Suppr超能文献

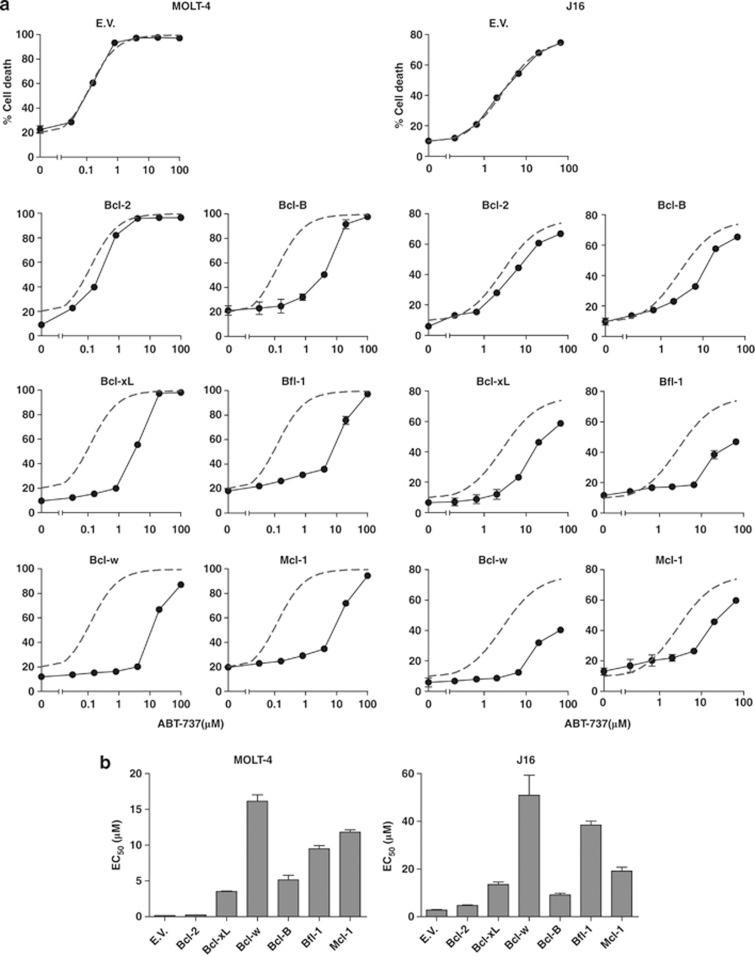
Bcl-2 是比 Bcl-xL 或 Bcl-w 更好的 ABT-737 靶点,只有 Noxa 能够克服 Mcl-1、Bfl-1 或 Bcl-B 介导的耐药性。

Bcl-2 is a better ABT-737 target than Bcl-xL or Bcl-w and only Noxa overcomes resistance mediated by Mcl-1, Bfl-1, or Bcl-B.

机构信息

Division of Immunology, The Netherlands Cancer Institute-Antoni van Leeuwenhoek Hospital, Amsterdam, The Netherlands.

出版信息

Cell Death Dis. 2012 Aug 9;3(8):e366. doi: 10.1038/cddis.2012.109.

Abstract

The novel anticancer drug ABT-737 is a Bcl-2 Homology 3 (BH3)-mimetic that induces apoptosis by inhibiting pro-survival Bcl-2 proteins. ABT-737 binds with equal affinity to Bcl-2, Bcl-xL and Bcl-w in vitro and is expected to overrule apoptosis resistance mediated by these Bcl-2 proteins in equal measure. We have profiled ABT-737 specificity for all six pro-survival Bcl-2 proteins, in p53 wild-type or p53-mutant human T-leukemic cells. Bcl-B was untargeted, like Bfl-1 and Mcl-1, in accord with their low affinity for ABT-737 in vitro. However, Bcl-2 proved a better ABT-737 target than Bcl-xL and Bcl-w. This was reflected in differential apoptosis-sensitivity to ABT-737 alone, or combined with etoposide. ABT-737 was not equally effective in displacing BH3-only proteins or Bax from Bcl-2, as compared with Bcl-xL or Bcl-w, offering an explanation for the differential ABT-737 sensitivity of tumor cells overexpressing these proteins. Inducible expression demonstrated that BH3-only proteins Noxa, but not Bim, Puma or truncated Bid could overrule ABT-737 resistance conferred by Bcl-B, Bfl-1 or Mcl-1. These data identify Bcl-B, Bfl-1 and Mcl-1, but also Bcl-xL and Bcl-w as potential mediators of ABT-737 resistance and indicate that target proteins can be differentially sensitive to BH3-mimetics, depending on the pro-apoptotic Bcl-2 proteins they are complexed with.

摘要

新型抗癌药物 ABT-737 是一种 Bcl-2 同源结构域 3(BH3)模拟物,通过抑制生存 Bcl-2 蛋白诱导细胞凋亡。ABT-737 在体外与 Bcl-2、Bcl-xL 和 Bcl-w 具有相同的亲和力,预计将同等程度地克服这些 Bcl-2 蛋白介导的凋亡抵抗。我们已经对 p53 野生型或 p53 突变型人 T 白血病细胞中的所有六种生存 Bcl-2 蛋白进行了 ABT-737 特异性分析。Bcl-B 与 Bfl-1 和 Mcl-1 一样,未成为 ABT-737 的靶向蛋白,这与它们在体外对 ABT-737 的低亲和力相符。然而,Bcl-2 比 Bcl-xL 和 Bcl-w 更适合成为 ABT-737 的靶标。这反映在单独使用 ABT-737 或与依托泊苷联合使用时,细胞凋亡的敏感性存在差异。与 Bcl-xL 或 Bcl-w 相比,ABT-737 置换 Bcl-2 中的 BH3 仅有蛋白或 Bax 的效果并不相同,这为这些蛋白过表达的肿瘤细胞对 ABT-737 敏感性不同提供了一种解释。诱导表达表明,BH3 仅有蛋白 Noxa,但不是 Bim、Puma 或截断的 Bid,能够克服 Bcl-B、Bfl-1 或 Mcl-1 赋予的 ABT-737 耐药性。这些数据表明,Bcl-B、Bfl-1 和 Mcl-1,以及 Bcl-xL 和 Bcl-w 是 ABT-737 耐药性的潜在介导者,并表明靶蛋白对 BH3 模拟物的敏感性可能因它们与之结合的促凋亡 Bcl-2 蛋白而异。

https://cdn.ncbi.nlm.nih.gov/pmc/blobs/a5bc/3434657/ddb828709f8f/cddis2012109f1.jpg

文献检索

告别复杂PubMed语法,用中文像聊天一样搜索,搜遍4000万医学文献。AI智能推荐,让科研检索更轻松。

立即免费搜索

文件翻译

保留排版,准确专业,支持PDF/Word/PPT等文件格式,支持 12+语言互译。

免费翻译文档

深度研究

AI帮你快速写综述,25分钟生成高质量综述,智能提取关键信息,辅助科研写作。

立即免费体验