Suppr超能文献

组氨酸生物合成的扰乱揭示了沙门氏菌 enterica 代谢网络的稳健性。

Perturbations in histidine biosynthesis uncover robustness in the metabolic network of Salmonella enterica.

机构信息

Department of Bacteriology, University of Wisconsin-Madison, Madison, Wisconsin, United States of America.

出版信息

PLoS One. 2012;7(10):e48207. doi: 10.1371/journal.pone.0048207. Epub 2012 Oct 25.

Abstract

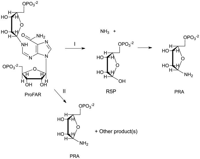
Phosphoribosylamine (PRA) is an intermediate in the biosynthetic pathway that is common to thiamine and purines. Glutamine phosphoribosyl pyrophosphate (PRPP) amidotransferase is the product of the purF gene in Salmonella enterica and catalyzes the synthesis of PRA from PRPP and glutamine. Strains lacking PurF require exogenous addition of purines for growth. However, under some growth conditions or with specific secondary mutations these strains grow in the absence of exogenous thiamine. Mutant alleles of hisA, which encodes 1-(5-phosphoribosyl)-5-[(5-phosphoribosylamino) methylideneamino] imidazole-4-carboxamide (ProFAR) isomerase, allowed PurF-independent PRA formation. The alleles of hisA that suppressed the requirement for exogenous thiamine resulted in proteins with reduced enzymatic activity. Data presented here showed that decreased activity of HisA altered metabolite pools and allowed PRA formation from ProFAR. Possible mechanisms of this conversion were proposed. The results herein emphasize the plasticity of the metabolic network and specifically highlight the potential for chemical syntheses to contribute to network robustness.

摘要

磷酸核糖胺(PRA)是噻唑和嘌呤生物合成途径中的一种共同中间体。谷氨酰胺磷酸核糖基焦磷酸酰胺转移酶是沙门氏菌 enterica 中的 purF 基因的产物,催化 PRPP 和谷氨酰胺合成 PRA。缺乏 PurF 的菌株需要外源添加嘌呤才能生长。然而,在某些生长条件下或具有特定的二次突变下,这些菌株在没有外源硫胺素的情况下生长。编码 1-(5-磷酸核糖基)-5-[(5-磷酸核糖基氨基)亚甲基氨基]咪唑-4-羧酰胺(ProFAR)异构酶的 hisA 突变等位基因允许 PurF 独立的 PRA 形成。抑制外源硫胺素需求的 hisA 等位基因导致酶活性降低的蛋白质。本文提供的数据表明,HisA 活性的降低改变了代谢物池,并允许从 ProFAR 形成 PRA。提出了这种转化的可能机制。本研究结果强调了代谢网络的灵活性,并特别强调了化学合成对网络鲁棒性的潜在贡献。

https://cdn.ncbi.nlm.nih.gov/pmc/blobs/d0dd/3485032/6f703733623a/pone.0048207.g001.jpg

文献检索

告别复杂PubMed语法,用中文像聊天一样搜索,搜遍4000万医学文献。AI智能推荐,让科研检索更轻松。

立即免费搜索

文件翻译

保留排版,准确专业,支持PDF/Word/PPT等文件格式,支持 12+语言互译。

免费翻译文档

深度研究

AI帮你快速写综述,25分钟生成高质量综述,智能提取关键信息,辅助科研写作。

立即免费体验