Suppr超能文献

脑微出血患者的临床症状及危险因素。

Clinical symptoms and risk factors in cerebral microangiopathy patients.

机构信息

Department of Neurology, Clinical Neuroscience Unit, University of Bonn, Bonn, Germany.

出版信息

PLoS One. 2013;8(2):e53455. doi: 10.1371/journal.pone.0053455. Epub 2013 Feb 5.

Abstract

OBJECTIVE

Although the clinical manifestation and risk factors of cerebral microangiopathy (CM) remain unclear, the number of diagnoses is increasing. Hence, patterns of association among lesion topography and severity, clinical symptoms and demographic and disease risk factors were investigated retrospectively in a cohort of CM patients.

METHODS

Patients treated at the Department of Neurology, University of Bonn for CM (n = 223; 98m, 125f; aged 77.32±9.09) from 2005 to 2010 were retrospectively enrolled. Clinical symptoms, blood chemistry, potential risk factors, demographic data and ratings of vascular pathology in the brain based on the Wahlund scale were analyzed using Pearson's chi square test and one-way ANOVA.

RESULTS

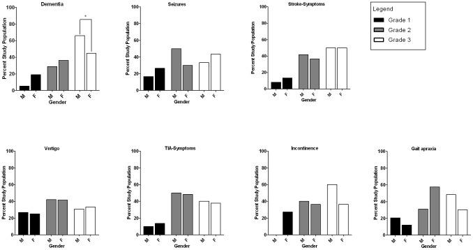
Progressive cognitive decline (38.1%), gait apraxia (27.8%), stroke-related symptoms and seizures (24.2%), TIA-symptoms (22%) and vertigo (17%) were frequent symptoms within the study population. Frontal lobe WMLs/lacunar infarcts led to more frequent presentation of progressive cognitive decline, seizures, gait apraxia, stroke-related symptoms, TIA, vertigo and incontinence. Parietooccipital WMLs/lacunar infarcts were related to higher frequencies of TIA, seizures and incontinence. Basal ganglia WMLs/lacunar infarcts were seen in patients with more complaints of gait apraxia, vertigo and incontinence. Age (p = .012), arterial hypertension (p<.000), obesity (p<.000) and cerebral macroangiopathy (p = .018) were positively related to cerebral lesion load. For increased glucose level, homocysteine, CRP and D-Dimers there was no association.

CONCLUSION

This underlines the association of CM with neurological symptoms upon admission in a topographical manner. Seizures and vertigo are symptoms of CM which may have been missed in previous studies. In addition to confirming known risk factors such as aging and arterial hypertension, obesity appears to increase the risk as well. Since the incidence of CM is increasing, future studies should focus on the importance of prevention of vascular risk factors on its pathogenesis.

摘要

目的

尽管脑微出血(CM)的临床表现和危险因素仍不清楚,但诊断数量却在不断增加。因此,本研究回顾性分析了一组 CM 患者的病变部位和严重程度、临床症状以及人口统计学和疾病危险因素之间的关联模式。

方法

本研究回顾性纳入了 2005 年至 2010 年在波恩大学神经科接受治疗的 223 例 CM 患者(98 名男性,125 名女性;年龄 77.32±9.09 岁)。使用 Pearson 卡方检验和单因素方差分析对临床症状、血液化学、潜在危险因素、人口统计学数据以及基于 Wahlund 量表的脑血管病理学评分进行分析。

结果

研究人群中常见的症状包括进行性认知功能下降(38.1%)、步态失用(27.8%)、与中风相关的症状和癫痫发作(24.2%)、短暂性脑缺血发作(TIA)症状(22%)和眩晕(17%)。额叶 WMLL/腔隙性梗死导致进行性认知功能下降、癫痫发作、步态失用、与中风相关的症状、TIA、眩晕和尿失禁的发生率更高。顶枕叶 WMLL/腔隙性梗死与 TIA、癫痫发作和尿失禁的发生率更高相关。基底节 WMLL/腔隙性梗死与步态失用、眩晕和尿失禁的发生率更高相关。年龄(p=0.012)、动脉高血压(p<.000)、肥胖(p<.000)和大脑大血管疾病(p=0.018)与脑病变负荷呈正相关。而葡萄糖水平升高、同型半胱氨酸、C 反应蛋白和 D-二聚体与脑病变负荷无相关性。

结论

这强调了 CM 与神经症状之间以特定部位的方式相关联。癫痫发作和眩晕是 CM 的症状,在以前的研究中可能被忽视了。除了确认年龄和动脉高血压等已知危险因素外,肥胖似乎也增加了风险。由于 CM 的发病率不断增加,未来的研究应重点关注预防血管危险因素对其发病机制的重要性。

https://cdn.ncbi.nlm.nih.gov/pmc/blobs/2f60/3564848/9f95e500e364/pone.0053455.g001.jpg

文献AI研究员

20分钟写一篇综述,助力文献阅读效率提升50倍。

立即体验

用中文搜PubMed

大模型驱动的PubMed中文搜索引擎

马上搜索

文档翻译

学术文献翻译模型,支持多种主流文档格式。

立即体验