Suppr超能文献

两种碳代谢物、多酚和维生素会影响葡萄酒酿造条件下酵母的程序性寿命。

Two-carbon metabolites, polyphenols and vitamins influence yeast chronological life span in winemaking conditions.

机构信息

Departamento de Biotecnología, Instituto de Agroquímica y Tecnología de Alimentos-CSIC, Av. Agustín Escardino 7, Paterna 46980, Spain.

出版信息

Microb Cell Fact. 2012 Aug 8;11:104. doi: 10.1186/1475-2859-11-104.

Abstract

BACKGROUND

Viability in a non dividing state is referred to as chronological life span (CLS). Most grape juice fermentation happens when Saccharomyces cerevisiae yeast cells have stopped dividing; therefore, CLS is an important factor toward winemaking success.

RESULTS

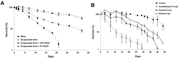
We have studied both the physical and chemical determinants influencing yeast CLS. Low pH and heat shorten the maximum wine yeast life span, while hyperosmotic shock extends it. Ethanol plays an important negative role in aging under winemaking conditions, but additional metabolites produced by fermentative metabolism, such as acetaldehyde and acetate, have also a strong impact on longevity. Grape polyphenols quercetin and resveratrol have negative impacts on CLS under winemaking conditions, an unexpected behavior for these potential anti-oxidants. We observed that quercetin inhibits alcohol and aldehyde dehydrogenase activities, and that resveratrol performs a pro-oxidant role during grape juice fermentation. Vitamins nicotinic acid and nicotinamide are precursors of NAD+, and their addition reduces mean longevity during fermentation, suggesting a metabolic unbalance negative for CLS. Moreover, vitamin mix supplementation at the end of fermentation shortens CLS and enhances cell lysis, while amino acids increase life span.

CONCLUSIONS

Wine S. cerevisiae strains are able to sense changes in the environmental conditions and adapt their longevity to them. Yeast death is influenced by the conditions present at the end of wine fermentation, particularly by the concentration of two-carbon metabolites produced by the fermentative metabolism, such as ethanol, acetic acid and acetaldehyde, and also by the grape juice composition, particularly its vitamin content.

摘要

背景

非分裂状态下的生存能力被称为时序寿命(CLS)。大多数葡萄汁发酵发生在酿酒酵母细胞停止分裂时;因此,CLS 是酿酒成功的一个重要因素。

结果

我们研究了影响酵母 CLS 的物理和化学决定因素。低 pH 值和热量缩短了最大葡萄酒酵母寿命,而高渗休克则延长了寿命。乙醇在酿酒条件下的老化中起着重要的负面作用,但发酵代谢产生的其他代谢物,如乙醛和乙酸,对长寿也有强烈的影响。在酿酒条件下,葡萄多酚槲皮素和白藜芦醇对 CLS 有负面影响,这对这些潜在抗氧化剂来说是出乎意料的行为。我们观察到,槲皮素抑制酒精和醛脱氢酶的活性,而白藜芦醇在葡萄汁发酵过程中发挥促氧化剂的作用。烟酸和烟酰胺是 NAD+的前体,它们的添加减少了发酵过程中的平均寿命,表明代谢失衡对 CLS 不利。此外,发酵结束时补充维生素混合物会缩短 CLS 并增强细胞裂解,而氨基酸则会延长寿命。

结论

葡萄酒酿酒酵母菌株能够感知环境条件的变化,并适应其长寿。酵母的死亡受到葡萄酒发酵结束时存在的条件的影响,特别是由发酵代谢产生的二碳代谢物的浓度,如乙醇、乙酸和乙醛,以及葡萄汁的组成,特别是其维生素含量。

https://cdn.ncbi.nlm.nih.gov/pmc/blobs/8893/3503821/4dbf750211ee/1475-2859-11-104-1.jpg

文献AI研究员

20分钟写一篇综述,助力文献阅读效率提升50倍。

立即体验

用中文搜PubMed

大模型驱动的PubMed中文搜索引擎

马上搜索

文档翻译

学术文献翻译模型,支持多种主流文档格式。

立即体验