Suppr超能文献

评估耐甲氧西林金黄色葡萄球菌 ST398 在人群中传播能力的复合种群模型。

A metapopulation model to assess the capacity of spread of meticillin-resistant Staphylococcus aureus ST398 in humans.

机构信息

Veterinary Epidemiology and Public Health Group, Department of Veterinary Clinical Sciences, Royal Veterinary College, Hatfield, United Kingdom.

出版信息

PLoS One. 2012;7(10):e47504. doi: 10.1371/journal.pone.0047504. Epub 2012 Oct 24.

Abstract

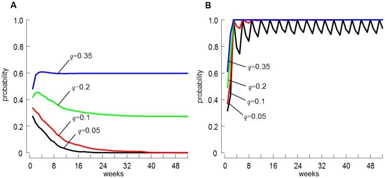
The emergence of the livestock-associated clone of meticillin-resistant Staphylococcus aureus (MRSA) ST398 is a serious public health issue throughout Europe. In The Netherlands a stringent 'search-and-destroy' policy has been adopted, keeping low the level of MRSA prevalence. However, reports have recently emerged of transmission events between humans showing no links to livestock, contradicting belief that MRSA ST398 is poorly transmissible in humans. The question regarding the transmissibility of MRSA ST398 in humans therefore remains of great interest. Here, we investigated the capacity of MRSA ST398 to spread into an entirely susceptible human population subject to the effect of a single MRSA-positive commercial pig farm. Using a stochastic, discrete-time metapopulation model, we explored the effect of varying both the probability of persistent carriage and that of acquiring MRSA due to contact with pigs on the transmission dynamics of MRSA ST398 in humans. In particular, we assessed the value and key determinants of the basic reproduction ratio (R(0)) for MRSA ST398. Simulations showed that the presence of recurrent exposures with pigs in risky populations allows MRSA ST398 to persist in the metapopulation and transmission events to occur beyond the farming community, even when the probability of persistent carriage is low. We further showed that persistent carriage should occur in less than 10% of the time for MRSA ST398 to conserve epidemiological characteristics similar to what has been previously reported. These results indicate that implementing control policy that only targets human carriers may not be sufficient to control MRSA ST398 in the community if it remains in pigs. We argue that farm-level control measures should be implemented if an eradication programme is to be considered.

摘要

耐甲氧西林金黄色葡萄球菌(MRSA)ST398 型的出现是整个欧洲的一个严重的公共卫生问题。在荷兰,采取了严格的“搜索和消灭”政策,使 MRSA 的流行率保持在较低水平。然而,最近有报告称,人与人之间发生了没有与牲畜接触的传播事件,这与人们认为 MRSA ST398 在人类中传播能力差的观点相矛盾。因此,MRSA ST398 在人类中的传播能力问题仍然引起了极大的关注。在这里,我们研究了 MRSA ST398 在完全易感的人类人群中传播的能力,这些人群受到单个 MRSA 阳性商业养猪场的影响。使用随机、离散时间的元种群模型,我们探讨了持续携带的概率和因接触猪而获得 MRSA 的概率变化对人类中 MRSA ST398 传播动态的影响。特别是,我们评估了 MRSA ST398 的基本繁殖数(R(0))的价值和关键决定因素。模拟结果表明,在高风险人群中与猪反复接触的情况下,MRSA ST398 可以在元种群中持续存在,并发生超出养猪社区的传播事件,即使持续携带的概率较低。我们进一步表明,MRSA ST398 只有在不到 10%的时间内持续携带,才能保持与之前报道相似的流行病学特征。这些结果表明,如果 MRSA ST398 仍然存在于猪中,仅针对人类携带者实施控制政策可能不足以在社区中控制 MRSA ST398。我们认为,如果要考虑实施根除计划,就应该实施农场层面的控制措施。

https://cdn.ncbi.nlm.nih.gov/pmc/blobs/d221/3480390/91a317410e49/pone.0047504.g001.jpg

文献AI研究员

20分钟写一篇综述,助力文献阅读效率提升50倍。

立即体验

用中文搜PubMed

大模型驱动的PubMed中文搜索引擎

马上搜索

文档翻译

学术文献翻译模型,支持多种主流文档格式。

立即体验