Suppr超能文献

交配成功和精子竞争在消除黑腹果蝇中有害突变的相对效果。

Relative effectiveness of mating success and sperm competition at eliminating deleterious mutations in Drosophila melanogaster.

机构信息

Department of Ecology and Evolutionary Biology, University of Toronto, Toronto, Ontario, Canada.

出版信息

PLoS One. 2012;7(5):e37351. doi: 10.1371/journal.pone.0037351. Epub 2012 May 25.

Abstract

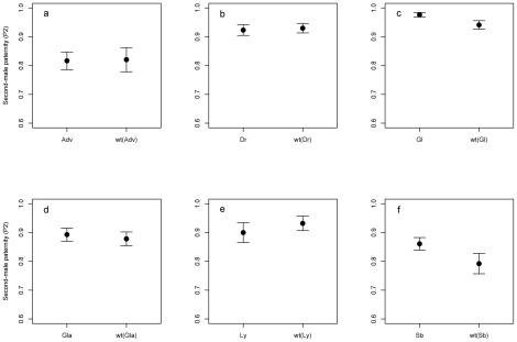
Condition-dependence theory predicts that sexual selection will facilitate adaptation by selecting against deleterious mutations that affect the expression of sexually selected traits indirectly via condition. Recent empirical studies have provided support for this prediction; however, their results do not elucidate the relative effects of pre- and postcopulatory sexual selection on deleterious mutations. We used the Drosophila melanogaster model system to discern the relative contributions of pre- and postcopulatory processes to selection against deleterious mutations. To assess second-male ejaculate competition success (P2; measured as the proportion of offspring attributable to the experimental male) and mating success, mutant and wild-type male D. melanogaster were given the opportunity to mate with females that were previously mated to a standard competitor male. This process was repeated for males subjected to a diet quality manipulation to test for effects of environmentally-manipulated condition on P2 and mating success. While none of the tested mutations affected P2, there was a clear effect of condition. Conversely, several of the mutations affected mating success, while condition showed no effect. Our results suggest that precopulatory selection may be more effective than postcopulatory selection at removing deleterious mutations. The opposite result obtained for our diet manipulation points to an interesting discrepancy between environmental and genetic manipulations of condition, which may be explained by the multidimensionality of condition. Establishing whether the various stages of sexual selection affect deleterious mutations differently, and to what extent, remains an important issue to resolve.

摘要

条件依赖理论预测,性选择将通过选择那些间接影响有性选择特征表达的有害突变来促进适应,这些突变受到条件的影响。最近的实证研究为这一预测提供了支持;然而,它们的结果并没有阐明有性选择的预交配和交配后阶段对有害突变的相对影响。我们使用黑腹果蝇模型系统来区分预交配和交配后过程对有害突变选择的相对贡献。为了评估第二雄虫精液竞争成功(P2;以归因于实验雄虫的后代比例来衡量)和交配成功,突变型和野生型雄虫黑腹果蝇有机会与先前与标准竞争雄虫交配过的雌虫交配。对雄性进行饮食质量操纵以检验环境操纵的条件对 P2 和交配成功的影响,重复这个过程。虽然测试的突变没有一个影响 P2,但条件有明显的影响。相反,有几个突变影响了交配成功,而条件没有影响。我们的结果表明,预交配选择可能比交配后选择更有效地去除有害突变。我们的饮食操纵得到的相反结果表明,环境和遗传条件操纵之间存在有趣的差异,这可能是由条件的多维性解释的。确定性选择的各个阶段对有害突变的影响是否不同,以及影响程度如何,仍然是一个需要解决的重要问题。

https://cdn.ncbi.nlm.nih.gov/pmc/blobs/9b10/3360693/8d441b65f9dd/pone.0037351.g001.jpg

文献AI研究员

20分钟写一篇综述,助力文献阅读效率提升50倍。

立即体验

用中文搜PubMed

大模型驱动的PubMed中文搜索引擎

马上搜索

文档翻译

学术文献翻译模型,支持多种主流文档格式。

立即体验