• 文献检索
  • 文档翻译
  • 深度研究
  • 学术资讯
  • Suppr Zotero 插件Zotero 插件
  • 邀请有礼
  • 套餐&价格
  • 历史记录
应用&插件
Suppr Zotero 插件Zotero 插件浏览器插件Mac 客户端Windows 客户端微信小程序
定价
高级版会员购买积分包购买API积分包
服务
文献检索文档翻译深度研究API 文档MCP 服务
关于我们
关于 Suppr公司介绍联系我们用户协议隐私条款
关注我们

Suppr 超能文献

核心技术专利:CN118964589B侵权必究
粤ICP备2023148730 号-1Suppr @ 2026

文献检索

告别复杂PubMed语法,用中文像聊天一样搜索,搜遍4000万医学文献。AI智能推荐,让科研检索更轻松。

立即免费搜索

文件翻译

保留排版,准确专业,支持PDF/Word/PPT等文件格式,支持 12+语言互译。

免费翻译文档

深度研究

AI帮你快速写综述,25分钟生成高质量综述,智能提取关键信息,辅助科研写作。

立即免费体验

用于临床的药物级人五聚素、血清淀粉样蛋白 P 成分和 C 反应蛋白的分离和特性描述。

Isolation and characterization of pharmaceutical grade human pentraxins, serum amyloid P component and C-reactive protein, for clinical use.

机构信息

Wolfson Drug Discovery Unit, Centre for Amyloidosis and Acute Phase Proteins, Division of Medicine, University College London, Rowland Hill Street, London NW3 2PF, UK.

出版信息

J Immunol Methods. 2012 Oct 31;384(1-2):92-102. doi: 10.1016/j.jim.2012.07.013. Epub 2012 Jul 31.

DOI:10.1016/j.jim.2012.07.013
PMID:22867744
原文链接:https://pmc.ncbi.nlm.nih.gov/articles/PMC4068106/
Abstract

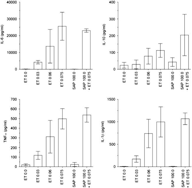
The human pentraxin proteins, serum amyloid P component (SAP) and C-reactive protein (CRP) are important in routine clinical diagnosis, SAP for systemic amyloidosis and CRP for monitoring the non-specific acute phase response. They are also targets for novel therapies currently in development but their roles in health and disease are controversial. Thus, both for clinical use and to rigorously elucidate their functions, structurally and functionally intact, pharmaceutical grade preparations of the natural, authentic proteins are required. We report here the production from normal human donor plasma and the characterization of the first such preparations. Importantly, we demonstrate that, contrary to reports using recombinant proteins and less well characterized preparations, neither CRP nor SAP stimulate the release by human peripheral blood mononuclear cells in vitro of any TNFα, IL-6 or IL-8, nor does SAP cause release of IL-1β or IL-10. Furthermore neither of our preparations was pro-inflammatory in mice in vivo.

摘要

人 pentraxin 蛋白,血清淀粉样蛋白 P 成分(SAP)和 C 反应蛋白(CRP)在常规临床诊断中很重要,SAP 用于全身性淀粉样变性,CRP 用于监测非特异性急性期反应。它们也是目前正在开发的新型治疗方法的靶点,但它们在健康和疾病中的作用存在争议。因此,无论是用于临床应用还是为了严格阐明其功能,都需要具有结构和功能完整性的、药物级别的天然、真实蛋白质的制剂。我们在这里报告了从正常人类供体血浆中生产并对其进行了表征的第一批此类制剂。重要的是,我们证明,与使用重组蛋白和特征描述较差的制剂的报告相反,CRP 和 SAP 都不会刺激人外周血单核细胞在体外释放任何 TNFα、IL-6 或 IL-8,SAP 也不会导致 IL-1β 或 IL-10 的释放。此外,我们的制剂在体内都不会引起小鼠的炎症反应。

https://cdn.ncbi.nlm.nih.gov/pmc/blobs/250f/4068106/862733115bd0/gr7.jpg
https://cdn.ncbi.nlm.nih.gov/pmc/blobs/250f/4068106/fbadb2f2ef26/gr1.jpg
https://cdn.ncbi.nlm.nih.gov/pmc/blobs/250f/4068106/489312a0a0e7/gr2.jpg
https://cdn.ncbi.nlm.nih.gov/pmc/blobs/250f/4068106/37ef72c44cdd/gr3.jpg
https://cdn.ncbi.nlm.nih.gov/pmc/blobs/250f/4068106/84b2f6571601/gr4.jpg
https://cdn.ncbi.nlm.nih.gov/pmc/blobs/250f/4068106/11e991cfda12/gr5.jpg
https://cdn.ncbi.nlm.nih.gov/pmc/blobs/250f/4068106/62b4130beba6/gr6.jpg
https://cdn.ncbi.nlm.nih.gov/pmc/blobs/250f/4068106/862733115bd0/gr7.jpg
https://cdn.ncbi.nlm.nih.gov/pmc/blobs/250f/4068106/fbadb2f2ef26/gr1.jpg
https://cdn.ncbi.nlm.nih.gov/pmc/blobs/250f/4068106/489312a0a0e7/gr2.jpg
https://cdn.ncbi.nlm.nih.gov/pmc/blobs/250f/4068106/37ef72c44cdd/gr3.jpg
https://cdn.ncbi.nlm.nih.gov/pmc/blobs/250f/4068106/84b2f6571601/gr4.jpg
https://cdn.ncbi.nlm.nih.gov/pmc/blobs/250f/4068106/11e991cfda12/gr5.jpg
https://cdn.ncbi.nlm.nih.gov/pmc/blobs/250f/4068106/62b4130beba6/gr6.jpg
https://cdn.ncbi.nlm.nih.gov/pmc/blobs/250f/4068106/862733115bd0/gr7.jpg

相似文献

1
Isolation and characterization of pharmaceutical grade human pentraxins, serum amyloid P component and C-reactive protein, for clinical use.用于临床的药物级人五聚素、血清淀粉样蛋白 P 成分和 C 反应蛋白的分离和特性描述。
J Immunol Methods. 2012 Oct 31;384(1-2):92-102. doi: 10.1016/j.jim.2012.07.013. Epub 2012 Jul 31.
2
Effects of anaesthesia based on high versus low doses of opioids on the cytokine and acute-phase protein responses in patients undergoing cardiac surgery.基于高剂量与低剂量阿片类药物的麻醉对心脏手术患者细胞因子和急性期蛋白反应的影响。
Acta Anaesthesiol Scand. 1998 Jan;42(1):63-70. doi: 10.1111/j.1399-6576.1998.tb05082.x.
3
Thalidomide suppressed IL-1beta while enhancing TNF-alpha and IL-10, when cells in whole blood were stimulated with lipopolysaccharide.当用脂多糖刺激全血中的细胞时,沙利度胺抑制白细胞介素-1β,同时增强肿瘤坏死因子-α和白细胞介素-10。
Immunopharmacol Immunotoxicol. 2008;30(3):447-57. doi: 10.1080/08923970802135161.
4
Inducible expression of PTX3, a new member of the pentraxin family, in human mononuclear phagocytes.在人类单核吞噬细胞中,五聚素家族新成员PTX3的可诱导表达。
Blood. 1994 Nov 15;84(10):3483-93.
5
The Pentraxins 1975-2018: Serendipity, Diagnostics and Drugs.Pentraxins 1975-2018:机缘巧合、诊断与药物。
Front Immunol. 2018 Oct 16;9:2382. doi: 10.3389/fimmu.2018.02382. eCollection 2018.
6
Correlations between pentraxin 3 or cytokine levels in gingival crevicular fluid and clinical parameters of chronic periodontitis.龈沟液中 pentraxin 3 或细胞因子水平与慢性牙周炎临床参数的相关性。
Odontology. 2012 Jul;100(2):215-21. doi: 10.1007/s10266-011-0042-1. Epub 2011 Sep 20.
7
Acute phase proteins in salmonids: evolutionary analyses and acute phase response.鲑科鱼类中的急性期蛋白:进化分析与急性期反应
J Immunol. 1997 Jan 1;158(1):384-92.
8
Developing column material for the separation of serum amyloid P and C reactive protein from biological sources.开发用于从生物源中分离血清淀粉样蛋白P和C反应蛋白的柱材料。
Biomed Chromatogr. 2014 Oct;28(10):1345-51. doi: 10.1002/bmc.3171. Epub 2014 May 15.
9
Complement-dependent acute-phase expression of C-reactive protein and serum amyloid P-component.C反应蛋白和血清淀粉样蛋白P成分的补体依赖性急性期表达。
J Immunol. 2000 Jul 15;165(2):1030-5. doi: 10.4049/jimmunol.165.2.1030.
10
C-reactive protein (CRP) but not the related pentraxins serum amyloid P and PTX3 inhibits the proliferation and induces apoptosis of the leukemia cell line Mono Mac 6.C 反应蛋白(CRP)但不是相关的五聚蛋白血清淀粉样蛋白 P 和 PTX3 抑制白血病细胞系 Mono Mac 6 的增殖并诱导其凋亡。
BMC Immunol. 2017 Dec 4;18(1):47. doi: 10.1186/s12865-017-0230-z.

引用本文的文献

1
Efficient expression and purification of rat CRP in .在 中高效表达和纯化大鼠 CRP。
Front Immunol. 2024 Aug 26;15:1465365. doi: 10.3389/fimmu.2024.1465365. eCollection 2024.
2
C-reactive protein: structure, function, regulation, and role in clinical diseases.C 反应蛋白:结构、功能、调节以及在临床疾病中的作用。
Front Immunol. 2024 Jun 14;15:1425168. doi: 10.3389/fimmu.2024.1425168. eCollection 2024.
3
Serum amyloid P component accumulates and persists in neurones following traumatic brain injury.血清淀粉样蛋白 P 成分在创伤性脑损伤后在神经元中积累并持续存在。

本文引用的文献

1
Association between C reactive protein and coronary heart disease: mendelian randomisation analysis based on individual participant data.C 反应蛋白与冠心病的关联:基于个体参与者数据的孟德尔随机化分析。
BMJ. 2011 Feb 15;342:d548. doi: 10.1136/bmj.d548.
2
No reduction of atherosclerosis in C-reactive protein (CRP)-deficient mice.载脂蛋白 E 基因敲除小鼠动脉粥样硬化模型中 CRP 缺乏对动脉粥样硬化形成无影响
J Biol Chem. 2011 Feb 25;286(8):6272-9. doi: 10.1074/jbc.M110.161414. Epub 2010 Dec 11.
3
Antibodies to human serum amyloid P component eliminate visceral amyloid deposits.
Open Biol. 2023 Dec;13(12):230253. doi: 10.1098/rsob.230253. Epub 2023 Dec 6.
4
Dementia in the older population is associated with neocortex content of serum amyloid P component.老年人群中的痴呆症与血清淀粉样蛋白P成分的新皮质含量有关。
Brain Commun. 2021 Oct 9;3(4):fcab225. doi: 10.1093/braincomms/fcab225. eCollection 2021.
5
C-reactive protein predicts outcome in COVID-19: is it also a therapeutic target?C反应蛋白可预测COVID-19的预后:它也是一个治疗靶点吗?
Eur Heart J. 2021 Jun 14;42(23):2280-2283. doi: 10.1093/eurheartj/ehab169.
6
The Pentraxins 1975-2018: Serendipity, Diagnostics and Drugs.Pentraxins 1975-2018:机缘巧合、诊断与药物。
Front Immunol. 2018 Oct 16;9:2382. doi: 10.3389/fimmu.2018.02382. eCollection 2018.
7
A Conformational Change in C-Reactive Protein Enhances Leukocyte Recruitment and Reactive Oxygen Species Generation in Ischemia/Reperfusion Injury.C 反应蛋白构象变化增强缺血/再灌注损伤中的白细胞募集和活性氧生成。
Front Immunol. 2018 Apr 16;9:675. doi: 10.3389/fimmu.2018.00675. eCollection 2018.
8
The role of complement activation in rhabdomyolysis-induced acute kidney injury.补体激活在横纹肌溶解诱导的急性肾损伤中的作用。
PLoS One. 2018 Feb 21;13(2):e0192361. doi: 10.1371/journal.pone.0192361. eCollection 2018.
9
C-Reactive Protein Binds to Cholesterol Crystals and Co-Localizes with the Terminal Complement Complex in Human Atherosclerotic Plaques.C反应蛋白与胆固醇晶体结合,并与人动脉粥样硬化斑块中的末端补体复合物共定位。
Front Immunol. 2017 Aug 29;8:1040. doi: 10.3389/fimmu.2017.01040. eCollection 2017.
10
Transitional changes in the CRP structure lead to the exposure of proinflammatory binding sites.CRP 结构的转变导致了炎症结合位点的暴露。
Nat Commun. 2017 Jan 23;8:14188. doi: 10.1038/ncomms14188.
针对人血清淀粉样蛋白 P 成分的抗体可消除内脏淀粉样沉积物。
Nature. 2010 Nov 4;468(7320):93-7. doi: 10.1038/nature09494. Epub 2010 Oct 20.
4
Serum amyloid P inhibits fibrosis through Fc gamma R-dependent monocyte-macrophage regulation in vivo.血清淀粉样蛋白 P 通过体内 FcγR 依赖性单核细胞-巨噬细胞调节抑制纤维化。
Sci Transl Med. 2009 Nov 4;1(5):5ra13. doi: 10.1126/scitranslmed.3000111.
5
Sustained pharmacological depletion of serum amyloid P component in patients with systemic amyloidosis.系统性淀粉样变性患者血清淀粉样蛋白 P 成分的持续药物耗竭。
Br J Haematol. 2010 Mar;148(5):760-7. doi: 10.1111/j.1365-2141.2009.08036.x. Epub 2010 Jan 8.
6
Lack of effect of a single injection of human C-reactive protein on murine lupus or nephrotoxic nephritis.单次注射人C反应蛋白对小鼠狼疮或肾毒性肾炎无影响。
Arthritis Rheum. 2010 Jan;62(1):245-9. doi: 10.1002/art.27232.
7
C-reactive protein concentration and risk of coronary heart disease, stroke, and mortality: an individual participant meta-analysis.C-反应蛋白浓度与冠心病、卒中和死亡风险的关系:一项个体参与者荟萃分析。
Lancet. 2010 Jan 9;375(9709):132-40. doi: 10.1016/S0140-6736(09)61717-7. Epub 2009 Dec 22.
8
Human C-reactive protein does not promote atherosclerosis in transgenic rabbits.人C反应蛋白不会在转基因兔中促进动脉粥样硬化。
Circulation. 2009 Nov 24;120(21):2088-94. doi: 10.1161/CIRCULATIONAHA.109.872796. Epub 2009 Nov 9.
9
Improved in vitro methods to predict the in vivo toxicity in man of therapeutic monoclonal antibodies including TGN1412.改进的体外方法可预测治疗性单克隆抗体(包括 TGN1412)在人体内的毒性。
J Immunol Methods. 2010 Jan 31;352(1-2):1-12. doi: 10.1016/j.jim.2009.10.013. Epub 2009 Nov 4.
10
C-reactive protein elicits white blood cell activation in humans.C反应蛋白可引发人体白细胞活化。
Am J Med. 2009 Jun;122(6):582.e1-9. doi: 10.1016/j.amjmed.2008.11.032.