Suppr超能文献

肿瘤体积可作为伊马替尼治疗 GIST 患者的替代应答测量指标。

Tumor volume as an alternative response measurement for imatinib treated GIST patients.

机构信息

Department of Medical Oncology, Erasmus University Medical Center, Rotterdam, The Netherlands.

出版信息

PLoS One. 2012;7(11):e48372. doi: 10.1371/journal.pone.0048372. Epub 2012 Nov 2.

Abstract

BACKGROUND

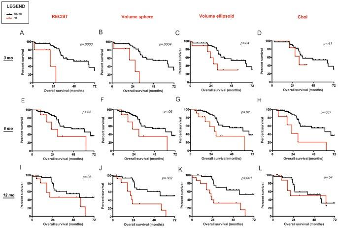
Assessment of tumor size changes is crucial in clinical trials and patient care. We compared imatinib-induced volume changes of liver metastases (LM) from gastro-intestinal stromal tumors (GIST) to RECIST and Choi criteria and their association with overall survival (OS).

METHODS

LM from 84 GIST patients (training and validation set) were evaluated using manual and semi-automated Computed Tomography measurements at baseline, after 3, 6 and 12 months of imatinib. The ability of uni-dimensional (1D) and three-dimensional (3D) measurements to detect size changes (increase/decrease) ≥20% was evaluated. Volumetric response cut-offs were derived from minimally relevant changes (+20/-30%) by RECIST, considering lesions as spherical or ellipsoidal.

RESULTS

3D measurements detected size changes ≥20% more frequently than 1D at every time-point (P≤0.008). 3D and Choi criteria registered more responses than RECIST at 3 and 6 months for 3D-spheres (P≤0.03) and at all time-points for 3D-ellipsoids and Choi criteria (P<0.001). Progressive disease by 3D criteria seems to better correlate to OS at late time-points than other criteria.

CONCLUSION

Volume criteria (especially ellipsoids) classify a higher number of patients as imatinib-responders than RECIST. Volume discriminates size changes better than diameter in GIST and constitutes a feasible and robust method to evaluate response and predict patient benefit.

摘要

背景

评估肿瘤大小变化在临床试验和患者护理中至关重要。我们比较了伊马替尼诱导的胃肠间质瘤(GIST)肝转移瘤(LM)的体积变化与 RECIST 和 Choi 标准及其与总生存期(OS)的关系。

方法

使用手动和半自动计算机断层扫描测量,在基线、伊马替尼治疗 3、6 和 12 个月后,对 84 例 GIST 患者(训练和验证集)的 LM 进行评估。评估了一维(1D)和三维(3D)测量在检测≥20%大小变化(增加/减少)方面的能力。根据 RECIST,考虑到病变为球形或椭圆形,通过最小相关变化(+20/-30%)得出体积反应截断值。

结果

3D 测量在每个时间点都比 1D 更频繁地检测到≥20%的大小变化(P≤0.008)。3D 和 Choi 标准在 3 个月和 6 个月时比 RECIST 标准登记了更多的反应,对于 3D 球体(P≤0.03),以及在所有时间点对于 3D 椭球体和 Choi 标准(P<0.001)。3D 标准的进展性疾病似乎比其他标准更好地与晚期的 OS 相关。

结论

与 RECIST 相比,体积标准(尤其是椭球体)将更多的患者分类为伊马替尼反应者。在 GIST 中,体积比直径更能区分大小变化,并且是一种可行且强大的方法来评估反应并预测患者受益。

https://cdn.ncbi.nlm.nih.gov/pmc/blobs/9c01/3487791/6f2c1828b857/pone.0048372.g001.jpg

相似文献

1
Tumor volume as an alternative response measurement for imatinib treated GIST patients.
PLoS One. 2012;7(11):e48372. doi: 10.1371/journal.pone.0048372. Epub 2012 Nov 2.
7
Evaluating new therapies in gastrointestinal stromal tumor using in vivo molecular optical imaging.
Cancer Biol Ther. 2014 Jul;15(7):911-8. doi: 10.4161/cbt.28880. Epub 2014 Apr 22.
8
We should desist using RECIST, at least in GIST.
J Clin Oncol. 2007 May 1;25(13):1760-4. doi: 10.1200/JCO.2006.07.3411.

引用本文的文献

1
Monitoring neoadjuvant treatment-induced surgical benefit in GIST patients using CT-based radiological criteria.
Surg Open Sci. 2024 Jul 14;20:169-177. doi: 10.1016/j.sopen.2024.07.002. eCollection 2024 Aug.
2
Comparing quantitative imaging biomarker alliance volumetric CT classifications with RECIST response categories.
Radiol Adv. 2025 Jan 6;2(1):umaf001. doi: 10.1093/radadv/umaf001. eCollection 2025 Jan.
3
Deep learning for oncologic treatment outcomes and endpoints evaluation from CT scans in liver cancer.
NPJ Precis Oncol. 2024 Nov 17;8(1):263. doi: 10.1038/s41698-024-00754-z.
5
Elimusertib has Antitumor Activity in Preclinical Patient-Derived Pediatric Solid Tumor Models.
Mol Cancer Ther. 2024 Apr 2;23(4):507-519. doi: 10.1158/1535-7163.MCT-23-0094.
8
Predictive power of deep-learning segmentation based prognostication model in non-small cell lung cancer.
Front Oncol. 2023 Apr 4;13:868471. doi: 10.3389/fonc.2023.868471. eCollection 2023.
9
Predicting immunotherapy outcomes in patients with MSI tumors using NLR and CT global tumor volume.
Front Oncol. 2022 Oct 25;12:982790. doi: 10.3389/fonc.2022.982790. eCollection 2022.

本文引用的文献

1
A long-term prospective population pharmacokinetic study on imatinib plasma concentrations in GIST patients.
Clin Cancer Res. 2012 Oct 15;18(20):5780-7. doi: 10.1158/1078-0432.CCR-12-0490. Epub 2012 Jul 31.
2
Radiologic reviews: More second guessing from armchairs cannot lead the way.
J Clin Oncol. 2012 Jan 1;30(1):116; author reply 117. doi: 10.1200/JCO.2011.39.1284. Epub 2011 Nov 28.
3
Variability of lung tumor measurements on repeat computed tomography scans taken within 15 minutes.
J Clin Oncol. 2011 Aug 10;29(23):3114-9. doi: 10.1200/JCO.2010.33.7071. Epub 2011 Jul 5.
4
Environmental and genetic factors affecting transport of imatinib by OATP1A2.
Clin Pharmacol Ther. 2011 Jun;89(6):816-20. doi: 10.1038/clpt.2011.42. Epub 2011 Apr 20.
5
The evolution of imaging in cancer: current state and future challenges.
Semin Oncol. 2011 Feb;38(1):3-15. doi: 10.1053/j.seminoncol.2010.11.010.
8
RECIST versus volume measurement in medical CT using ellipsoids of known size.
Opt Express. 2010 Apr 12;18(8):8151-9. doi: 10.1364/OE.18.008151.
10
Change in lung tumor volume as a biomarker of treatment response: a critical review of the evidence.
Ann Oncol. 2010 Sep;21(9):1751-1755. doi: 10.1093/annonc/mdq051. Epub 2010 Mar 23.

文献AI研究员

20分钟写一篇综述,助力文献阅读效率提升50倍。

立即体验

用中文搜PubMed

大模型驱动的PubMed中文搜索引擎

马上搜索

文档翻译

学术文献翻译模型,支持多种主流文档格式。

立即体验