Basic Herbal Medicine Research Group, Korea Institute of Oriental Medicine, Daejeon 305-811, Republic of Korea.
Evid Based Complement Alternat Med. 2012;2012:280351. doi: 10.1155/2012/280351. Epub 2012 Aug 7.
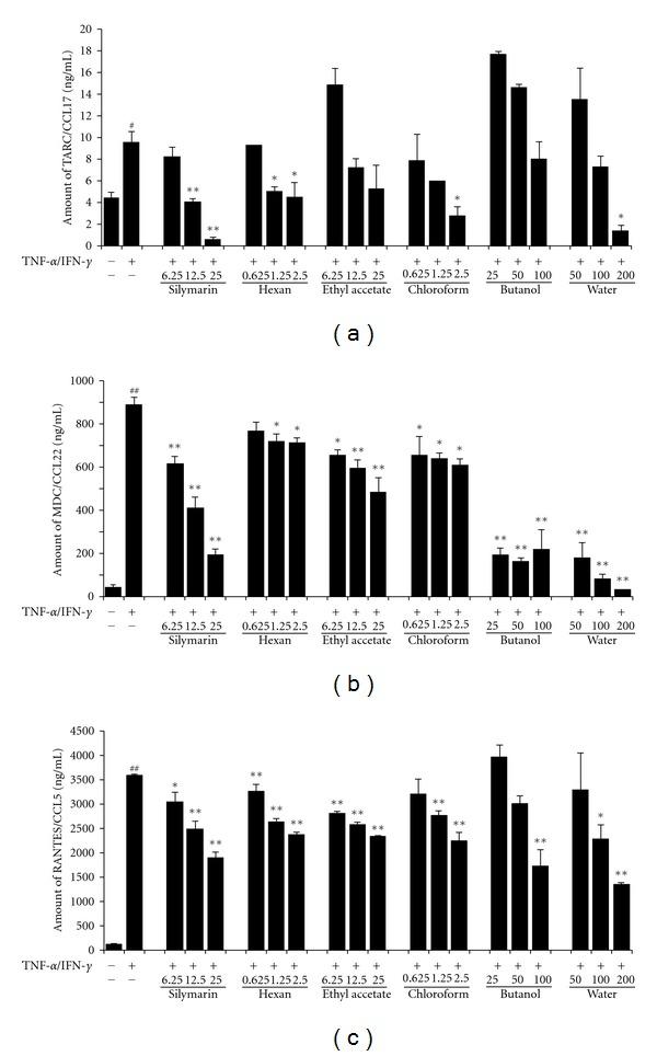
The present study is to investigate which kinds of solvent extracts of Inulae Flos inhibit the chemokine productions in HaCaT cell and whether the inhibitory capacity of Inulae Flos is related with constitutional compounds. The 70% methanol extract showed comparatively higher inhibition of thymus and activation-regulated chemokine (TARC/CCL17) in HaCaT cells, therefore this extract was further partitioned with n-hexane, chloroform, ethyl acetate, butanol, and water. The ethyl acetate fraction inhibited TARC, macrophage-derived chemokine (MDC/CCL22), and regulated on activation of normal T-cell-expressed and -secreted (RANTES/CCL5) production in HaCaT cells better than the other fractions. The compounds of Inulae Flos, such as 1,5-dicaffeoylquinic acid and luteolin, inhibited TARC, MDC, and RANTES production in HaCaT cells. 1,5-Dicaffeoylquinic acid was contained at the highest concentrations both in the 70% methanol extract and ethyl acetate fraction and inhibited the secretion of chemokines dose-dependently more than the other compounds. Luteolin also represented dose-dependent inhibition on chemokine productions although it was contained at lower levels in 70% methanol extract and solvent fractions. These results suggest that the inhibitory effects of Inulae Flos on chemokine production in HaCaT cell could be related with constituent compounds contained, especially 1,5-dicaffeoylquinic acid and luteolin.
本研究旨在探讨旋覆花的哪些溶剂提取物能抑制 HaCaT 细胞趋化因子的产生,以及旋覆花的抑制能力是否与组成化合物有关。70%甲醇提取物对胸腺激活调节趋化因子(TARC/CCL17)在 HaCaT 细胞中的抑制作用较强,因此进一步用正己烷、氯仿、乙酸乙酯、正丁醇和水对其进行了分配。乙酸乙酯部分对 TARC、巨噬细胞来源趋化因子(MDC/CCL22)和调节正常 T 细胞表达和分泌的趋化因子(RANTES/CCL5)的产生抑制作用优于其他部分。旋覆花中的化合物,如 1,5-二咖啡酰奎宁酸和木樨草素,抑制 TARC、MDC 和 RANTES 在 HaCaT 细胞中的产生。1,5-二咖啡酰奎宁酸在 70%甲醇提取物和乙酸乙酯部分中的含量均最高,并且比其他化合物更能剂量依赖性地抑制趋化因子的分泌。木樨草素虽然在 70%甲醇提取物和溶剂部分中的含量较低,但对趋化因子的产生也表现出剂量依赖性抑制。这些结果表明,旋覆花对 HaCaT 细胞中趋化因子产生的抑制作用可能与其所含的组成化合物有关,特别是 1,5-二咖啡酰奎宁酸和木樨草素。