Suppr超能文献

心胸外科和骨科手术中预防性使用莫匹罗星和洗必泰治疗金黄色葡萄球菌携带者可降低成本。

Reduced costs for Staphylococcus aureus carriers treated prophylactically with mupirocin and chlorhexidine in cardiothoracic and orthopaedic surgery.

机构信息

Laboratory for Microbiology and Infection Control, Amphia Hospital, Breda, The Netherlands.

出版信息

PLoS One. 2012;7(8):e43065. doi: 10.1371/journal.pone.0043065. Epub 2012 Aug 14.

Abstract

BACKGROUND

A multi centre double-blind randomised-controlled trial (M-RCT), carried out in the Netherlands in 2005-2007, showed that hospitalised patients with S. aureus nasal carriage who were treated prophylactically with mupirocin nasal ointment and chlorhexidine gluconate medicated soap (MUP-CHX), had a significantly lower risk of health-care associated S. aureus infections than patients receiving placebo (3.4% vs. 7.7%, RR 0.42, 95% CI 0.23-0.75). The objective of the present study was to determine whether treatment of patients undergoing elective cardiothoracic or orthopaedic surgery with MUP-CHX (screen-and-treat strategy) affected the costs of patient care.

METHODS

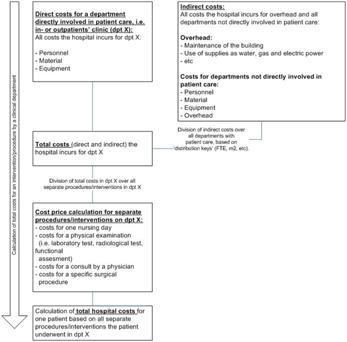
We compared hospital costs of patients undergoing cardiothoracic or orthopaedic surgery (n=415) in one of the participating centres of the M-RCT. Data from the 'Planning and Control' department were used to calculate total hospital costs of the patients. Total costs were calculated including nursing days, costs of surgery, costs for laboratory and radiological tests, functional assessments and other costs. Costs for personnel, materials and overhead were also included. Mean costs in the two treatment arms were compared using the t-test for equality of means (two-tailed). Subgroup analysis was performed for cardiothoracic and orthopaedic patients.

RESULTS

An investigator-blinded analysis revealed that costs of care in the treatment arm (MUP-CHX, n=210) were on average €1911 lower per patient than costs of care in the placebo arm (n=205) (€8602 vs. €10513, p=0.01). Subgroup analysis showed that MUP-CHX treated cardiothoracic patients cost €2841 less (n=280, €9628 vs €12469, p=0.006) and orthopaedic patients €955 less than non-treated patients (n=135, €6097 vs €7052, p=0.05).

CONCLUSIONS

In conclusion, in patients undergoing cardiothoracic or orthopaedic surgery, screening for S. aureus nasal carriage and treating carriers with MUP-CHX results in a substantial reduction of hospital costs.

摘要

背景

2005 年至 2007 年在荷兰进行的一项多中心、双盲、随机对照试验(M-RCT)表明,接受莫匹罗星鼻用软膏和葡萄糖酸氯己定药用皂预防性治疗的金黄色葡萄球菌鼻腔携带患者,与接受安慰剂的患者相比,医院获得性金黄色葡萄球菌感染的风险显著降低(3.4%对 7.7%,RR0.42,95%CI0.23-0.75)。本研究的目的是确定对择期心胸或骨科手术患者进行 MUP-CHX(筛查和治疗策略)治疗是否会影响患者的护理成本。

方法

我们比较了参与 M-RCT 的一个中心的心胸或骨科手术患者(n=415)的医院成本。使用“规划与控制”部门的数据来计算患者的总医院成本。总费用包括护理天数、手术费用、实验室和放射学检查费用、功能评估和其他费用。还包括人员、材料和间接费用。使用双侧均数检验(t 检验)比较两组治疗的平均费用。对心胸和骨科患者进行亚组分析。

结果

调查员盲法分析显示,治疗组(MUP-CHX,n=210)的护理费用平均每位患者比安慰剂组(n=205)低 1911 欧元(8602 欧元对 10513 欧元,p=0.01)。亚组分析显示,MUP-CHX 治疗的心胸外科患者费用低 2841 欧元(n=280,9628 欧元对 12469 欧元,p=0.006),骨科患者费用低 955 欧元(n=135,6097 欧元对 7052 欧元,p=0.05)。

结论

总之,在接受心胸或骨科手术的患者中,筛查金黄色葡萄球菌鼻腔携带并使用 MUP-CHX 治疗携带者可显著降低医院成本。

https://cdn.ncbi.nlm.nih.gov/pmc/blobs/d675/3419251/3d07b79b572a/pone.0043065.g001.jpg

文献AI研究员

20分钟写一篇综述,助力文献阅读效率提升50倍。

立即体验

用中文搜PubMed

大模型驱动的PubMed中文搜索引擎

马上搜索

文档翻译

学术文献翻译模型,支持多种主流文档格式。

立即体验