissected into the hair bulb (HB) and the upper hair sheaths (HS) including the bulge region. In comparison to pigmented HS and HBs, nucleotide excision repair (NER) family genes ERCC1, ERCC2, ERCC3, ERCC4, ERCC5, ERCC6, XPA, NTPBP, HCNP, DDB2 and POLH exhibited statistically significantly lower expression in non- pigmented HS and HBs. Quantitative PCR verified microarray data and identified ERCC3 as highly differentially expressed. Immunohistochemistry confirmed ERCC3 expression in HF melanocytes. A reduction in ERCC3 by siRNA interference in human melanocytes in vitro reduced their tyrosinase production ability. Our results suggest that loss of NER gene function is associated with a loss of melanin production capacity. This may be due to reduced gene transcription and/or reduced DNA repair in melanocytes which may eventually lead to cell death. These results provide novel information with regard to melanogenesis and its regulation.

摘要

我们通过微阵列进行了一项研究,以发现与非色素性毛囊(HF)中黑色素生成缺乏相关的基因表达模式。收集有色素和无色素的 HF,并将其微切割成毛球(HB)和包括隆起区域在内的上毛鞘(HS)。与有色素的 HS 和 HBs 相比,核苷酸切除修复(NER)家族基因 ERCC1、ERCC2、ERCC3、ERCC4、ERCC5、ERCC6、XPA、NTPBP、HCNP、DDB2 和 POLH 在非色素性 HS 和 HBs 中的表达明显较低。定量 PCR 验证了微阵列数据,并确定 ERCC3 表达高度差异。免疫组织化学证实 ERCC3 在 HF 黑素细胞中的表达。体外用人黑素细胞中的 siRNA 干扰降低 ERCC3 的表达会降低其酪氨酸酶产生能力。我们的结果表明,NER 基因功能的丧失与黑色素产生能力的丧失有关。这可能是由于黑素细胞中的基因转录减少和/或 DNA 修复减少,最终可能导致细胞死亡。这些结果为黑色素生成及其调节提供了新的信息。

https://cdn.ncbi.nlm.nih.gov/pmc/blobs/e06a/3353974/ac156ed099a4/pone.0034185.g001.jpg

文献AI研究员

20分钟写一篇综述,助力文献阅读效率提升50倍。

立即体验

用中文搜PubMed

大模型驱动的PubMed中文搜索引擎

马上搜索

文档翻译

学术文献翻译模型,支持多种主流文档格式。

立即体验