Suppr超能文献

候选基因连锁分析鉴定导致早产的 DNA 变异。

Candidate gene linkage approach to identify DNA variants that predispose to preterm birth.

机构信息

Department of Pediatrics, University of Iowa, Iowa City, Iowa, USA.

出版信息

Pediatr Res. 2013 Feb;73(2):135-41. doi: 10.1038/pr.2012.166. Epub 2012 Nov 20.

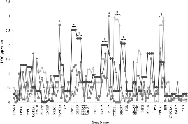
Abstract

BACKGROUND

The aim of this study was to identify genetic variants contributing to preterm birth (PTB) using a linkage candidate gene approach.

METHODS

We studied 99 single-nucleotide polymorphisms (SNPs) for 33 genes in 257 families with PTBs segregating. Nonparametric and parametric analyses were used. Premature infants and mothers of premature infants were defined as affected cases in independent analyses.

RESULTS

Analyses with the infant as the case identified two genes with evidence of linkage: CRHR1 (P = 0.0012) and CYP2E1 (P = 0.0011). Analyses with the mother as the case identified four genes with evidence of linkage: ENPP1 (P = 0.003), IGFBP3 (P = 0.006), DHCR7 (P = 0.009), and TRAF2 (P = 0.01). DNA sequence analysis of the coding exons and splice sites for CRHR1 and TRAF2 identified no new likely etiologic variants.

CONCLUSION

These findings suggest the involvement of six genes acting through the infant and/or the mother in the etiology of PTB.

摘要

背景

本研究旨在通过连锁候选基因方法鉴定导致早产 (PTB) 的遗传变异。

方法

我们研究了 257 个具有 PTB 分离的家系中的 33 个基因的 99 个单核苷酸多态性 (SNP)。使用非参数和参数分析。在独立分析中,将早产儿和早产儿的母亲定义为受影响的病例。

结果

以婴儿为病例的分析确定了两个具有连锁证据的基因:CRHR1(P = 0.0012)和 CYP2E1(P = 0.0011)。以母亲为病例的分析确定了四个具有连锁证据的基因:ENPP1(P = 0.003)、IGFBP3(P = 0.006)、DHCR7(P = 0.009)和 TRAF2(P = 0.01)。对 CRHR1 和 TRAF2 的编码外显子和剪接位点进行 DNA 序列分析未发现新的可能致病变异。

结论

这些发现表明,有六个基因通过婴儿和/或母亲参与了 PTB 的病因。

https://cdn.ncbi.nlm.nih.gov/pmc/blobs/e196/3740714/a7e1c68fbd86/nihms447458f1.jpg

文献检索

告别复杂PubMed语法,用中文像聊天一样搜索,搜遍4000万医学文献。AI智能推荐,让科研检索更轻松。

立即免费搜索

文件翻译

保留排版,准确专业,支持PDF/Word/PPT等文件格式,支持 12+语言互译。

免费翻译文档

深度研究

AI帮你快速写综述,25分钟生成高质量综述,智能提取关键信息,辅助科研写作。

立即免费体验