Suppr超能文献

术后盆腔放疗在原发性肿瘤切除术后IV期直肠癌中的作用。

The role of postoperative pelvic radiation in stage IV rectal cancer after resection of primary tumor.

作者信息

Lee Joo Hwan, Jo In Young, Lee Jong Hoon, Yoon Sei Chul, Kim Yeon-Sil, Choi Byung Ock, Kim Jun-Gi, Oh Seong Taek, Lee Myeong A, Jang Hong-Seok

机构信息

Department of Radiation Oncology, Seoul St. Mary's Hospital, The Catholic University of Korea College of Medicine, Seoul, Korea.

出版信息

Radiat Oncol J. 2012 Dec;30(4):205-12. doi: 10.3857/roj.2012.30.4.205. Epub 2012 Dec 31.

Abstract

PURPOSE

To evaluate the effect of pelvic radiotherapy (RT) in patients with stage IV rectal cancer treated with resection of primary tumor with or without metastasectomy.

MATERIALS AND METHODS

Medical records of 112 patients with stage IV rectal cancer treated with resection of primary tumor between 1990 and 2011 were retrospectively reviewed. Fifty-nine patients received synchronous or staged metastasectomy whereas fifty-three patients did not. Twenty-six patients received pelvic radiotherapy.

RESULTS

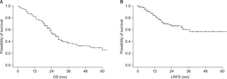
Median overall survival (OS), locoregional recurrence-free survival (LRFS), and progression-free survival (PFS) of all patients was 27, 70, and 11 months, respectively. Pathologic T (pT), N (pN) classification and complete metastasectomy were statistically significant factors in OS (p = 0.040, 0.020, and 0.002, respectively). RT did not improve OS or LRFS. There were no significant factors in LRFS. pT and pN classification were also significant prognostic factors in PFS (p = 0.010 and p = 0.033, respectively). In the subgroup analysis, RT improved LRFS in patients with pT4 disease (p = 0.026). The locoregional failure rate of the RT group and the non-RT group were 23.1% and 33.7%, showing no difference in the failure pattern of both groups (p = 0.260).

CONCLUSION

Postoperative pelvic RT did not improve LRFS of all metastatic rectal cancer patients; however, it can be recommended to patients with pT4 disease. A complete resection of metastatic masses should be performed if possible.

摘要

目的

评估盆腔放疗(RT)对接受原发肿瘤切除(伴或不伴转移灶切除术)的IV期直肠癌患者的疗效。

材料与方法

回顾性分析1990年至2011年间112例接受原发肿瘤切除的IV期直肠癌患者的病历。59例患者接受了同步或分期转移灶切除术,而53例患者未接受。26例患者接受了盆腔放疗。

结果

所有患者的中位总生存期(OS)、局部区域无复发生存期(LRFS)和无进展生存期(PFS)分别为27个月、70个月和11个月。病理T(pT)、N(pN)分类和完整的转移灶切除术是OS的统计学显著因素(分别为p = 0.040、0.020和0.002)。放疗未改善OS或LRFS。LRFS中无显著因素。pT和pN分类也是PFS的显著预后因素(分别为p = 0.010和p = 0.033)。在亚组分析中,放疗改善了pT4疾病患者的LRFS(p = 0.026)。放疗组和非放疗组的局部区域失败率分别为23.1%和33.7%,两组失败模式无差异(p = 0.260)。

结论

术后盆腔放疗未改善所有转移性直肠癌患者的LRFS;然而,对于pT4疾病患者可推荐使用。如果可能,应进行转移灶的完整切除。

https://cdn.ncbi.nlm.nih.gov/pmc/blobs/ea5c/3546289/504eb670b944/roj-30-205-g001.jpg

文献检索

告别复杂PubMed语法,用中文像聊天一样搜索,搜遍4000万医学文献。AI智能推荐,让科研检索更轻松。

立即免费搜索

文件翻译

保留排版,准确专业,支持PDF/Word/PPT等文件格式,支持 12+语言互译。

免费翻译文档

深度研究

AI帮你快速写综述,25分钟生成高质量综述,智能提取关键信息,辅助科研写作。

立即免费体验