Suppr超能文献

广义邻接与合成致死定义的遗传网络中基因簇的保守性。

Generalized adjacency and the conservation of gene clusters in genetic networks defined by synthetic lethals.

机构信息

Department of Mathematics and Statistics, University of Ottawa, 585 King Edward Avenue, Ottawa, Canada K1N 6N5.

出版信息

BMC Bioinformatics. 2012 Jun 11;13 Suppl 9(Suppl 9):S8. doi: 10.1186/1471-2105-13-S9-S8.

Abstract

BACKGROUND

Given genetic networks derived from two genomes, it may be difficult to decide if their local structures are similar enough in both genomes to infer some ancestral configuration or some conserved functional relationships. Current methods all depend on searching for identical substructures.

METHODS

We explore a generalized vertex proximity criterion, and present analytic and probability results for the comparison of random lattice networks.

RESULTS

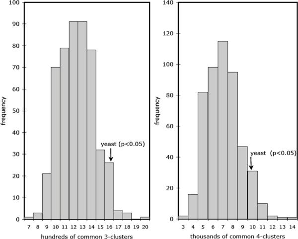
We apply this criterion to the comparison of the genetic networks of two evolutionarily divergent yeasts, Saccharomyces cerevisiae and Schizosaccharomyces pombe, derived using the Synthetic Genetic Array screen. We show that the overlapping parts of the networks of the two yeasts share a common structure beyond the shared edges. This may be due to their conservation of redundant pathways containing many synthetic lethal pairs of genes.

CONCLUSIONS

Detecting the shared generalized adjacency clusters in the genetic networks of the two yeasts show that this analytical construct can be a useful tool in probing conserved network structure across divergent genomes.

摘要

背景

给定来自两个基因组的遗传网络,可能难以确定它们在两个基因组中的局部结构是否足够相似,以推断出一些祖先结构或一些保守的功能关系。目前的方法都依赖于搜索相同的子结构。

方法

我们探索了一种广义顶点邻近性准则,并对随机格状网络的比较提出了分析和概率结果。

结果

我们将此标准应用于使用合成遗传阵列筛选获得的两种进化上不同的酵母酿酒酵母和裂殖酵母的遗传网络的比较。我们表明,两个酵母的网络的重叠部分除了共享的边缘之外,还共享一个共同的结构。这可能是由于它们保留了包含许多合成致死基因对的冗余途径。

结论

在两个酵母的遗传网络中检测到共享的广义邻接簇表明,这种分析结构可以成为在不同基因组中探测保守网络结构的有用工具。

https://cdn.ncbi.nlm.nih.gov/pmc/blobs/6b35/3372455/3de63f9c1144/1471-2105-13-S9-S8-1.jpg

文献AI研究员

20分钟写一篇综述,助力文献阅读效率提升50倍。

立即体验

用中文搜PubMed

大模型驱动的PubMed中文搜索引擎

马上搜索

文档翻译

学术文献翻译模型,支持多种主流文档格式。

立即体验