Suppr超能文献

高潮气量复苏会引起早产儿羊的脑血流动力学紊乱、脑炎症和损伤。

Initiation of resuscitation with high tidal volumes causes cerebral hemodynamic disturbance, brain inflammation and injury in preterm lambs.

机构信息

The Ritchie Centre, Monash Institute of Medical Research, Monash University, Clayton, Victoria, Australia.

出版信息

PLoS One. 2012;7(6):e39535. doi: 10.1371/journal.pone.0039535. Epub 2012 Jun 22.

Abstract

AIMS

Preterm infants can be inadvertently exposed to high tidal volumes (V(T)) in the delivery room, causing lung inflammation and injury, but little is known about their effects on the brain. The aim of this study was to compare an initial 15 min of high V(T) resuscitation strategy to a less injurious resuscitation strategy on cerebral haemodynamics, inflammation and injury.

METHODS

Preterm lambs at 126 d gestation were surgically instrumented prior to receiving resuscitation with either: 1) High V(T) targeting 10-12 mL/kg for the first 15 min (n = 6) or 2) a protective resuscitation strategy (Prot V(T)), consisting of prophylactic surfactant, a 20 s sustained inflation and a lower initial V(T) (7 mL/kg; n = 6). Both groups were subsequently ventilated with a V(T) 7 mL/kg. Blood gases, arterial pressures and carotid blood flows were recorded. Cerebral blood volume and oxygenation were assessed using near infrared spectroscopy. The brain was collected for biochemical and histologic assessment of inflammation, injury, vascular extravasation, hemorrhage and oxidative injury. Unventilated controls (UVC; n = 6) were used for comparison.

RESULTS

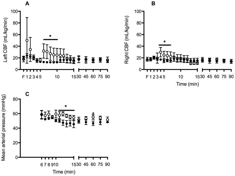
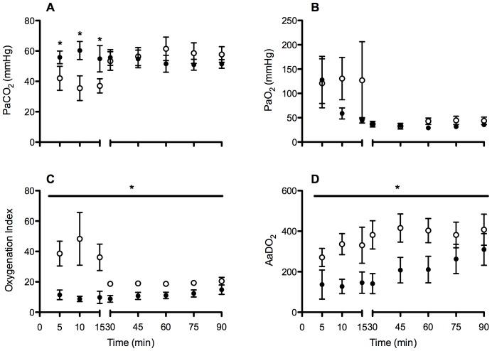
High V(T) lambs had worse oxygenation and required greater ventilatory support than Prot V(T) lambs. High V(T) resulted in cerebral haemodynamic instability during the initial 15 min, adverse cerebral tissue oxygenation index and cerebral vasoparalysis. While both resuscitation strategies increased lung and brain inflammation and oxidative stress, High V(T) resuscitation significantly amplified the effect (p = 0.014 and p<0.001). Vascular extravasation was evident in the brains of 60% of High V(T) lambs, but not in UVC or Prot V(T) lambs.

CONCLUSION

High V(T) resulted in greater cerebral haemodynamic instability, increased brain inflammation, oxidative stress and vascular extravasation than a Prot V(T) strategy. The initiation of resuscitation targeting Prot V(T) may reduce the severity of brain injury in preterm neonates.

摘要

目的

早产儿在分娩室可能会无意中暴露于高潮气量(V(T)),导致肺部炎症和损伤,但对其对大脑的影响知之甚少。本研究旨在比较初始 15 分钟高 V(T)复苏策略与较少损伤的复苏策略对脑血液动力学、炎症和损伤的影响。

方法

在接受复苏治疗之前,将 126 天妊娠的早产羔羊进行手术器械操作,复苏方法为:1)高 V(T),前 15 分钟目标为 10-12 mL/kg(n = 6)或 2)保护性复苏策略(Prot V(T)),包括预防性表面活性剂、20 秒持续充气和较低的初始 V(T)(7 mL/kg;n = 6)。两组随后均以 7 mL/kg 的 V(T)进行通气。记录血气、动脉压和颈动脉血流量。使用近红外光谱法评估脑血容量和氧合。收集大脑进行生化和组织学评估炎症、损伤、血管外渗、出血和氧化损伤。未通气对照(UVC;n = 6)用于比较。

结果

高 V(T)羔羊的氧合较差,需要更多的通气支持,而 Prot V(T)羔羊则不然。高 V(T)导致初始 15 分钟内脑血流动力学不稳定,出现不良的脑组织氧合指数和脑血管麻痹。虽然两种复苏策略都增加了肺和脑的炎症和氧化应激,但高 V(T)复苏明显放大了这种效应(p = 0.014 和 p<0.001)。血管外渗在 60%的高 V(T)羔羊的大脑中可见,但在 UVC 或 Prot V(T)羔羊中则没有。

结论

与 Prot V(T)策略相比,高 V(T)导致更大的脑血流动力学不稳定,增加了脑炎症、氧化应激和血管外渗。以 Prot V(T)为目标的复苏开始可能会减轻早产儿脑损伤的严重程度。

https://cdn.ncbi.nlm.nih.gov/pmc/blobs/64b8/3382197/aae51f424b6d/pone.0039535.g001.jpg

文献检索

告别复杂PubMed语法,用中文像聊天一样搜索,搜遍4000万医学文献。AI智能推荐,让科研检索更轻松。

立即免费搜索

文件翻译

保留排版,准确专业,支持PDF/Word/PPT等文件格式,支持 12+语言互译。

免费翻译文档

深度研究

AI帮你快速写综述,25分钟生成高质量综述,智能提取关键信息,辅助科研写作。

立即免费体验