Suppr超能文献

建立急性淋巴细胞白血病细胞凋亡中 GR/c-Jun/Erg 串扰机制的模型。

Modeling the Mechanism of GR/c-Jun/Erg Crosstalk in Apoptosis of Acute Lymphoblastic Leukemia.

机构信息

Faculty of Life Sciences, University of Manchester Manchester, UK ; Faculty of Life Sciences, Manchester Institute of Biotechnology, University of Manchester Manchester, UK.

出版信息

Front Physiol. 2012 Nov 19;3:410. doi: 10.3389/fphys.2012.00410. eCollection 2012.

Abstract

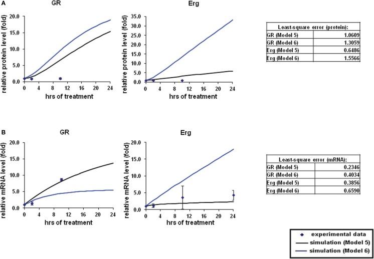
Acute lymphoblastic leukemia (ALL) is one of the most common forms of malignancy that occurs in lymphoid progenitor cells, particularly in children. Synthetic steroid hormones glucocorticoids (GCs) are widely used as part of the ALL treatment regimens due to their apoptotic function, but their use also brings about various side effects and drug resistance. The identification of the molecular differences between the GCs responsive and resistant cells therefore are essential to decipher such complexity and can be used to improve therapy. However, the emerging picture is complicated as the activities of genes and proteins involved are controlled by multiple factors. By adopting the systems biology framework to address this issue, we here integrated the available knowledge together with experimental data by building a series of mathematical models. This rationale enabled us to unravel molecular interactions involving c-Jun in GC induced apoptosis and identify Ets-related gene (Erg) as potential biomarker of GC resistance. The results revealed an alternative possible mechanism where c-Jun may be an indirect GR target that is controlled via an upstream repressor protein. The models also highlight the importance of Erg for GR function, particularly in GC sensitive C7 cells where Erg directly regulates GR in agreement with our previous experimental results. Our models describe potential GR-controlled molecular mechanisms of c-Jun/Bim and Erg regulation. We also demonstrate the importance of using a systematic approach to translate human disease processes into computational models in order to derive information-driven new hypotheses.

摘要

急性淋巴细胞白血病(ALL)是最常见的恶性肿瘤之一,发生在淋巴祖细胞中,尤其是在儿童中。合成类固醇激素糖皮质激素(GCs)因其凋亡功能而被广泛用作 ALL 治疗方案的一部分,但它们的使用也带来了各种副作用和耐药性。因此,鉴定 GC 反应性和耐药性细胞之间的分子差异对于揭示这种复杂性至关重要,并可用于改善治疗。然而,由于涉及的基因和蛋白质的活性受到多种因素的控制,新出现的情况变得复杂。通过采用系统生物学框架来解决这个问题,我们在这里通过构建一系列数学模型,将可用的知识与实验数据整合在一起。这种方法使我们能够揭示涉及 GC 诱导细胞凋亡的 c-Jun 的分子相互作用,并确定 Ets 相关基因(Erg)作为 GC 耐药的潜在生物标志物。结果揭示了一种替代的可能机制,即 c-Jun 可能是通过上游抑制剂蛋白间接调控的 GR 靶标。这些模型还强调了 Erg 对 GR 功能的重要性,特别是在 Erg 直接调节 GR 的 GC 敏感 C7 细胞中,这与我们之前的实验结果一致。我们的模型描述了潜在的 GR 调控 c-Jun/Bim 和 Erg 调节的分子机制。我们还证明了使用系统方法将人类疾病过程转化为计算模型以得出信息驱动的新假设的重要性。

https://cdn.ncbi.nlm.nih.gov/pmc/blobs/5af4/3500877/0f3983726175/fphys-03-00410-g001.jpg

文献AI研究员

20分钟写一篇综述,助力文献阅读效率提升50倍。

立即体验

用中文搜PubMed

大模型驱动的PubMed中文搜索引擎

马上搜索

文档翻译

学术文献翻译模型,支持多种主流文档格式。

立即体验