• 文献检索
  • 文档翻译
  • 深度研究
  • 学术资讯
  • Suppr Zotero 插件Zotero 插件
  • 邀请有礼
  • 套餐&价格
  • 历史记录
应用&插件
Suppr Zotero 插件Zotero 插件浏览器插件Mac 客户端Windows 客户端微信小程序
定价
高级版会员购买积分包购买API积分包
服务
文献检索文档翻译深度研究API 文档MCP 服务
关于我们
关于 Suppr公司介绍联系我们用户协议隐私条款
关注我们

Suppr 超能文献

核心技术专利:CN118964589B侵权必究
粤ICP备2023148730 号-1Suppr @ 2026

文献检索

告别复杂PubMed语法,用中文像聊天一样搜索,搜遍4000万医学文献。AI智能推荐,让科研检索更轻松。

立即免费搜索

文件翻译

保留排版,准确专业,支持PDF/Word/PPT等文件格式,支持 12+语言互译。

免费翻译文档

深度研究

AI帮你快速写综述,25分钟生成高质量综述,智能提取关键信息,辅助科研写作。

立即免费体验

复杂性-熵因果关系平面作为二维模式的复杂性度量。

Complexity-entropy causality plane as a complexity measure for two-dimensional patterns.

机构信息

Departamento de Física and National Institute of Science and Technology for Complex Systems, Universidade Estadual de Maringá, Maringá, Brazil.

出版信息

PLoS One. 2012;7(8):e40689. doi: 10.1371/journal.pone.0040689. Epub 2012 Aug 14.

DOI:10.1371/journal.pone.0040689
PMID:22916097
原文链接:https://pmc.ncbi.nlm.nih.gov/articles/PMC3419253/
Abstract

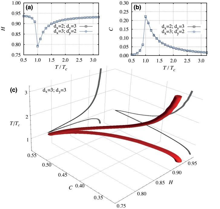
Complexity measures are essential to understand complex systems and there are numerous definitions to analyze one-dimensional data. However, extensions of these approaches to two or higher-dimensional data, such as images, are much less common. Here, we reduce this gap by applying the ideas of the permutation entropy combined with a relative entropic index. We build up a numerical procedure that can be easily implemented to evaluate the complexity of two or higher-dimensional patterns. We work out this method in different scenarios where numerical experiments and empirical data were taken into account. Specifically, we have applied the method to [Formula: see text] fractal landscapes generated numerically where we compare our measures with the Hurst exponent; [Formula: see text] liquid crystal textures where nematic-isotropic-nematic phase transitions were properly identified; [Formula: see text] 12 characteristic textures of liquid crystals where the different values show that the method can distinguish different phases; [Formula: see text] and Ising surfaces where our method identified the critical temperature and also proved to be stable.

摘要

复杂性测度对于理解复杂系统至关重要,并且有许多定义可用于分析一维数据。然而,这些方法的扩展到二维或更高维数据,如图像,就不那么常见了。在这里,我们通过应用排列熵的思想并结合相对熵指数来缩小这一差距。我们建立了一个数值程序,可以很容易地实现来评估二维或更高维模式的复杂性。我们在不同的场景中应用了这种方法,考虑了数值实验和经验数据。具体来说,我们已经将该方法应用于[公式:见正文]分形景观的数值生成,我们将我们的度量与赫斯特指数进行了比较;[公式:见正文]向列型-各向同性-向列型相转变的液晶纹理;[公式:见正文]液晶的 12 种特征纹理,不同的数值表明该方法可以区分不同的相;[公式:见正文]和伊辛表面,我们的方法确定了临界温度,并且也被证明是稳定的。

https://cdn.ncbi.nlm.nih.gov/pmc/blobs/e297/3419253/aa72c3cdc9eb/pone.0040689.g009.jpg
https://cdn.ncbi.nlm.nih.gov/pmc/blobs/e297/3419253/7625620722f7/pone.0040689.g001.jpg
https://cdn.ncbi.nlm.nih.gov/pmc/blobs/e297/3419253/fab53684f29b/pone.0040689.g002.jpg
https://cdn.ncbi.nlm.nih.gov/pmc/blobs/e297/3419253/926c60476210/pone.0040689.g003.jpg
https://cdn.ncbi.nlm.nih.gov/pmc/blobs/e297/3419253/89ef2c5c3279/pone.0040689.g004.jpg
https://cdn.ncbi.nlm.nih.gov/pmc/blobs/e297/3419253/9b5369b5be14/pone.0040689.g005.jpg
https://cdn.ncbi.nlm.nih.gov/pmc/blobs/e297/3419253/17a2388036a0/pone.0040689.g006.jpg
https://cdn.ncbi.nlm.nih.gov/pmc/blobs/e297/3419253/39fd64619c24/pone.0040689.g007.jpg
https://cdn.ncbi.nlm.nih.gov/pmc/blobs/e297/3419253/8c24dc464073/pone.0040689.g008.jpg
https://cdn.ncbi.nlm.nih.gov/pmc/blobs/e297/3419253/aa72c3cdc9eb/pone.0040689.g009.jpg
https://cdn.ncbi.nlm.nih.gov/pmc/blobs/e297/3419253/7625620722f7/pone.0040689.g001.jpg
https://cdn.ncbi.nlm.nih.gov/pmc/blobs/e297/3419253/fab53684f29b/pone.0040689.g002.jpg
https://cdn.ncbi.nlm.nih.gov/pmc/blobs/e297/3419253/926c60476210/pone.0040689.g003.jpg
https://cdn.ncbi.nlm.nih.gov/pmc/blobs/e297/3419253/89ef2c5c3279/pone.0040689.g004.jpg
https://cdn.ncbi.nlm.nih.gov/pmc/blobs/e297/3419253/9b5369b5be14/pone.0040689.g005.jpg
https://cdn.ncbi.nlm.nih.gov/pmc/blobs/e297/3419253/17a2388036a0/pone.0040689.g006.jpg
https://cdn.ncbi.nlm.nih.gov/pmc/blobs/e297/3419253/39fd64619c24/pone.0040689.g007.jpg
https://cdn.ncbi.nlm.nih.gov/pmc/blobs/e297/3419253/8c24dc464073/pone.0040689.g008.jpg
https://cdn.ncbi.nlm.nih.gov/pmc/blobs/e297/3419253/aa72c3cdc9eb/pone.0040689.g009.jpg

相似文献

1
Complexity-entropy causality plane as a complexity measure for two-dimensional patterns.复杂性-熵因果关系平面作为二维模式的复杂性度量。
PLoS One. 2012;7(8):e40689. doi: 10.1371/journal.pone.0040689. Epub 2012 Aug 14.
2
Convincing evidence for the Halperin-Lubensky-Ma effect at the N-SmA transition in alkyloxycyanobiphenyl binary mixtures via a high-resolution birefringence study.通过高分辨率双折射研究,获得了关于烷氧基氰基联苯二元混合物中N-SmA转变处的Halperin-Lubensky-Ma效应的确凿证据。
Eur Phys J E Soft Matter. 2018 Oct 25;41(10):129. doi: 10.1140/epje/i2018-11738-0.
3
Nematic twist-bend phase in an external field.外场中的向列扭曲-弯曲相。
Proc Natl Acad Sci U S A. 2018 Oct 30;115(44):E10303-E10312. doi: 10.1073/pnas.1721786115. Epub 2018 Oct 11.
4
Entropy formula of N-body system.N体系统的熵公式。
Sci Rep. 2020 Aug 20;10(1):14029. doi: 10.1038/s41598-020-71103-w.
5
Scaling of the magnetic entropy change in chiral helimagnetic YbNiAl.手性螺旋磁体YbNiAl中磁熵变的标度
J Phys Condens Matter. 2020 May 8;32(19):195801. doi: 10.1088/1361-648X/ab6e8f.
6
Shearlet-based measures of entropy and complexity for two-dimensional patterns.基于剪切波的二维模式熵和复杂度度量。
Phys Rev E. 2018 Jun;97(6-1):061301. doi: 10.1103/PhysRevE.97.061301.
7
Spillover effects of Great Recession on Hong-Kong's Real Estate Market: An analysis based on Causality Plane and Tsallis Curves of Complexity-Entropy.大衰退对香港房地产市场的溢出效应:基于复杂性-熵的因果平面和Tsallis曲线的分析
Physica A. 2019 Jun 15;524:576-586. doi: 10.1016/j.physa.2019.04.052. Epub 2019 Apr 30.
8
Nonmechanical principle for producing a flow in a homogeneously aligned microfluidic nematic channel.在均匀排列的微流控向列相通道中产生流动的非机械原理。
Eur Phys J E Soft Matter. 2020 May 27;43(5):29. doi: 10.1140/epje/i2020-11953-0.
9
Estimating physical properties from liquid crystal textures via machine learning and complexity-entropy methods.通过机器学习和复杂性熵方法从液晶纹理估算物理性质。
Phys Rev E. 2019 Jan;99(1-1):013311. doi: 10.1103/PhysRevE.99.013311.
10
Characterizing time series via complexity-entropy curves.通过复杂度-熵曲线刻画时间序列。
Phys Rev E. 2017 Jun;95(6-1):062106. doi: 10.1103/PhysRevE.95.062106. Epub 2017 Jun 5.

引用本文的文献

1
Investigating the diversity and stylization of contemporary user generated visual arts in the complexity entropy plane.在复杂性熵平面中研究当代用户生成的视觉艺术的多样性和风格化。
Sci Rep. 2025 Jul 1;15(1):22075. doi: 10.1038/s41598-025-04448-9.
2
ComplexityMeasures.jl: Scalable software to unify and accelerate entropy and complexity timeseries analysis.ComplexityMeasures.jl:用于统一和加速熵与复杂性时间序列分析的可扩展软件。
PLoS One. 2025 Jun 13;20(6):e0324431. doi: 10.1371/journal.pone.0324431. eCollection 2025.
3
Two-by-two ordinal patterns in art paintings.

本文引用的文献

1
Nonrigid image registration using an entropic similarity.使用熵相似性的非刚性图像配准
IEEE Trans Inf Technol Biomed. 2011 Sep;15(5):681-90. doi: 10.1109/TITB.2011.2159806. Epub 2011 Jun 16.
2
Inferring long memory processes in the climate network via ordinal pattern analysis.通过序贯模式分析推断气候网络中的长记忆过程。
Chaos. 2011 Mar;21(1):013101. doi: 10.1063/1.3545273.
3
The use of permutation entropy to characterize sleep electroencephalograms.应用排列熵分析睡眠脑电信号。
艺术画作中的二乘二有序模式。
PNAS Nexus. 2025 Mar 18;4(3):pgaf092. doi: 10.1093/pnasnexus/pgaf092. eCollection 2025 Mar.
4
Structural stability and thermodynamics of artistic composition.艺术构图的结构稳定性与热力学
Proc Natl Acad Sci U S A. 2024 Dec 17;121(51):e2406735121. doi: 10.1073/pnas.2406735121. Epub 2024 Dec 13.
5
Triadic percolation induces dynamical topological patterns in higher-order networks.三元渗流在高阶网络中诱导出动态拓扑模式。
PNAS Nexus. 2024 Jul 9;3(7):pgae270. doi: 10.1093/pnasnexus/pgae270. eCollection 2024 Jul.
6
Feature-preserving synthesis of termite-mimetic spinodal nest morphology.白蚁拟态旋节线巢穴形态的特征保留合成
iScience. 2023 Dec 14;27(1):108674. doi: 10.1016/j.isci.2023.108674. eCollection 2024 Jan 19.
7
Entropy-based early detection of critical transitions in spatial vegetation fields.基于熵的空间植被场中关键转变的早期检测。
Proc Natl Acad Sci U S A. 2023 Jan 3;120(1):e2215667120. doi: 10.1073/pnas.2215667120. Epub 2022 Dec 29.
8
Application of Two-Dimensional Entropy Measures to Detect the Radiographic Signs of Tooth Resorption and Hypercementosis in an Equine Model.二维熵测度在马模型中检测牙齿吸收和牙骨质增生影像学征象的应用
Biomedicines. 2022 Nov 13;10(11):2914. doi: 10.3390/biomedicines10112914.
9
Application of the Two-Dimensional Entropy Measures in the Infrared Thermography-Based Detection of Rider: Horse Bodyweight Ratio in Horseback Riding.二维熵测度在基于红外热成像的骑马者检测中的应用:骑马中骑手-马体重比。
Sensors (Basel). 2022 Aug 13;22(16):6052. doi: 10.3390/s22166052.
10
Parameter Analysis of Multiscale Two-Dimensional Fuzzy and Dispersion Entropy Measures Using Machine Learning Classification.基于机器学习分类的多尺度二维模糊和离散熵测度的参数分析
Entropy (Basel). 2021 Oct 3;23(10):1303. doi: 10.3390/e23101303.
Clin EEG Neurosci. 2011 Jan;42(1):24-8. doi: 10.1177/155005941104200107.
4
Quantifying the complexity of the delayed logistic map.量化延迟 logistic 映射的复杂性。
Philos Trans A Math Phys Eng Sci. 2011 Jan 28;369(1935):425-38. doi: 10.1098/rsta.2010.0281.
5
Estimating coupling direction between neuronal populations with permutation conditional mutual information.用置换条件互信息估计神经元群体之间的耦合方向。
Neuroimage. 2010 Aug 15;52(2):497-507. doi: 10.1016/j.neuroimage.2010.05.003. Epub 2010 May 7.
6
Two-dimensional XY and clock models studied via the dynamics generated by rough surfaces.
Phys Rev E Stat Nonlin Soft Matter Phys. 2010 Mar;81(3 Pt 1):031130. doi: 10.1103/PhysRevE.81.031130. Epub 2010 Mar 29.
7
Ordinal pattern based similarity analysis for EEG recordings.基于序贯模式的脑电记录相似性分析。
Clin Neurophysiol. 2010 May;121(5):694-703. doi: 10.1016/j.clinph.2009.12.030. Epub 2010 Jan 22.
8
Extracting features of Gaussian self-similar stochastic processes via the Bandt-Pompe approach.通过班特-庞贝方法提取高斯自相似随机过程的特征。
Phys Rev E Stat Nonlin Soft Matter Phys. 2007 Dec;76(6 Pt 1):061114. doi: 10.1103/PhysRevE.76.061114. Epub 2007 Dec 12.
9
Distinguishing noise from chaos.区分噪声与混沌。
Phys Rev Lett. 2007 Oct 12;99(15):154102. doi: 10.1103/PhysRevLett.99.154102.
10
Dynamics of rough surfaces generated by two-dimensional lattice spin models.二维晶格自旋模型生成的粗糙表面动力学。
Phys Rev E Stat Nonlin Soft Matter Phys. 2007 Apr;75(4 Pt 2):046106. doi: 10.1103/PhysRevE.75.046106. Epub 2007 Apr 9.