• 文献检索
  • 文档翻译
  • 深度研究
  • 学术资讯
  • Suppr Zotero 插件Zotero 插件
  • 邀请有礼
  • 套餐&价格
  • 历史记录
应用&插件
Suppr Zotero 插件Zotero 插件浏览器插件Mac 客户端Windows 客户端微信小程序
定价
高级版会员购买积分包购买API积分包
服务
文献检索文档翻译深度研究API 文档MCP 服务
关于我们
关于 Suppr公司介绍联系我们用户协议隐私条款
关注我们

Suppr 超能文献

核心技术专利:CN118964589B侵权必究
粤ICP备2023148730 号-1Suppr @ 2026

文献检索

告别复杂PubMed语法,用中文像聊天一样搜索,搜遍4000万医学文献。AI智能推荐,让科研检索更轻松。

立即免费搜索

文件翻译

保留排版,准确专业,支持PDF/Word/PPT等文件格式,支持 12+语言互译。

免费翻译文档

深度研究

AI帮你快速写综述,25分钟生成高质量综述,智能提取关键信息,辅助科研写作。

立即免费体验

贝伐珠单抗联合化疗治疗化疗耐药转移性结直肠癌患者的挽救治疗。

Bevacizumab plus chemotherapy as salvage treatment in chemorefractory patients with metastatic colorectal cancer.

机构信息

Gastrointestinal Malignancies Service, Oncology Division, Tel Aviv Sourasky Medical Center, Tel Aviv, Israel; ; Department of Gastroenterology, Digestive Oncology Unit, University Hospitals Leuven, Leuven, Belgium;

出版信息

Onco Targets Ther. 2013;6:53-8. doi: 10.2147/OTT.S41383. Epub 2013 Jan 25.

DOI:10.2147/OTT.S41383
PMID:23378775
原文链接:https://pmc.ncbi.nlm.nih.gov/articles/PMC3558253/
Abstract

PURPOSE

The combination of chemotherapy and bevacizumab, a monoclonal antibody targeting the vascular endothelial growth factor, is consistently being used as first- and second-line treatment in patients with metastatic colorectal cancer (mCRC). There is little data of the activity of bevacizumab in chemorefractory mCRC patients. The aim of this retrospective single center study was to evaluate the activity of bevacizumab combined with chemotherapy in this study population.

METHODS

Forty-six consecutive mCRC patients treated in the University Hospital Gasthuisberg (Leuven, Belgium) receiving bevacizumab in advanced lines following failure of conventional chemotherapy were included in this study. Treatment regimen consisted of bevacizumab 5 mg/kg in combination with leucovorin, 5-fluorouracil, and oxaliplatin (FOLFOX) or leucovorin, 5-fluorouracil, and irinotecan (FOLFIRI).

RESULTS

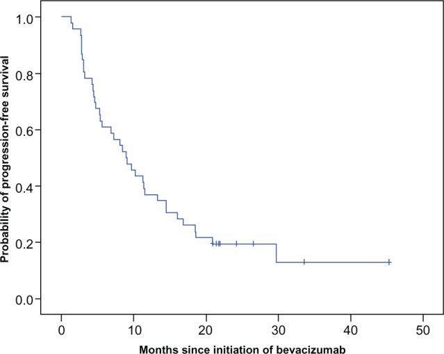
Bevacizumab plus chemotherapy was used in third-line treatment in eight (17%) patients and in fourth-line treatment or more in 38 patients (83%). All patients previously failed irinotecan-based chemotherapy, 44 (96%) failed oxaliplatin-based regimens, and 40 (87%) failed treatment with cetuximab. Bevacizumab was given in combination with irinotecan-based chemotherapy in 36 patients, oxaliplatin-based chemotherapy in nine patients, and with single agent 5-fluorouracil in one patient. Objective response was demonstrated in ten patients (22%) and disease control in 38 (83%) with a median progression-free survival of 8.9 months and a median overall survival of 13.8 months. Only four patients experienced grade III and above bevacizumab-related toxicity.

CONCLUSION

Taking into account the retrospective nature of the study which can influence the selection of patients, bevacizumab given in advanced lines after failure of conventional chemotherapy and antiepidermal growth factor receptor agents can result in high disease control rates in patients with mCRC.

摘要

目的

化疗联合贝伐珠单抗(一种针对血管内皮生长因子的单克隆抗体)作为转移性结直肠癌(mCRC)患者的一线和二线治疗方案被广泛应用。在化疗耐药的 mCRC 患者中,贝伐珠单抗的疗效数据较少。本回顾性单中心研究旨在评估贝伐珠单抗联合化疗在该人群中的疗效。

方法

本研究纳入了在比利时鲁汶大学医院(Gasthuisberg University Hospital)接受贝伐珠单抗治疗的 46 例 mCRC 患者。这些患者在常规化疗失败后,在晚期线接受了贝伐珠单抗治疗。治疗方案为贝伐珠单抗 5mg/kg 联合亚叶酸钙、5-氟尿嘧啶和奥沙利铂(FOLFOX)或亚叶酸钙、5-氟尿嘧啶和伊立替康(FOLFIRI)。

结果

8 例(17%)患者在三线治疗中使用贝伐珠单抗联合化疗,38 例(83%)患者在四线或以上治疗中使用。所有患者均曾接受伊立替康为基础的化疗方案治疗失败,44 例(96%)患者曾接受奥沙利铂为基础的化疗方案治疗失败,40 例(87%)患者曾接受西妥昔单抗治疗失败。贝伐珠单抗联合伊立替康为基础的化疗方案用于 36 例患者,联合奥沙利铂为基础的化疗方案用于 9 例患者,单药 5-氟尿嘧啶用于 1 例患者。10 例患者(22%)有客观缓解,38 例患者(83%)疾病控制,中位无进展生存期为 8.9 个月,中位总生存期为 13.8 个月。只有 4 例患者出现 3 级及以上的贝伐珠单抗相关毒性。

结论

考虑到该研究为回顾性研究,可能会影响患者的选择,因此,在常规化疗和抗表皮生长因子受体药物治疗失败后,在晚期线使用贝伐珠单抗可以使 mCRC 患者获得较高的疾病控制率。

https://cdn.ncbi.nlm.nih.gov/pmc/blobs/5740/3558253/ab343c210fa8/ott-6-053Fig2.jpg
https://cdn.ncbi.nlm.nih.gov/pmc/blobs/5740/3558253/6640555008ad/ott-6-053Fig1.jpg
https://cdn.ncbi.nlm.nih.gov/pmc/blobs/5740/3558253/ab343c210fa8/ott-6-053Fig2.jpg
https://cdn.ncbi.nlm.nih.gov/pmc/blobs/5740/3558253/6640555008ad/ott-6-053Fig1.jpg
https://cdn.ncbi.nlm.nih.gov/pmc/blobs/5740/3558253/ab343c210fa8/ott-6-053Fig2.jpg

相似文献

1
Bevacizumab plus chemotherapy as salvage treatment in chemorefractory patients with metastatic colorectal cancer.贝伐珠单抗联合化疗治疗化疗耐药转移性结直肠癌患者的挽救治疗。
Onco Targets Ther. 2013;6:53-8. doi: 10.2147/OTT.S41383. Epub 2013 Jan 25.
2
Bevacizumab plus FOLFIRI or FOLFOX as third-line or later treatment in patients with metastatic colorectal cancer after failure of 5-fluorouracil, irinotecan, and oxaliplatin: a retrospective analysis.贝伐单抗联合FOLFIRI或FOLFOX作为氟尿嘧啶、伊立替康和奥沙利铂治疗失败后转移性结直肠癌患者的三线或后续治疗:一项回顾性分析
Med Oncol. 2009;26(1):32-7. doi: 10.1007/s12032-008-9077-8. Epub 2008 May 22.
3
Bevacizumab in combination with irinotecan, 5-fluorouracil, and leucovorin (FOLFIRI) in patients with metastatic colorectal cancer who were previously treated with oxaliplatin-containing regimens: a multicenter observational cohort study (TCTG 2nd-BV study).贝伐珠单抗联合伊立替康、5-氟尿嘧啶和亚叶酸(FOLFIRI)治疗既往含奥沙利铂方案治疗的转移性结直肠癌患者:一项多中心观察性队列研究(TCTG 2 期-BV 研究)。
Med Oncol. 2012 Dec;29(4):2842-8. doi: 10.1007/s12032-011-0151-2. Epub 2011 Dec 31.
4
Bevacizumab plus FOLFIRI or FOLFOX in chemotherapy-refractory patients with metastatic colorectal cancer: a retrospective study.贝伐珠单抗联合 FOLFIRI 或 FOLFOX 方案治疗化疗耐药转移性结直肠癌患者的回顾性研究。
BMC Cancer. 2009 Sep 28;9:347. doi: 10.1186/1471-2407-9-347.
5
Chemotherapy of metastatic colorectal cancer.转移性结直肠癌的化疗
Prescrire Int. 2010 Oct;19(109):219-24.
6
Phase II Randomized Trial of Sequential or Concurrent FOLFOXIRI-Bevacizumab Versus FOLFOX-Bevacizumab for Metastatic Colorectal Cancer (STEAM).STEAM 研究:转移性结直肠癌患者中 FOLFOXIRI-Bev 序贯或同步治疗对比 FOLFOX-Bev 方案的 II 期随机临床试验
Oncologist. 2019 Jul;24(7):921-932. doi: 10.1634/theoncologist.2018-0344. Epub 2018 Dec 14.
7
Phase I Dose-Escalation Trial of an Innovative Chemotherapy Regimen Combining a Fractionated Dose of Irinotecan Plus Bevacizumab, Oxaliplatin, 5-Fluorouracil, and Folinic Acid (bFOLFIRINOX-3) in Chemorefractory Metastatic Colorectal Cancer.一种创新化疗方案(分剂量伊立替康联合贝伐单抗、奥沙利铂、5-氟尿嘧啶和亚叶酸,即bFOLFIRINOX-3)用于化疗难治性转移性结直肠癌的I期剂量递增试验。
Cancers (Basel). 2021 Oct 30;13(21):5472. doi: 10.3390/cancers13215472.
8
Upfront FOLFOXIRI plus bevacizumab and reintroduction after progression versus mFOLFOX6 plus bevacizumab followed by FOLFIRI plus bevacizumab in the treatment of patients with metastatic colorectal cancer (TRIBE2): a multicentre, open-label, phase 3, randomised, controlled trial. upfront FOLFOXIRI 联合贝伐珠单抗和进展后再引入与 mFOLFOX6 联合贝伐珠单抗后序贯 FOLFIRI 联合贝伐珠单抗治疗转移性结直肠癌患者(TRIBE2):一项多中心、开放标签、3 期、随机、对照临床试验。
Lancet Oncol. 2020 Apr;21(4):497-507. doi: 10.1016/S1470-2045(19)30862-9. Epub 2020 Mar 9.
9
Phase II study of S-1-based sequential combination chemotherapy including oxaliplatin plus bevacizumab and irinotecan with or without cetuximab for metastatic colorectal cancer: the SOBIC trial.SOBIC 试验:含奥沙利铂和贝伐珠单抗的 S-1 为基础序贯联合化疗方案加或不加西妥昔单抗治疗转移性结直肠癌的Ⅱ期临床研究。
Int J Clin Oncol. 2020 Jul;25(7):1285-1290. doi: 10.1007/s10147-020-01657-2. Epub 2020 Mar 21.
10
Treatment patterns and clinical outcomes in patients with metastatic colorectal cancer initially treated with FOLFOX-bevacizumab or FOLFIRI-bevacizumab: results from ARIES, a bevacizumab observational cohort study.贝伐珠单抗联合 FOLFOX 或 FOLFIRI 一线治疗转移性结直肠癌患者的治疗模式和临床结局:来自贝伐珠单抗观察性队列研究 ARIES 的结果。
Oncologist. 2012;17(12):1486-95. doi: 10.1634/theoncologist.2012-0190. Epub 2012 Sep 26.

引用本文的文献

1
Clinical efficacy and safety of second line and salvage aflibercept for advanced colorectal cancer in Akita prefecture.秋田县二线及挽救性使用阿柏西普治疗晚期结直肠癌的临床疗效与安全性
World J Gastrointest Oncol. 2021 Apr 15;13(4):295-304. doi: 10.4251/wjgo.v13.i4.295.
2
A Network Pharmacology Approach to Uncover the Multiple Mechanisms of Willd. on Colorectal Cancer.一种基于网络药理学的方法揭示威灵仙治疗结直肠癌的多种机制
Evid Based Complement Alternat Med. 2018 Feb 12;2018:6517034. doi: 10.1155/2018/6517034. eCollection 2018.
3
Combination of Irinotecan, Oxaliplatin and 5-Fluorouracil as a Rechallenge Regimen for Heavily Pretreated Metastatic Colorectal Cancer Patients.

本文引用的文献

1
Overcoming resistance to antiangiogenic therapies.克服抗血管生成治疗的耐药性。
Oncologist. 2012;17(8):1039-50. doi: 10.1634/theoncologist.2012-0068. Epub 2012 Jul 6.
2
Cancer statistics, 2011: the impact of eliminating socioeconomic and racial disparities on premature cancer deaths.癌症统计数据,2011 年:消除社会经济和种族差异对癌症过早死亡的影响。
CA Cancer J Clin. 2011 Jul-Aug;61(4):212-36. doi: 10.3322/caac.20121. Epub 2011 Jun 17.
3
Cetuximab plus irinotecan, fluorouracil, and leucovorin as first-line treatment for metastatic colorectal cancer: updated analysis of overall survival according to tumor KRAS and BRAF mutation status.
伊立替康、奥沙利铂和5-氟尿嘧啶联合作为重度预处理转移性结直肠癌患者的再挑战方案
J Gastrointest Cancer. 2018 Dec;49(4):470-475. doi: 10.1007/s12029-017-0001-3.
4
FOLFOX regimen plus dendritic cells-cytokine-induced killer cells immunotherapy for the treatment of colorectal cancer: a meta-analysis.FOLFOX方案联合树突状细胞-细胞因子诱导的杀伤细胞免疫疗法治疗结直肠癌:一项荟萃分析
Onco Targets Ther. 2017 May 18;10:2621-2633. doi: 10.2147/OTT.S138011. eCollection 2017.
5
Bevacizumab plus chemotherapy as third- or later-line therapy in patients with heavily treated metastatic colorectal cancer.贝伐单抗联合化疗用于接受过多次治疗的转移性结直肠癌患者的三线或后续治疗。
Onco Targets Ther. 2015 Sep 1;8:2407-13. doi: 10.2147/OTT.S88679. eCollection 2015.
6
A single-arm phase II trial of combined chemotherapy with S-1, oral leucovorin, and bevacizumab in heavily pre-treated patients with metastatic colorectal cancer.一项针对经大量前期治疗的转移性结直肠癌患者的单臂II期试验,采用S-1、口服亚叶酸钙和贝伐单抗联合化疗。
BMC Cancer. 2015 Aug 27;15:601. doi: 10.1186/s12885-015-1606-1.
7
Antiangiogenic therapy improves the antitumor effect of adoptive cell immunotherapy by normalizing tumor vasculature.抗血管生成治疗通过使肿瘤血管正常化来提高过继细胞免疫治疗的抗肿瘤作用。
Med Oncol. 2013 Dec;30(4):698. doi: 10.1007/s12032-013-0698-1. Epub 2013 Aug 28.
8
Role of targeted agents in metastatic colorectal cancer.靶向药物在转移性结直肠癌中的作用。
Target Oncol. 2013 Jun;8(2):83-96. doi: 10.1007/s11523-013-0281-x. Epub 2013 May 5.
西妥昔单抗联合伊立替康、氟尿嘧啶和亚叶酸钙作为转移性结直肠癌的一线治疗:根据肿瘤 KRAS 和 BRAF 突变状态更新的总生存分析。
J Clin Oncol. 2011 May 20;29(15):2011-9. doi: 10.1200/JCO.2010.33.5091. Epub 2011 Apr 18.
4
Trends in colorectal cancer incidence by anatomic site and disease stage in the United States from 1976 to 2005.美国 1976 年至 2005 年按解剖部位和疾病分期划分的结直肠癌发病率趋势。
Am J Clin Oncol. 2011 Dec;34(6):573-80. doi: 10.1097/COC.0b013e3181fe41ed.
5
Regorafenib (BAY 73-4506): a new oral multikinase inhibitor of angiogenic, stromal and oncogenic receptor tyrosine kinases with potent preclinical antitumor activity.瑞戈非尼(BAY 73-4506):一种新型的口服多激酶抑制剂,可抑制血管生成、基质和致癌受体酪氨酸激酶,具有强大的临床前抗肿瘤活性。
Int J Cancer. 2011 Jul 1;129(1):245-55. doi: 10.1002/ijc.25864. Epub 2011 Apr 22.
6
Bevacizumab plus FOLFIRI or FOLFOX in chemotherapy-refractory patients with metastatic colorectal cancer: a retrospective study.贝伐珠单抗联合 FOLFIRI 或 FOLFOX 方案治疗化疗耐药转移性结直肠癌患者的回顾性研究。
BMC Cancer. 2009 Sep 28;9:347. doi: 10.1186/1471-2407-9-347.
7
Bevacizumab in the therapy for refractory metastatic colorectal cancer.
Biologics. 2008 Mar;2(1):53-9. doi: 10.2147/btt.s1519.
8
Bevacizumab in association with de Gramont 5-fluorouracil/folinic acid in patients with oxaliplatin-, irinotecan-, and cetuximab-refractory colorectal cancer: a single-center phase 2 trial.贝伐单抗联合德格雷蒙方案(5-氟尿嘧啶/亚叶酸钙)用于奥沙利铂、伊立替康和西妥昔单抗难治性结直肠癌患者:一项单中心2期试验
Cancer. 2009 Oct 15;115(20):4849-56. doi: 10.1002/cncr.24540.
9
Safety and efficacy of first-line bevacizumab with FOLFOX, XELOX, FOLFIRI and fluoropyrimidines in metastatic colorectal cancer: the BEAT study.贝伐珠单抗联合 FOLFOX、XELOX、FOLFIRI 和氟嘧啶类药物一线治疗转移性结直肠癌的安全性和有效性:BEAT 研究。
Ann Oncol. 2009 Nov;20(11):1842-7. doi: 10.1093/annonc/mdp233. Epub 2009 Apr 30.
10
Cetuximab and chemotherapy as initial treatment for metastatic colorectal cancer.西妥昔单抗与化疗联合作为转移性结直肠癌的初始治疗方案
N Engl J Med. 2009 Apr 2;360(14):1408-17. doi: 10.1056/NEJMoa0805019.