Suppr超能文献

高糖诱导的内皮细胞损伤可被人载脂蛋白 E 衍生肽所抑制。

High-glucose-induced endothelial cell injury is inhibited by a Peptide derived from human apolipoprotein E.

机构信息

Department of Biology, Xavier University of Louisiana, New Orleans, Louisiana, USA.

出版信息

PLoS One. 2012;7(12):e52152. doi: 10.1371/journal.pone.0052152. Epub 2012 Dec 19.

Abstract

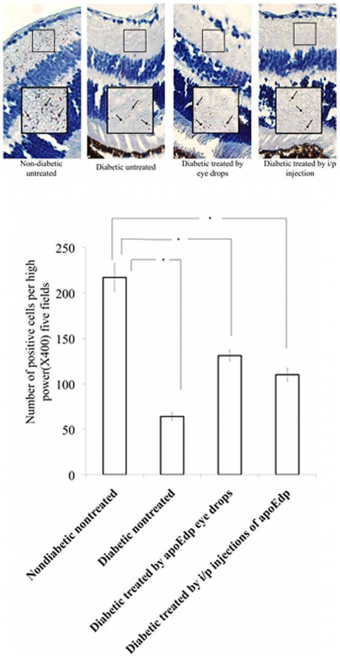
Although the importance of human apolipoprotein E (apoE) in vascular diseases has clearly been established, most of the research on apoE has focused on its role in cholesterol metabolism. In view of the observation that apoE and its functional domains impact extracellular matrix (ECM) remodeling, we hypothesized that apoE could also confer protection against ECM degradation by mechanisms independent of its role in cholesterol and lipoprotein transport. The ECM degrading enzyme, heparanase, is secreted by cells as pro-heparanase that is internalized through low-density lipoprotein (LDL) receptor-related protein-1 (LRP-1) to become enzymatically active. Both apoE and pro-heparanase bind the LRP-1. We further hypothesized that an apoE mimetic peptide (apoEdp) would inhibit the production of active heparanase by blocking LRP-1-mediated uptake of pro-heparanase and thereby decrease degradation of the ECM. To test this hypothesis, we induced the expression of heparanase by incubating human retinal endothelial cells (hRECs) with high glucose (30 mM) for 72 hours. We found that elevated expression of heparanase by high glucose was associated with increased shedding of heparan sulfate (ΔHS) and the tight junction protein occludin. Treatment of hRECs with 100 µM apoEdp in the presence of high glucose significantly reduced the expression of heparanase, shedding of ΔHS, and loss of occludin as detected by Western blot analysis. Either eye drop treatment of 1% apoEdp topically 4 times a day for 14 consecutive days or intraperitoneal injection (40 mg/kg) of apoEdp daily for 14 consecutive days in an in vivo mouse model of streptozotocin-induced diabetes inhibited the loss of tight junction proteins occludin and zona occludin- 1 (ZO-1). These findings imply a functional relationship between apoE and endothelial cell matrix because the deregulation of these molecules can be inhibited by a short peptide derived from the receptor-binding region of apoE. Thus, strategies targeting ECM-degrading enzymes could be therapeutically beneficial for treating diabetic retinopathy.

摘要

尽管人类载脂蛋白 E (apoE) 在血管疾病中的重要性已得到明确证实,但大多数关于 apoE 的研究都集中在其在胆固醇代谢中的作用上。鉴于 apoE 及其功能域对细胞外基质 (ECM) 重塑有影响的观察结果,我们假设 apoE 也可以通过与胆固醇和脂蛋白转运无关的机制提供对 ECM 降解的保护。ECM 降解酶肝素酶以原肝素酶的形式被细胞分泌,通过 LDL 受体相关蛋白-1 (LRP-1) 内化,从而变得具有酶活性。apoE 和原肝素酶都与 LRP-1 结合。我们进一步假设 apoE 模拟肽 (apoEdp) 将通过阻止 LRP-1 介导的原肝素酶摄取来抑制活性肝素酶的产生,从而减少 ECM 的降解。为了验证这一假设,我们通过用 30mM 高葡萄糖孵育人视网膜内皮细胞 (hRECs) 72 小时来诱导肝素酶的表达。我们发现,高葡萄糖诱导的肝素酶表达增加与肝素硫酸 (ΔHS) 的脱落和紧密连接蛋白 occludin 的增加有关。在高葡萄糖存在的情况下,用 100µM apoEdp 处理 hRECs,通过 Western blot 分析可显著降低肝素酶的表达、ΔHS 的脱落和 occludin 的丢失。在链脲佐菌素诱导的糖尿病小鼠模型中,每天眼内滴注 1% apoEdp 4 次,连续 14 天,或每天腹腔注射 apoEdp(40mg/kg),连续 14 天,可抑制紧密连接蛋白 occludin 和 zona occludin-1 (ZO-1) 的丢失。这些发现表明 apoE 和内皮细胞基质之间存在功能关系,因为这些分子的失调可以被来源于 apoE 受体结合区的短肽抑制。因此,针对 ECM 降解酶的策略可能对治疗糖尿病性视网膜病变具有治疗益处。

https://cdn.ncbi.nlm.nih.gov/pmc/blobs/c115/3526597/6180f375ad52/pone.0052152.g001.jpg

文献AI研究员

20分钟写一篇综述,助力文献阅读效率提升50倍。

立即体验

用中文搜PubMed

大模型驱动的PubMed中文搜索引擎

马上搜索

文档翻译

学术文献翻译模型,支持多种主流文档格式。

立即体验