Suppr超能文献

内侧前额叶皮质5-羟色胺1A和2A受体结合相互作用以预测与威胁相关的杏仁核反应性。

Medial prefrontal cortex serotonin 1A and 2A receptor binding interacts to predict threat-related amygdala reactivity.

作者信息

Fisher Patrick M, Price Julie C, Meltzer Carolyn C, Moses-Kolko Eydie L, Becker Carl, Berga Sarah L, Hariri Ahmad R

机构信息

Center for Neuroscience, University of Pittsburgh, Pittsburgh, Pennsylvania 15260, USA.

出版信息

Biol Mood Anxiety Disord. 2011 Sep 27;1(1):2. doi: 10.1186/2045-5380-1-2.

Abstract

BACKGROUND

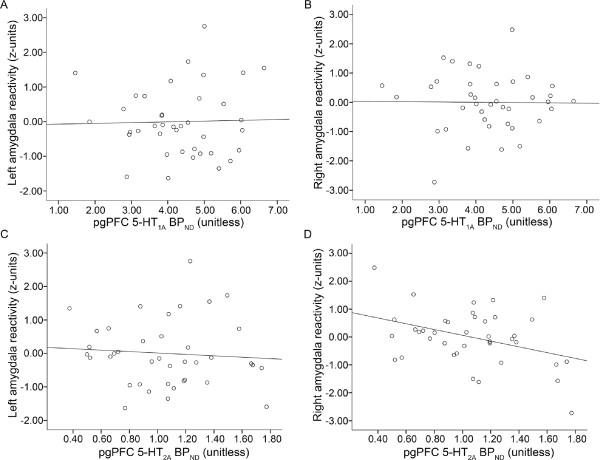
The amygdala and medial prefrontal cortex (mPFC) comprise a key corticolimbic circuit that helps shape individual differences in sensitivity to threat and the related risk for psychopathology. Although serotonin (5-HT) is known to be a key modulator of this circuit, the specific receptors mediating this modulation are unclear. The colocalization of 5-HT1A and 5-HT2A receptors on mPFC glutamatergic neurons suggests that their functional interactions may mediate 5-HT effects on this circuit through top-down regulation of amygdala reactivity. Using a multimodal neuroimaging strategy in 39 healthy volunteers, we determined whether threat-related amygdala reactivity, assessed with blood oxygen level-dependent functional magnetic resonance imaging, was significantly predicted by the interaction between mPFC 5-HT1A and 5-HT2A receptor levels, assessed by positron emission tomography.

RESULTS

5-HT1A binding in the mPFC significantly moderated an inverse correlation between mPFC 5-HT2A binding and threat-related amygdala reactivity. Specifically, mPFC 5-HT2A binding was significantly inversely correlated with amygdala reactivity only when mPFC 5-HT1A binding was relatively low.

CONCLUSIONS

Our findings provide evidence that 5-HT1A and 5-HT2A receptors interact to shape serotonergic modulation of a functional circuit between the amygdala and mPFC. The effect of the interaction between mPFC 5-HT1A and 5-HT2A binding and amygdala reactivity is consistent with the colocalization of these receptors on glutamatergic neurons in the mPFC.

摘要

背景

杏仁核和内侧前额叶皮质(mPFC)构成了一个关键的皮质边缘回路,该回路有助于塑造个体对威胁的敏感性差异以及相关的精神病理学风险。虽然已知血清素(5-HT)是该回路的关键调节因子,但介导这种调节的具体受体尚不清楚。5-HT1A和5-HT2A受体在mPFC谷氨酸能神经元上的共定位表明,它们的功能相互作用可能通过对杏仁核反应性的自上而下调节来介导5-HT对该回路的影响。我们对39名健康志愿者采用多模态神经成像策略,确定通过正电子发射断层扫描评估的mPFC 5-HT1A和5-HT2A受体水平之间的相互作用是否能显著预测通过血氧水平依赖性功能磁共振成像评估的与威胁相关的杏仁核反应性。

结果

mPFC中5-HT1A结合显著调节了mPFC 5-HT2A结合与威胁相关的杏仁核反应性之间的负相关。具体而言,只有当mPFC 5-HT1A结合相对较低时,mPFC 5-HT2A结合才与杏仁核反应性显著负相关。

结论

我们的研究结果提供了证据,表明5-HT1A和5-HT2A受体相互作用,以塑造血清素对杏仁核和mPFC之间功能回路的调节。mPFC 5-HT1A和5-HT2A结合与杏仁核反应性之间相互作用的效应与这些受体在mPFC谷氨酸能神经元上的共定位一致。

https://cdn.ncbi.nlm.nih.gov/pmc/blobs/fbe0/3377121/6c7b5933b63c/2045-5380-1-2-1.jpg

文献检索

告别复杂PubMed语法,用中文像聊天一样搜索,搜遍4000万医学文献。AI智能推荐,让科研检索更轻松。

立即免费搜索

文件翻译

保留排版,准确专业,支持PDF/Word/PPT等文件格式,支持 12+语言互译。

免费翻译文档

深度研究

AI帮你快速写综述,25分钟生成高质量综述,智能提取关键信息,辅助科研写作。

立即免费体验