Suppr超能文献

ATP 的 C8 质子在莽草酸激酶和腺苷酸激酶催化中的作用。

The role of the C8 proton of ATP in the catalysis of shikimate kinase and adenylate kinase.

机构信息

CSIR, Biosciences, Meiring Naude Road, Pretoria 0001, Gauteng, South Africa.

出版信息

BMC Biochem. 2012 Aug 10;13:15. doi: 10.1186/1471-2091-13-15.

Abstract

BACKGROUND

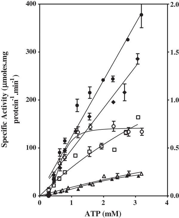
It has been demonstrated that the adenyl moiety of ATP plays a direct role in the regulation of ATP binding and/or phosphoryl transfer within a range of kinase and synthetase enzymes. The role of the C8-H of ATP in the binding and/or phosphoryl transfer on the enzyme activity of a number of kinase and synthetase enzymes has been elucidated. The intrinsic catalysis rate mediated by each kinase enzyme is complex, yielding apparent KM values ranging from less than 0.4 μM to more than 1 mM for ATP in the various kinases. Using a combination of ATP deuterated at the C8 position (C8D-ATP) as a molecular probe with site directed mutagenesis (SDM) of conserved amino acid residues in shikimate kinase and adenylate kinase active sites, we have elucidated a mechanism by which the ATP C8-H is induced to be labile in the broader kinase family. We have demonstrated the direct role of the C8-H in the rate of ATP consumption, and the direct role played by conserved Thr residues interacting with the C8-H. The mechanism by which the vast range in KM might be achieved is also suggested by these findings.

RESULTS

We have demonstrated the mechanism by which the enzyme activities of Group 2 kinases, shikimate kinase (SK) and adenylate kinase 1 (AK1), are controlled by the C8-H of ATP. Mutations of the conserved threonine residues associated with the labile C8-H cause the enzymes to lose their saturation kinetics over the concentration range tested. The relationship between the role C8-H of ATP in the reaction mechanism and the ATP concentration as they influence the saturation kinetics of the enzyme activity is also shown. The SDM clearly identified the amino acid residues involved in both the catalysis and regulation of phosphoryl transfer in SK and AK1 as mediated by C8H-ATP.

CONCLUSIONS

The data outlined serves to demonstrate the "push" mechanism associated with the control of the saturation kinetics of Group 2 kinases mediated by ATP C8-H. It is therefore conceivable that kinase enzymes achieve the observed 2,500-fold variation in KM through a combination of the various conserved "push" and "pull" mechanisms associated with the release of C8-H, the proton transfer cascades unique to the class of kinase in question and the resultant/concomitant creation of a pentavalent species from the γ-phosphate group of ATP. Also demonstrated is the interplay between the role of the C8-H of ATP and the ATP concentration in the observed enzyme activity. The lability of the C8-H mediated by active site residues co-ordinated to the purine ring of ATP therefore plays a significant role in explaining the broad KM range associated with kinase steady state enzyme activities.

摘要

背景

已经证明,ATP 的腺嘌呤部分在一系列激酶和合成酶的 ATP 结合和/或磷酸化转移中直接发挥作用。已经阐明了 ATP 的 C8-H 在许多激酶和合成酶的酶活性的结合和/或磷酸化转移中的作用。每个激酶酶介导的固有催化速率是复杂的,对于各种激酶中的 ATP,产生的表观 KM 值范围从小于 0.4 μM 到大于 1 mM。使用在 C8 位置氘代的 ATP(C8D-ATP)作为分子探针,并对莽草酸激酶和腺苷酸激酶活性位点中的保守氨基酸残基进行定点突变(SDM),我们阐明了一种机制,通过该机制,ATP 的 C8-H 被诱导在更广泛的激酶家族中变得不稳定。我们已经证明了 C8-H 在 ATP 消耗速率中的直接作用,以及与 C8-H 相互作用的保守 Thr 残基所起的直接作用。这些发现还表明了实现广泛 KM 的机制。

结果

我们已经证明了 2 组激酶(莽草酸激酶(SK)和腺苷酸激酶 1(AK1))的酶活性受 ATP 的 C8-H 控制的机制。与不稳定的 C8-H 相关的保守苏氨酸残基的突变导致酶在测试浓度范围内失去其饱和动力学。还显示了 C8-H 在反应机制中的作用以及 ATP 浓度与酶活性的饱和动力学之间的关系。SDM 清楚地确定了与 SK 和 AK1 中的磷酸转移催化和调节有关的氨基酸残基,这些残基由 C8H-ATP 介导。

结论

概述的数据表明,与 ATP C8-H 介导的 2 组激酶的饱和动力学控制相关的“推动”机制。因此,可以想象,激酶酶通过与 C8-H 的释放、与所讨论激酶类独特的质子转移级联以及由此产生的/伴随的 γ-磷酸基团的五价物种的形成相关的各种保守的“推动”和“拉动”机制的组合,实现了观察到的 2500 倍的 KM 变化。还证明了 ATP 的 C8-H 的作用与观察到的酶活性中的 ATP 浓度之间的相互作用。因此,由与 ATP 的嘌呤环配位的活性位点残基介导的 C8-H 的不稳定性在解释与激酶稳态酶活性相关的广泛 KM 范围方面起着重要作用。

https://cdn.ncbi.nlm.nih.gov/pmc/blobs/c689/3537612/1a8c53517e51/1471-2091-13-15-1.jpg

文献检索

告别复杂PubMed语法,用中文像聊天一样搜索,搜遍4000万医学文献。AI智能推荐,让科研检索更轻松。

立即免费搜索

文件翻译

保留排版,准确专业,支持PDF/Word/PPT等文件格式,支持 12+语言互译。

免费翻译文档

深度研究

AI帮你快速写综述,25分钟生成高质量综述,智能提取关键信息,辅助科研写作。

立即免费体验