Suppr超能文献

过去二十年中,III 期临床试验中小细胞肺癌患者的治疗相关死亡。

Treatment-related death in patients with small-cell lung cancer in phase III trials over the last two decades.

机构信息

Department of Respiratory Medicine, Okayama University Hospital, Okayama, Japan.

出版信息

PLoS One. 2012;7(8):e42798. doi: 10.1371/journal.pone.0042798. Epub 2012 Aug 6.

Abstract

INTRODUCTION

Treatment-related death (TRD) remains a serious problem in small-cell lung cancer (SCLC), despite recent improvements in supportive care. However, few studies have formally assessed time trends in the proportion of TRD over the past two decades. The aim of this study was to determine the frequency and pattern of TRD over time.

METHODS

We examined phase 3 trials conducted between 1990 and 2010 to address the role of systemic treatment for SCLC. The time trend was assessed using linear regression analysis.

RESULTS

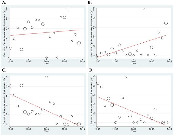
In total, 97 trials including nearly 25,000 enrolled patients were analyzed. The overall TRD proportion was 2.95%. Regarding the time trend, while it was not statistically significant, it tended to decrease, with a 0.138% decrease per year and 2.76% decrease per two decades. The most common cause of death was febrile neutropenia without any significant time trend in its incidence over the years examined (p = 0.139). However, deaths due to febrile neutropenia as well as all causes in patients treated with non-platinum chemotherapy increased significantly (p = 0.033).

CONCLUSIONS

The overall TRD rate has been low, but not negligible, in phase III trials for SCLC over the past two decades.

摘要

简介

尽管近年来支持治疗有所改善,但与治疗相关的死亡(TRD)仍然是小细胞肺癌(SCLC)的一个严重问题。然而,很少有研究正式评估过去二十年中 TRD 比例的时间趋势。本研究旨在确定随着时间的推移 TRD 的频率和模式。

方法

我们研究了 1990 年至 2010 年间进行的旨在确定系统治疗 SCLC 作用的 3 期试验。使用线性回归分析评估时间趋势。

结果

共分析了 97 项试验,包括近 25000 名入组患者。总的 TRD 比例为 2.95%。关于时间趋势,虽然没有统计学意义,但它呈下降趋势,每年下降 0.138%,每二十年下降 2.76%。最常见的死亡原因是发热性中性粒细胞减少症,但其发病率在研究期间没有明显的时间趋势(p = 0.139)。然而,接受非铂类化疗治疗的患者因发热性中性粒细胞减少症以及所有原因导致的死亡显著增加(p = 0.033)。

结论

在过去二十年的 SCLC 3 期试验中,总体 TRD 发生率虽然较低,但并非可以忽略不计。

https://cdn.ncbi.nlm.nih.gov/pmc/blobs/da66/3412813/f9ab1dc8e1ba/pone.0042798.g001.jpg

相似文献

1
Treatment-related death in patients with small-cell lung cancer in phase III trials over the last two decades.
PLoS One. 2012;7(8):e42798. doi: 10.1371/journal.pone.0042798. Epub 2012 Aug 6.
4
Pravastatin has no advantage in small-cell lung cancer.
Lancet Oncol. 2017 Apr;18(4):e204. doi: 10.1016/S1470-2045(17)30184-5. Epub 2017 Mar 10.
5
Platinum versus non-platinum chemotherapy regimens for small cell lung cancer.
Cochrane Database Syst Rev. 2015 Aug 2;2015(8):CD006849. doi: 10.1002/14651858.CD006849.pub3.
8
Chemotherapy: Irinotecan or etoposide as front-line therapy for SCLC?
Nat Rev Clin Oncol. 2009 Oct;6(10):562-3. doi: 10.1038/nrclinonc.2009.141.
9
Extensive-stage small-cell lung cancer--moving beyond response rate?
Ann Oncol. 2009 May;20(5):801-2. doi: 10.1093/annonc/mdp247.

本文引用的文献

10
2006 update of recommendations for the use of white blood cell growth factors: an evidence-based clinical practice guideline.
J Clin Oncol. 2006 Jul 1;24(19):3187-205. doi: 10.1200/JCO.2006.06.4451. Epub 2006 May 8.

文献AI研究员

20分钟写一篇综述,助力文献阅读效率提升50倍。

立即体验

用中文搜PubMed

大模型驱动的PubMed中文搜索引擎

马上搜索

文档翻译

学术文献翻译模型,支持多种主流文档格式。

立即体验