• 文献检索
  • 文档翻译
  • 深度研究
  • 学术资讯
  • Suppr Zotero 插件Zotero 插件
  • 邀请有礼
  • 套餐&价格
  • 历史记录
应用&插件
Suppr Zotero 插件Zotero 插件浏览器插件Mac 客户端Windows 客户端微信小程序
定价
高级版会员购买积分包购买API积分包
服务
文献检索文档翻译深度研究API 文档MCP 服务
关于我们
关于 Suppr公司介绍联系我们用户协议隐私条款
关注我们

Suppr 超能文献

核心技术专利:CN118964589B侵权必究
粤ICP备2023148730 号-1Suppr @ 2026

文献检索

告别复杂PubMed语法,用中文像聊天一样搜索,搜遍4000万医学文献。AI智能推荐,让科研检索更轻松。

立即免费搜索

文件翻译

保留排版,准确专业,支持PDF/Word/PPT等文件格式,支持 12+语言互译。

免费翻译文档

深度研究

AI帮你快速写综述,25分钟生成高质量综述,智能提取关键信息,辅助科研写作。

立即免费体验

在一种啮齿动物中,没有证据表明生殖投资和免疫之间存在权衡。

No evidence for a trade-off between reproductive investment and immunity in a rodent.

机构信息

State Key Laboratory of Integrated Management of Pest Insects and Rodents, Institute of Zoology, Chinese Academy of Sciences, Beijing, China.

出版信息

PLoS One. 2012;7(5):e37182. doi: 10.1371/journal.pone.0037182. Epub 2012 May 23.

DOI:10.1371/journal.pone.0037182
PMID:22649512
原文链接:https://pmc.ncbi.nlm.nih.gov/articles/PMC3359356/
Abstract

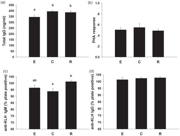
Life history theory assumes there are trade-offs between competing functions such as reproduction and immunity. Although well studied in birds, studies of the trade-offs between reproduction and immunity in small mammals are scarce. Here we examined whether reduced immunity is a consequence of reproductive effort in lactating Brandt's voles (Lasiopodomys brandtii). Specifically, we tested the effects of lactation on immune function (Experiment I). The results showed that food intake and resting metabolic rate (RMR) were higher in lactating voles (6≤ litter size ≤8) than that in non-reproductive voles. Contrary to our expectation, lactating voles also had higher levels of serum total Immunoglobulin G (IgG) and anti-keyhole limpet hemocyanin (KLH) IgG and no change in phytohemagglutinin (PHA) response and anti-KLH Immunoglobulin M (IgM) compared with non-reproductive voles, suggesting improved rather than reduced immune function. To further test the effect of differences in reproductive investment on immunity, we compared the responses between natural large (n≥8) and small litter size (n≤6) (Experiment II) and manipulated large (11-13) and small litter size (2-3) (Experiment III). During peak lactation, acquired immunity (PHA response, anti-KLH IgG and anti-KLH IgM) was not significantly different between voles raising large or small litters in both experiments, despite the measured difference in reproductive investment (greater litter size, litter mass, RMR and food intake in the voles raising larger litters). Total IgG was higher in voles with natural large litter size than those with natural small litter size, but decreased in the enlarged litter size group compared with control and reduced group. Our results showed that immune function is not suppressed to compensate the high energy demands during lactation in Brandt's voles and contrasting the situation in birds, is unlikely to be an important aspect mediating the trade-off between reproduction and survival.

摘要

生活史理论假设在繁殖和免疫等竞争功能之间存在权衡。尽管在鸟类中得到了很好的研究,但对小型哺乳动物中繁殖和免疫之间的权衡研究却很少。在这里,我们研究了哺乳期 Brandt 田鼠(Lasiopodomys brandtii)的繁殖努力是否会降低免疫力。具体来说,我们测试了哺乳期对免疫功能的影响(实验 I)。结果表明,哺乳期(6≤窝仔数≤8)田鼠的食物摄入量和静息代谢率(RMR)高于非繁殖田鼠。与我们的预期相反,与非繁殖田鼠相比,哺乳期田鼠的血清总免疫球蛋白 G(IgG)和抗血蓝蛋白 IgG 水平也更高,植物血球凝集素(PHA)反应和抗血蓝蛋白 IgM 没有变化,表明免疫功能得到改善而不是降低。为了进一步测试繁殖投资差异对免疫的影响,我们比较了自然大(n≥8)和小窝仔数(n≤6)(实验 II)以及大(11-13)和小窝仔数(2-3)(实验 III)之间的反应。在哺乳期高峰期,尽管在繁殖投资方面存在差异(产仔较多的田鼠具有较大的窝仔数、窝仔质量、RMR 和食物摄入量),但在两个实验中,产仔较大或较小窝仔的田鼠的获得性免疫(PHA 反应、抗血蓝蛋白 IgG 和抗血蓝蛋白 IgM)没有明显差异。与自然小窝仔数的田鼠相比,自然大窝仔数的田鼠总 IgG 更高,但与对照组和减少组相比,大窝仔数组的 IgG 降低。我们的结果表明,免疫功能没有受到抑制,以补偿 Brandt 田鼠哺乳期的高能量需求,与鸟类的情况相反,它不太可能是繁殖和生存之间权衡的重要方面。

https://cdn.ncbi.nlm.nih.gov/pmc/blobs/02b9/3359356/e99eef31f94c/pone.0037182.g005.jpg
https://cdn.ncbi.nlm.nih.gov/pmc/blobs/02b9/3359356/90760f7cf960/pone.0037182.g001.jpg
https://cdn.ncbi.nlm.nih.gov/pmc/blobs/02b9/3359356/0e25195e8633/pone.0037182.g002.jpg
https://cdn.ncbi.nlm.nih.gov/pmc/blobs/02b9/3359356/6e5e9b54e906/pone.0037182.g003.jpg
https://cdn.ncbi.nlm.nih.gov/pmc/blobs/02b9/3359356/fbfe918a86a6/pone.0037182.g004.jpg
https://cdn.ncbi.nlm.nih.gov/pmc/blobs/02b9/3359356/e99eef31f94c/pone.0037182.g005.jpg
https://cdn.ncbi.nlm.nih.gov/pmc/blobs/02b9/3359356/90760f7cf960/pone.0037182.g001.jpg
https://cdn.ncbi.nlm.nih.gov/pmc/blobs/02b9/3359356/0e25195e8633/pone.0037182.g002.jpg
https://cdn.ncbi.nlm.nih.gov/pmc/blobs/02b9/3359356/6e5e9b54e906/pone.0037182.g003.jpg
https://cdn.ncbi.nlm.nih.gov/pmc/blobs/02b9/3359356/fbfe918a86a6/pone.0037182.g004.jpg
https://cdn.ncbi.nlm.nih.gov/pmc/blobs/02b9/3359356/e99eef31f94c/pone.0037182.g005.jpg

相似文献

1
No evidence for a trade-off between reproductive investment and immunity in a rodent.在一种啮齿动物中,没有证据表明生殖投资和免疫之间存在权衡。
PLoS One. 2012;7(5):e37182. doi: 10.1371/journal.pone.0037182. Epub 2012 May 23.
2
Limits to sustained energy intake. XI. A test of the heat dissipation limitation hypothesis in lactating Brandt's voles (Lasiopodomys brandtii).能量摄入的限制。十一。对哺乳期布氏田鼠(Lasiopodomys brandtii)散热限制假说的检验。
J Exp Biol. 2009 Nov;212(Pt 21):3455-65. doi: 10.1242/jeb.030338.
3
Large litter size increases maternal energy intake but has no effect on UCP1 content and serum-leptin concentrations in lactating Brandt's voles (Lasiopodomys brandtii).产仔数多会增加母体的能量摄入,但对哺乳期布氏田鼠(Lasiopodomys brandtii)的解偶联蛋白1含量和血清瘦素浓度没有影响。
J Comp Physiol B. 2008 Jul;178(5):637-45. doi: 10.1007/s00360-008-0255-y. Epub 2008 Feb 19.
4
Humoral immune response suppresses reproductive physiology in male Brandt's voles (Lasiopodomys brandtii).体液免疫反应会抑制雄性布氏田鼠(Lasiopodomys brandtii)的生殖生理。
Zoology (Jena). 2009;112(1):69-75. doi: 10.1016/j.zool.2008.04.006. Epub 2008 Nov 28.
5
Thermogenesis, food intake and serum leptin in cold-exposed lactating Brandt's voles Lasiopodomys brandtii.冷暴露条件下布氏田鼠哺乳期的产热、食物摄入及血清瘦素水平
J Exp Biol. 2007 Feb;210(Pt 3):512-21. doi: 10.1242/jeb.02659.
6
Different physiological roles of serum leptin in the regulation of energy intake and thermogenesis between pregnancy and lactation in primiparous Brandt's voles (Lasiopodomys brandtii).初产布氏田鼠孕期与哺乳期血清瘦素在能量摄入调节和产热过程中的不同生理作用
Comp Biochem Physiol C Toxicol Pharmacol. 2008 Nov;148(4):390-400. doi: 10.1016/j.cbpc.2008.01.013. Epub 2008 Feb 5.
7
Re-feeding evokes reproductive overcompensation of food-restricted Brandt's voles.重新喂养会引起限制食物的布氏田鼠的繁殖过度补偿。
Physiol Behav. 2012 Feb 1;105(3):653-60. doi: 10.1016/j.physbeh.2011.09.026. Epub 2011 Oct 12.
8
Effects of leptin supplementation to lactating Brandt's voles (Lasiopodomys brandtii) on the developmental responses of their offspring to a high-fat diet.瘦素补充对哺乳期布氏田鼠(Lasiopodomys brandtii)的影响及其对后代高脂肪饮食发育反应的影响。
J Comp Physiol B. 2011 Aug;181(6):829-39. doi: 10.1007/s00360-011-0560-8. Epub 2011 Mar 3.
9
Litter size variation in hypothalamic gene expression determines adult metabolic phenotype in Brandt's voles (Lasiopodomys brandtii).下丘脑基因表达的 litter 大小变异决定了 Brandt's 田鼠(Lasiopodomys brandtii)的成年代谢表型。
PLoS One. 2011;6(5):e19913. doi: 10.1371/journal.pone.0019913. Epub 2011 May 26.
10
Effects of leptin infusion during peak lactation on food intake, body composition, litter growth, and maternal neuroendocrine status in female Brandt's voles (Lasiopodomys brandtii).哺乳期高峰期输注瘦素对雌性布氏田鼠(Lasiopodomys brandtii)摄食、体成分、窝仔生长和母性行为神经内分泌状态的影响。
Am J Physiol Regul Integr Comp Physiol. 2011 Feb;300(2):R447-59. doi: 10.1152/ajpregu.00121.2010. Epub 2010 Dec 1.

引用本文的文献

1
A global-scale dataset of bat viral detection suggests that pregnancy reduces viral shedding.一项全球范围内蝙蝠病毒检测数据集表明,怀孕会减少病毒传播。
Proc Biol Sci. 2025 Apr;292(2045):20242381. doi: 10.1098/rspb.2024.2381. Epub 2025 Apr 16.
2
Reproduction results in parallel changes of oxidative stress and immunocompetence in a wild long-living mammal-edible dormouse .生殖导致野生长寿哺乳动物——食虫榛睡鼠的氧化应激和免疫能力同时发生变化。
Biol Lett. 2024 Oct;20(10):20240257. doi: 10.1098/rsbl.2024.0257. Epub 2024 Oct 30.
3
Hot and scared: how do heatwaves and predation risk impact resource acquisition and allocation?

本文引用的文献

1
Reproduction and population density affect humoral immunity in bank voles under field experimental conditions.在野外实验条件下,繁殖和种群密度会影响小林姬鼠的体液免疫。
Oecologia. 2000 Aug;124(3):358-366. doi: 10.1007/s004420000395.
2
Experimental litter size reduction reveals costs of gestation and delayed effects on offspring in a viviparous lizard.实验性产仔数减少揭示了胎生蜥蜴妊娠和对后代延迟影响的代价。
Proc Biol Sci. 2012 Feb 7;279(1728):489-98. doi: 10.1098/rspb.2011.0966. Epub 2011 Jun 29.
3
Ecological immunology: costly parasite defences and trade-offs in evolutionary ecology.
炎热与恐惧:热浪和捕食风险如何影响资源获取与分配?
Biol Lett. 2024 Apr;20(4):20240009. doi: 10.1098/rsbl.2024.0009. Epub 2024 Apr 24.
4
A global-scale dataset of bat viral detection suggests that pregnancy reduces viral shedding.一项全球范围内蝙蝠病毒检测数据集表明,怀孕会减少病毒传播。
bioRxiv. 2024 Feb 26:2024.02.25.581969. doi: 10.1101/2024.02.25.581969.
5
Characterization of trade-offs between immunity and reproduction in the coral species .描述珊瑚物种中免疫和繁殖之间的权衡关系。
PeerJ. 2023 Dec 4;11:e16586. doi: 10.7717/peerj.16586. eCollection 2023.
6
No evidence for trans-generational immune priming in Drosophila melanogaster.没有证据表明果蝇存在跨代免疫原性。
PLoS One. 2023 Jul 13;18(7):e0288342. doi: 10.1371/journal.pone.0288342. eCollection 2023.
7
No evidence of metabolic costs following adaptive immune activation or reactivation in house sparrows.在麻雀体内,适应性免疫激活或重新激活后没有代谢成本的证据。
Biol Lett. 2022 Jun;18(6):20220036. doi: 10.1098/rsbl.2022.0036. Epub 2022 Jun 15.
8
From phenoloxidase to fecundity: food availability does not influence the costs of oxidative challenge in a wing-dimorphic cricket.从酚氧化酶到繁殖力:食物供应并不影响翼型二态蟋蟀氧化应激的代价。
J Comp Physiol B. 2020 Jan;190(1):17-26. doi: 10.1007/s00360-019-01244-6. Epub 2019 Nov 13.
9
Life History Trade-offs within the Context of Mitochondrial Hormesis.线粒体兴奋效应背景下的生活史权衡
Integr Comp Biol. 2018 Sep 1;58(3):567-577. doi: 10.1093/icb/icy073.
10
Immune response from a resource allocation perspective.从资源分配的角度看免疫反应。
Front Genet. 2012 Dec 14;3:267. doi: 10.3389/fgene.2012.00267. eCollection 2012.
生态免疫学:进化生态学中的代价高昂的寄生虫防御和权衡。
Trends Ecol Evol. 1996 Aug;11(8):317-21. doi: 10.1016/0169-5347(96)10039-2.
4
Physiological limits to sustainable energy budgets in birds and mammals: Ecological implications.鸟类和哺乳动物可持续能量预算的生理极限:生态影响
Trends Ecol Evol. 1992 Nov;7(11):384-8. doi: 10.1016/0169-5347(92)90009-Z.
5
Cost of reproduction and covariation of life history traits in birds.鸟类繁殖成本与生活史特征的协同进化
Trends Ecol Evol. 1989 Dec;4(12):367-71. doi: 10.1016/0169-5347(89)90101-8.
6
Thermal physiology and energetics in male desert hamsters (Phodopus roborovskii) during cold acclimation.寒冷适应过程中雄性沙漠仓鼠(Phodopus roborovskii)的热生理学和能量学。
J Comp Physiol B. 2011 Jan;181(1):91-103. doi: 10.1007/s00360-010-0506-6. Epub 2010 Aug 17.
7
Maximal heat dissipation capacity and hyperthermia risk: neglected key factors in the ecology of endotherms.最大散热能力和过热风险:内温动物生态学中被忽视的关键因素。
J Anim Ecol. 2010 Jul;79(4):726-46. doi: 10.1111/j.1365-2656.2010.01689.x. Epub 2010 Apr 28.
8
Limits to sustained energy intake. XI. A test of the heat dissipation limitation hypothesis in lactating Brandt's voles (Lasiopodomys brandtii).能量摄入的限制。十一。对哺乳期布氏田鼠(Lasiopodomys brandtii)散热限制假说的检验。
J Exp Biol. 2009 Nov;212(Pt 21):3455-65. doi: 10.1242/jeb.030338.
9
Maternal transfer of antibodies in vertebrates: trans-generational effects on offspring immunity.脊椎动物中抗体的母源转移:对后代免疫力的跨代影响。
Philos Trans R Soc Lond B Biol Sci. 2009 Jan 12;364(1513):51-60. doi: 10.1098/rstb.2008.0137.
10
Maternal transfer of antibodies: raising immuno-ecology issues.抗体的母体传递:引发免疫生态学问题。
Trends Ecol Evol. 2008 May;23(5):282-8. doi: 10.1016/j.tree.2007.12.006. Epub 2008 Apr 2.