• 文献检索
  • 文档翻译
  • 深度研究
  • 学术资讯
  • Suppr Zotero 插件Zotero 插件
  • 邀请有礼
  • 套餐&价格
  • 历史记录
应用&插件
Suppr Zotero 插件Zotero 插件浏览器插件Mac 客户端Windows 客户端微信小程序
定价
高级版会员购买积分包购买API积分包
服务
文献检索文档翻译深度研究API 文档MCP 服务
关于我们
关于 Suppr公司介绍联系我们用户协议隐私条款
关注我们

Suppr 超能文献

核心技术专利:CN118964589B侵权必究
粤ICP备2023148730 号-1Suppr @ 2026

文献检索

告别复杂PubMed语法,用中文像聊天一样搜索,搜遍4000万医学文献。AI智能推荐,让科研检索更轻松。

立即免费搜索

文件翻译

保留排版,准确专业,支持PDF/Word/PPT等文件格式,支持 12+语言互译。

免费翻译文档

深度研究

AI帮你快速写综述,25分钟生成高质量综述,智能提取关键信息,辅助科研写作。

立即免费体验

高重力破坏了哺乳母鼠对泌乳的同源适应,包括昼夜节律钟的变化。

Hypergravity disruption of homeorhetic adaptations to lactation in rat dams include changes in circadian clocks.

机构信息

Department of Animal Science, Purdue University , West Lafayette, IN 47907 , USA.

出版信息

Biol Open. 2012 Jun 15;1(6):570-81. doi: 10.1242/bio.2012687. Epub 2012 Apr 30.

DOI:10.1242/bio.2012687
PMID:23213450
原文链接:https://pmc.ncbi.nlm.nih.gov/articles/PMC3509447/
Abstract

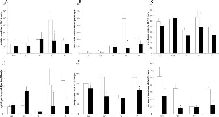
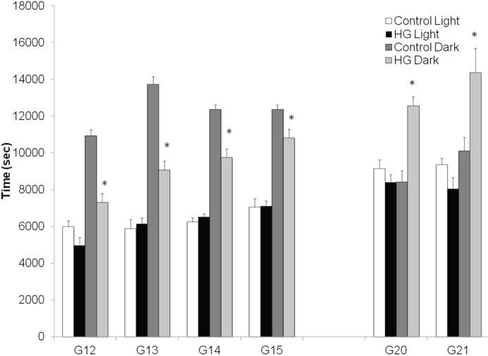
Altered gravity load induced by spaceflight (microgravity) and centrifugation (hypergravity) is associated with changes in circadian, metabolic, and reproductive systems. Exposure to 2-g hypergravity (HG) during pregnancy and lactation decreased rate of mammary metabolic activity and increased pup mortality. We hypothesize HG disrupted maternal homeorhetic responses to pregnancy and lactation are due to changes in maternal metabolism, hormone concentrations, and maternal behavior related to gravity induced alterations in circadian clocks. Effect of HG exposure on mammary, liver and adipose tissue metabolism, plasma hormones and maternal behavior were analyzed in rat dams from mid-pregnancy (Gestational day [G]11) through early lactation (Postnatal day [P]3); comparisons were made across five time-points: G20, G21, P0 (labor and delivery), P1 and P3. Blood, mammary, liver, and adipose tissue were collected for analyzing plasma hormones, glucose oxidation to CO(2) and incorporation into lipids, or gene expression. Maternal behavioral phenotyping was conducted using time-lapse videographic analyses. Dam and fetal-pup body mass were significantly reduced in HG in all age groups. HG did not affect labor and delivery; however, HG pups experienced a greater rate of mortality. PRL, corticosterone, and insulin levels and receptor genes were altered by HG. Mammary, liver and adipose tissue metabolism and expression of genes that regulate lipid metabolism were altered by HG exposure. Exposure to HG significantly changed expression of core clock genes in mammary and liver and circadian rhythms of maternal behavior. Gravity load alterations in dam's circadian system may have impacted homeorhetic adaptations needed for a successful lactation.

摘要

航天飞行(微重力)和离心力(超重力)引起的重力负荷变化与昼夜节律、代谢和生殖系统的变化有关。在妊娠和哺乳期暴露于 2-g 超重力(HG)会降低乳腺代谢活性并增加幼仔死亡率。我们假设 HG 破坏了母体对妊娠和哺乳的同源适应反应,这是由于与重力引起的昼夜节律变化相关的母体代谢、激素浓度和母体行为的变化。分析了妊娠中期(妊娠第 11 天[G11])至早期哺乳期(产后第 3 天[P3])的母体大鼠暴露于 HG 对乳腺、肝脏和脂肪组织代谢、血浆激素和母体行为的影响;在五个时间点进行了比较:G20、G21、P0(分娩)、P1 和 P3。收集血液、乳腺、肝脏和脂肪组织,用于分析血浆激素、葡萄糖氧化为 CO2 和掺入脂质,或基因表达。使用延时视频分析进行母体行为表型分析。在所有年龄组中,HG 均显著降低了母鼠和胎儿-幼仔的体重。HG 不影响分娩;然而,HG 幼仔的死亡率更高。PRL、皮质酮和胰岛素水平及其受体基因受 HG 影响。HG 暴露还改变了乳腺、肝脏和脂肪组织代谢以及调节脂质代谢的基因的表达。HG 暴露显著改变了乳腺和肝脏中核心时钟基因的表达以及母体行为的昼夜节律。母体昼夜节律系统中重力负荷的改变可能会影响成功哺乳所需的同源适应。

https://cdn.ncbi.nlm.nih.gov/pmc/blobs/e414/3509447/cf0b40253f8b/bio-01-06-570-f05.jpg
https://cdn.ncbi.nlm.nih.gov/pmc/blobs/e414/3509447/71f460e33acd/bio-01-06-570-f01.jpg
https://cdn.ncbi.nlm.nih.gov/pmc/blobs/e414/3509447/079d93dd3e29/bio-01-06-570-f02.jpg
https://cdn.ncbi.nlm.nih.gov/pmc/blobs/e414/3509447/2d39e4477066/bio-01-06-570-f03.jpg
https://cdn.ncbi.nlm.nih.gov/pmc/blobs/e414/3509447/5526a8981bb1/bio-01-06-570-f04.jpg
https://cdn.ncbi.nlm.nih.gov/pmc/blobs/e414/3509447/cf0b40253f8b/bio-01-06-570-f05.jpg
https://cdn.ncbi.nlm.nih.gov/pmc/blobs/e414/3509447/71f460e33acd/bio-01-06-570-f01.jpg
https://cdn.ncbi.nlm.nih.gov/pmc/blobs/e414/3509447/079d93dd3e29/bio-01-06-570-f02.jpg
https://cdn.ncbi.nlm.nih.gov/pmc/blobs/e414/3509447/2d39e4477066/bio-01-06-570-f03.jpg
https://cdn.ncbi.nlm.nih.gov/pmc/blobs/e414/3509447/5526a8981bb1/bio-01-06-570-f04.jpg
https://cdn.ncbi.nlm.nih.gov/pmc/blobs/e414/3509447/cf0b40253f8b/bio-01-06-570-f05.jpg

相似文献

1
Hypergravity disruption of homeorhetic adaptations to lactation in rat dams include changes in circadian clocks.高重力破坏了哺乳母鼠对泌乳的同源适应,包括昼夜节律钟的变化。
Biol Open. 2012 Jun 15;1(6):570-81. doi: 10.1242/bio.2012687. Epub 2012 Apr 30.
2
In a hypergravity environment neonatal survival is adversely affected by alterations in dam tissue metabolism rather than reduced food intake.在超重力环境中,新生动物的存活受到母鼠组织代谢变化的不利影响,而非食物摄入量减少的影响。
J Appl Physiol (1985). 2007 Jun;102(6):2186-93. doi: 10.1152/japplphysiol.01015.2006. Epub 2007 Feb 22.
3
Transcriptomes reveal alterations in gravity impact circadian clocks and activate mechanotransduction pathways with adaptation through epigenetic change.转录组揭示重力影响生物钟的变化,并通过表观遗传变化激活机械转导途径以实现适应。
Physiol Genomics. 2015 Apr;47(4):113-28. doi: 10.1152/physiolgenomics.00117.2014. Epub 2015 Feb 3.
4
Effects of hypergravity on mammary metabolic function: gravity acts as a continuum.超重力对乳腺代谢功能的影响:重力作用是连续的。
J Appl Physiol (1985). 2003 Dec;95(6):2350-4. doi: 10.1152/japplphysiol.00287.2003. Epub 2003 Aug 15.
5
Lactation Biology Symposium: circadian clocks as mediators of the homeorhetic response to lactation.哺乳生物学研讨会:昼夜节律钟作为哺乳同源应答的调解者。
J Anim Sci. 2012 Mar;90(3):744-54. doi: 10.2527/jas.2011-4590.
6
Lipogenesis impaired in periparturient rats exposed to altered gravity is independent of prolactin and glucocorticoid secretion.暴露于重力改变环境下的围产期大鼠脂肪生成受损,且与催乳素和糖皮质激素分泌无关。
Eur J Appl Physiol. 2008 Nov;104(5):847-58. doi: 10.1007/s00421-008-0840-5. Epub 2008 Jul 30.
7
Molecular signatures reveal circadian clocks may orchestrate the homeorhetic response to lactation.分子特征表明,昼夜节律钟可能协调了对哺乳期的自稳反应。
PLoS One. 2009 Oct 9;4(10):e7395. doi: 10.1371/journal.pone.0007395.
8
Homeorhetic adaptation to lactation: comparative transcriptome analysis of mammary, liver, and adipose tissue during the transition from pregnancy to lactation in rats.妊娠向泌乳的同源适应:大鼠从妊娠向泌乳过渡过程中乳腺、肝脏和脂肪组织的比较转录组分析。
Funct Integr Genomics. 2011 Mar;11(1):193-202. doi: 10.1007/s10142-010-0193-0. Epub 2010 Sep 18.
9
Maternal reproductive experience enhances early postnatal outcome following gestation and birth of rats in hypergravity.母体生殖经历可改善大鼠在超重力环境下妊娠和分娩后的早期产后结局。
Biol Reprod. 2001 Sep;65(3):805-13. doi: 10.1095/biolreprod65.3.805.
10
Does the circadian system regulate lactation?昼夜节律系统调节泌乳吗?
Animal. 2012 Mar;6(3):394-402. doi: 10.1017/S1751731111002187.

引用本文的文献

1
Sex-specific cardiovascular adaptations to simulated microgravity in Sprague-Dawley rats.性特异性心血管对Sprague-Dawley大鼠模拟微重力的适应性变化
NPJ Microgravity. 2024 Dec 19;10(1):110. doi: 10.1038/s41526-024-00450-z.
2
The importance of gravity vector on adult mammalian organisms: Effects of hypergravity on mouse testis.重力向量对成年哺乳动物的重要性:超重力对小鼠睾丸的影响。
PLoS One. 2023 Sep 29;18(9):e0282625. doi: 10.1371/journal.pone.0282625. eCollection 2023.
3
Changes in C57BL6 Mouse Hippocampal Transcriptome Induced by Hypergravity Mimic Acute Corticosterone-Induced Stress.

本文引用的文献

1
A molecular switch for photoperiod responsiveness in mammals.哺乳动物光周期反应的分子开关。
Curr Biol. 2010 Dec 21;20(24):2193-8. doi: 10.1016/j.cub.2010.10.048. Epub 2010 Dec 2.
2
Homeorhetic adaptation to lactation: comparative transcriptome analysis of mammary, liver, and adipose tissue during the transition from pregnancy to lactation in rats.妊娠向泌乳的同源适应:大鼠从妊娠向泌乳过渡过程中乳腺、肝脏和脂肪组织的比较转录组分析。
Funct Integr Genomics. 2011 Mar;11(1):193-202. doi: 10.1007/s10142-010-0193-0. Epub 2010 Sep 18.
3
Molecular signatures reveal circadian clocks may orchestrate the homeorhetic response to lactation.
模拟急性皮质酮诱导应激的超重力对C57BL6小鼠海马转录组的影响
Front Mol Neurosci. 2016 Dec 26;9:153. doi: 10.3389/fnmol.2016.00153. eCollection 2016.
4
Microgravity influences circadian clock oscillation in human keratinocytes.微重力影响人类角质形成细胞中的昼夜节律振荡。
FEBS Open Bio. 2015 Aug 31;5:717-23. doi: 10.1016/j.fob.2015.08.012. eCollection 2015.
5
Effect of spaceflight on the circadian rhythm, lifespan and gene expression of Drosophila melanogaster.太空飞行对黑腹果蝇昼夜节律、寿命和基因表达的影响。
PLoS One. 2015 Mar 23;10(3):e0121600. doi: 10.1371/journal.pone.0121600. eCollection 2015.
6
Tissue-specific changes in molecular clocks during the transition from pregnancy to lactation in mice.小鼠从怀孕到哺乳过渡期间分子生物钟的组织特异性变化。
Biol Reprod. 2014 Jun;90(6):127. doi: 10.1095/biolreprod.113.116137. Epub 2014 Apr 23.
7
Multibreed genome wide association can improve precision of mapping causative variants underlying milk production in dairy cattle.多品种全基因组关联分析可以提高奶牛产奶量相关因果变异定位的精度。
BMC Genomics. 2014 Jan 24;15:62. doi: 10.1186/1471-2164-15-62.
分子特征表明,昼夜节律钟可能协调了对哺乳期的自稳反应。
PLoS One. 2009 Oct 9;4(10):e7395. doi: 10.1371/journal.pone.0007395.
4
Role of orexins in the hypothalamic-pituitary-ovarian relationships.食欲肽在下丘脑-垂体-卵巢关系中的作用。
Acta Physiol (Oxf). 2010 Mar;198(3):355-60. doi: 10.1111/j.1748-1716.2009.02049.x. Epub 2009 Oct 1.
5
Lipogenesis impaired in periparturient rats exposed to altered gravity is independent of prolactin and glucocorticoid secretion.暴露于重力改变环境下的围产期大鼠脂肪生成受损,且与催乳素和糖皮质激素分泌无关。
Eur J Appl Physiol. 2008 Nov;104(5):847-58. doi: 10.1007/s00421-008-0840-5. Epub 2008 Jul 30.
6
The regulation of seasonal changes in food intake and body weight.食物摄入量和体重季节性变化的调节。
J Neuroendocrinol. 2008 Jun;20(6):827-33. doi: 10.1111/j.1365-2826.2008.01721.x.
7
Thyroid hormones and seasonal reproductive neuroendocrine interactions.甲状腺激素与季节性生殖神经内分泌相互作用。
Reproduction. 2008 Jul;136(1):1-8. doi: 10.1530/REP-08-0041. Epub 2008 May 30.
8
Lipid synthesis in lactation: diet and the fatty acid switch.哺乳期的脂质合成:饮食与脂肪酸转换
J Mammary Gland Biol Neoplasia. 2007 Dec;12(4):269-81. doi: 10.1007/s10911-007-9061-5. Epub 2007 Nov 20.
9
Circadian clocks: regulators of endocrine and metabolic rhythms.昼夜节律钟:内分泌和代谢节律的调节者。
J Endocrinol. 2007 Nov;195(2):187-98. doi: 10.1677/JOE-07-0378.
10
Circannual prolactin rhythms: calendar-like timer revealed in the pituitary gland.催乳素的年度节律:垂体中发现的类似日历的计时器。
Trends Endocrinol Metab. 2007 Sep;18(7):259-60. doi: 10.1016/j.tem.2007.07.001. Epub 2007 Aug 6.